文 章 信 息
废旧锂离子电池回收再利用为低温NH3-SCR催化剂
第一作者:武娜
通讯作者:薛刚*,王亚平*
单位:河北工业大学生态环境与信息特种功能材料教育部重点实验室
研 究 背 景
自 20 世纪 90 年代以来,锂离子电池(LIBs)已被广泛应用于便携式电子产品、混合动力电动汽车和纯电动汽车,其大规模应用直接导致在后续产生大量的废旧锂离子电池。一方面,锂电池中的含氟物质和重金属会造成严重的环境问题,如空气、土壤和水污染。另一方面,对镍、钴和锂等贵重金属的需求不断上升,导致供求关系更加紧张。因此,开发有效的废旧锂电池回收方法对环境保护和资源循环利用具有重要意义。
氮氧化物(NOx)是发电厂、工业锅炉和城市固体废物焚烧产生的主要大气污染物之一,会对人类健康和环境造成危害(如酸雨、光化学烟雾和臭氧层破坏)。NH3-SCR 技术脱硝效率高(>90%)、稳定性强,因此被广泛用于去除固定污染源中的氮氧化物。研究发现,锰系催化剂具有优异的低温 SCR 活性,在锰系催化剂中添加 Co、Ni、Fe、Ce 等过渡金属,可有效提高催化剂的催化性能和抗硫毒性。
考虑到废锂离子电池正极材料中含有镍、钴、锰等过渡族金属,其作为低温NH3-SCR催化剂具有良好的催化效果。本研究以废锂离子电池三元正极材料为前驱体,草酸为浸出沉淀剂,制备了用于低温 NH3-SCR 的 NiCoMnOx 催化剂,制备的催化剂呈多孔泡沫状结构,具有丰富的氧缺陷,确保了足够的催化活性位点,在110~230°C 的温度范围内,氮氧化物转化率超过90%。这项工作为废旧锂离子电池的回收再利用提供了一种前景广阔的策略。
文 章 简 介
近日,河北工业大学的薛刚教授、王亚平副教授在国际知名期刊Chemical Engineering Journal上发表题为“Recovery and Reuse of Spent Lithium-Ion Batteries as Catalysts for Low-Temperature NH3-SCR”的研究文章。该文章提出使用草酸为沉淀剂和还原剂,从废旧三元锂离子电池正极材料中提取有价金属元素合成NiCoMnOx催化剂用于低温NH3-SCR反应。生成的草酸盐在热处理过程中由于C2O42-分解产生气泡,导致催化剂具有疏松多孔的结构和更大的比表面积,增加催化剂与反应气体的接触面积,减小反应气体的扩散阻力,促进SCR反应的进行。与相同条件下使用金属盐为原料制备的催化剂相比,使用废旧锂离子电池为原料制备的催化剂具有疏松多孔的结构、大的比表面积、丰富的氧缺陷和酸性位点、良好的低温还原性能使合成的催化剂具有优异的低温SCR催化活性。
本 文 要 点
要点一:提出将废旧三元锂离子电池回收再利用合成低温NH3-SCR催化剂的新方法。
要点二:草酸作为浸出剂和沉淀剂,在热处理过程中C2O42-的分解会促进孔结构的产生,有利于催化剂和反应气体的充分接触。
要点三:与相同条件下使用金属盐为原料制备的催化剂相比,使用废旧锂离子电池制备的催化剂具有更加优异的低温SCR活性 。
图1. 催化剂的形貌与结构表征
通过XRD表征发现所有催化剂均显现出Co3O4、NiCo2O4、MnCo2O4.5和NiO的特征峰,通过谢乐公式计算发现使用废旧锂离子电池为原料制备的NiCoMnOx-1.5催化剂具有更小的晶粒尺寸(11.44 nm),有利于在结晶过程中产生缺陷。N2-吸脱附曲线均为具有H3型回滞环的Ⅳ型等温线,孔径集中于0~20 nm,NiCoMnOx-1.5催化剂具有较高的比表面积(32.529 m2 · g-1)和孔容(0.63 cm3 · g-1)。高比表面积和大孔径可增加与反应气体的接触面积,降低反应气体的扩散阻力,保证SCR反应过程中的快速传质过程。
通过 SEM表征可以发现NiCoMnOx-1.5催化剂具有丰富的孔隙结构,TEM图像进一步证明了催化剂是由纳米片构建的多孔结构,这是由于C2O42-在煅烧过程中分解产生大量气泡,导致催化剂表面产生多孔疏松的结构。HRTEM图像中可以检测到d间距为0.472、0.286、0.251和0.208 nm的晶格条纹,分别对应于MnCo2O4.5、Co2NiO4和Co3O4晶相的(111)、(220)、(311)和(400)平面。NiCoMnOx-1.5的EDS-mapping结果证明了Co、Mn和Ni元素的均匀分布。
图2. 催化剂的XPS与ERP表征
XPS结果表明使用废旧锂离子电池为原料制备的NiCoMnOx-1.5催化剂表面Co3+和Mn4+含量最高,有利于增强NO氧化为NO2的能力,进一步促进“快速SCR反应”。废旧锂离子电池阴极材料(SLIB)表面的氧缺陷浓度最高,这与废旧锂离子电池重复充放电过程有关。使用草酸酸浸和热处理后制备的NiCoMnOx-1.5催化剂表面的氧缺陷减少,这表明酸浸过程破坏了原有的氧缺陷,但其浓度仍高于使用金属盐为原料制备的催化剂(NiCoMnOx-MS),证明了使用锂离子电池为原料的优越性。EPR实验定量分析结果表明催化剂表面氧空位的自旋浓度顺序为SLIB > NiCoMnOx-1.5 > NiCoMnOx-MS,与XPS的结果一致。
图3. 催化剂的H2-TPR与NH3-TPD表征
NiCoMnOx-1.5催化剂的H2还原峰温度最低且H2消耗量最高,表明该催化剂具有更强的低温氧化还原性能。NiCoMnOx-1.5催化剂具有最大的NH3解吸能力和较多类型的酸性活性中心,表明其表面酸性位点丰富,有利于碱性气体NH3在催化剂表面的吸附,从而使吸附的NH3与NOx发生充分接触反应,从而促进催化反应。
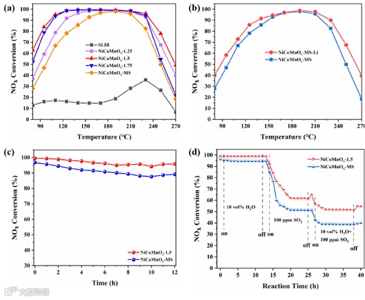
图4. 催化剂的催化活性表征
NiCoMnOx-1.5催化剂表现出优异的催化活性和稳定性,在110~230°C温度范围内可实现90%以上的NOx转化率,170℃反应12 h后NOx转化率还能保持稳定在95%以上。通过10 vol% H2O 12 h后,NiCoMnOx-1.5催化剂的催化活性没有显著变化,NiCoMnOx-MS催化剂的催化活性略有降低。在切断H2O通入100 ppm SO2后,两种催化剂的NOx转化率均随气体通过时间的增加而降低,最终在12 h后分别降至61.25%和51.89%。当10 vol% H2O + 500 ppm SO2同时通过时,两种催化剂的NOx转化率在12 h后分别进一步降低至51.25%和39.31%。切断H2O和SO2后,两种催化剂的催化活性均未完全恢复。这是因为当SO2和H2O同时通入时,在反应过程中存在严重的吸附竞争,NH3容易与烟气中的H2O和氧化的SO2反应生成(NH4)2SO4和NH4HSO4,阻止催化剂与反应气体接触,从而降低催化剂性能。
与NiCoMnOx-MS相比,NiCoMnOx-1.5具有更好的低温SCR催化活性、稳定性、抗水和抗硫能力。这是因为使用废旧锂离子电池制备的催化剂具有疏松多孔的结构、更小的晶粒尺寸和丰富的氧缺陷,使催化剂表面产生更多的不饱和配位位点,从而促进活性气体的吸附。同时,大的比表面积、良好的低温氧化还原性能、酸性位点以及少量锂的存在进一步增强了催化活性。
图5. 催化剂的反应机制图
原位红外测试结果表面NiCoMnOx-1.5催化剂表面的反应遵循Langmuir-Hinshelwood机理和Eley-Rideal机理。与NiCoMnOx-MS催化剂相比,NiCoMnOx-1.5催化剂表面存在更多的吸附氨物种和硝酸盐物种,且吸附物种能够更好的参与到SCR反应中,故具有更加优异的催化活性。
文 章 链 接
Recovery and Reuse of Spent Lithium-Ion Batteries as Catalysts for Low-Temperature NH3-SCR
https://doi.org/10.1016/j.cej.2024.148564
通 讯 作 者 简 介
薛刚教授简介:本硕博毕业于山东大学, 2006年7月至今,在河北工业大学材料学院任教,教授、博士研究生导师。2009年7月-2009年8月,参加日本北海道大学废弃物资源化及处理相关技术进修。2014年8月-2015年7月,国家公派在美国华盛顿大学访学1年。长期从事生态环境功能材料、能源材料等有关催化剂研发及污染物排放控制原理与应用技术方面的研究工作,承担多项国家级项目,曾获河北省技术发明一等奖、天津市科技进步二等奖。
王亚平副教授简介:本硕博毕业于中南大学,2019年9月至今,就职于河北工业大学材料科学与工程学院,博士生导师。长期从事新能源材料与器件的开发及退役锂电池的资源化利用。主持国家级项目2项,发表Advanced Functional Materials、Energy Storage Materials、Advanced Science等高水平论文40余篇。
第 一 作 者 简 介
武娜,河北工业大学2021级硕士研究生,导师为薛刚教授。主要研究方向为“废旧锂离子电池的回收及再利用”,目前已在Chemical Engineering Journal期刊发表论文一篇。
添加官方微信 进群交流
SCI二氧化碳互助群
SCI催化材料交流群
SCI钠离子电池交流群
SCI离子交换膜经验交流群
SCI燃料电池交流群
SCI超级电容器交流群
SCI水系锌电池交流群
SCI水电解互助群
SCI气体扩散层经验交流群
备注【姓名-机构-研究方向】
投稿请联系contact@scimaterials.cn
点分享
点赞支持
点在看

