文 章 信 息
合理调控Pt纳米晶中的缺陷密度用于高效析氢反应
第一作者:张慧敏
通讯作者:程道建*,曹东*
单位:北京化工大学,塔里木大学
研 究 背 景
缺陷工程,如原子缺陷、表面台阶等,已被证明对材料的电催化性能有深远的影响。一般来说,缺陷直接破坏材料的周期性晶体结构,影响材料几何结构的变化,而具有不饱和配位的缺陷位点更容易引发反应物/中间分子的吸附或活化,从而降低反应动能势垒,提高本征活性。此外,缺陷还可以通过局域电子重分布调节材料的表面电子结构。总的来说,结构缺陷将会导致表面原子配位环境和电子结构的变化,与电催化性能密切相关。然而,缺陷密度与催化活性之间的关系则很少被讨论。因此,开发一种精确的方法来调控结构缺陷密度,并研究其对HER活性的影响是非常有必要的。
文 章 简 介
近日,北京化工大学程道建教授团队在国际知名期刊Small上发表题为“Rational regulation of the defect density in platinum nanocrystals for highly efficient hydrogen evolution reaction”的文章。该文章报道了通过湿化学法一步合成Pt/WOx催化剂,并将Pt纳米晶的形貌调控为多边形、星形和枝晶形。表征结果证明三种形貌的Pt纳米晶具有依次递增的缺陷密度,并在酸性和碱性环境中均表现出依次增强的HER性能。该工作强调了缺陷密度在提高电催化剂HER活性中的关键作用。
本 文 要 点
要点一:Pt纳米晶中缺陷密度的合理调控
通过湿化学法一步合成Pt/WOx催化剂。将反应过程中的温度调控为170、200和240℃,可以将Pt纳米晶的形貌调控为多边形(p-Pt/WOx)、星形(s-Pt/WOx)和枝晶形(d-Pt/WOx)。并通过控制不同的反应时间,探究了纳米晶的生长过程。使用球差电镜揭示Pt纳米晶的原子排列,多边形Pt纳米晶的原子尺度结构显示出规则的边缘,且没有缺陷存在。而在星形的Pt纳米晶中观察到少量的原子缺陷和台阶表面。进一步地,在枝晶形的Pt中观察到高密度的结构缺陷。
图1. 合成及结构表征。
要点二:三种形貌的缺陷密度依次递增
XRD表征说明Pt/WOx体系中WOx以无定形的形式存在。XPS结果分析证明了Pt纳米晶和WOx之间的相互作用。XAS谱图及拟合结果揭示Pt纳米晶的配位数逐渐降低,证实了缺陷密度的依次递增。
图2. 结构和成分表征
要点三:缺陷密度增加诱导HER性能增强
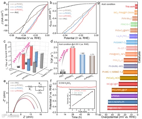
在三电极体系中进行酸性和碱性条件下的HER性能测试,测试结果表明随着缺陷密度的增加,HER性能逐渐增强。在酸性和碱性环境中,具有最高缺陷密度的d-Pt/WOx催化剂达到10 mA cm-2分别仅需4和16 mV,其TOF值分别是Pt/C的11.6和22.8倍。
图3. 0.5 M H2SO4溶液中HER性能。
图4. 1.0 M KOH溶液中的HER性能。
要点四:PEMWE性能和机理解释
质子交换膜水电解槽(PEMWEs)中,d-Pt/WOx//IrO2在2.0 V的质量活性达5158 mA mgPt-1,显著高于商业Pt/C//IrO2体系,并表现出优异的稳定性。DFT计算结果说明,具有最高缺陷密度的d-Pt/WOx 在酸性溶液中显示出降低的反键带和最低的dz2 带中心,有利于氢的吸附和释放。在碱性介质中,d-Pt/WOx具有最高 dz2 带中心,有利于吸附水分子中的氢,并促进水的分解。
图5. PEMWEs性能和DFT计算
文 章 链 接
Zhang, H., Li, K., Guo, X., Zhang, L., Cao, D., Cheng, D., Rational Regulation of the Defect Density in Platinum Nanocrystals for Highly Efficient Hydrogen Evolution Reaction. Small 2023, 2306694.
https://doi.org/10.1002/smll.202306694
通 讯 作 者 简 介
程道建,北京化工大学教授、博导,化学工程学院院长。主要从事化工领域金属纳米催化剂的设计、制备和应用研究。
以第一或通讯作者在Nat. Catal.,Nat. Commun.,Angew. Chem.,ACS Catal.,Adv. Energy Mater.等期刊发表SCI论文160余篇。获得国家优秀青年基金(2018年),入选英国皇家化学会会士(2016年),入选爱思唯尔中国高被引学者榜单(2020-2023年)。以第一完成人的成果获中国化工学会基础研究成果奖一等奖等奖励4项,个人获评2022年度“青山科技奖”,中国化工学会侯德榜化工科学技术创新奖(2022年)和中国石油和化学工业联合会青年科学技术突出贡献奖(2022年)。兼任“十四五”国家重点研发计划“氢能技术”重点专项总体专家组成员、中国化工学会稀土催化与过程专委会副主任委员等。任SCI期刊Mol. Sim.和J. Exp. Nanosci.亚洲区域主编、国内核心期刊《化工进展》编委。
曹东,北京化工大学化学工程学院讲师。主要从事电催化与精细化工领域中金属催化剂的设计及可控制备研究。
目前已在Nat. Commun., Angew. Chem. Int. Ed., Adv. Energy Mater., Appl. Catal. B: Environ., Small 等高水平期刊发表 SCI 论文 20 余篇。曾获中国节能协会制氢科技进步奖(2022)等奖励。
添加官方微信 进群交流
SCI二氧化碳互助群
SCI催化材料交流群
SCI钠离子电池交流群
SCI离子交换膜经验交流群
SCI燃料电池交流群
SCI超级电容器交流群
SCI水系锌电池交流群
SCI水电解互助群
SCI气体扩散层经验交流群
备注【姓名-机构-研究方向】
投稿请联系contact@scimaterials.cn
点分享
点赞支持
点在看


