文 章 信 息
固态离子学中的熵与Meyer-Neldel规则诠释
第一作者:杜朋
通讯作者:陈倩栎
通讯单位:上海交通大学
研 究 背 景
固态离子导体具有高离子电导率,是固态电池、固体氧化物燃料电池、电解池电化学能量转换器件的关键材料。上述器件的商业化应用将大力推动绿色能源发展,助力实现碳达峰、碳中和。深入理解材料的离子输运机制,将为研究人员开辟设计固态离子导体材料的新思路。在固态离子导体中经常观察到Meyer-Neldel规则(也称焓-熵补偿规则):在调控材料结构使离子传导活化能降低的同时,离子电导率指前因子也同时降低。该规则导致了一个不同于传统观点的结果,即活化能的降低并不总是能够提高离子电导率。然而,目前对固态离子学中Meyer-Neldel规则的基础物理理解并不全面。围绕Meyer-Neldel规则应用于固态离子导体的适用性与局限性探讨对新离子导体材料的设计开发具有重要意义。
文 章 简 介
近日,上海交通大学陈倩栎副教授团队在国际知名期刊《Advanced Science》上发表题为“Entropy and Isokinetic Temperature in Fast Ion Transport”的观点文章。文章详细诠释了Meyer-Neldel规则在固态离子学中的物理意义和适用范围,重点关注固态离子导体中的焓-熵补偿关系,讨论晶格振动对离子输运的贡献,为运用Meyer-Neldel规则研发固态离子导体新材料提供了新的见解。
本 文 要 点
要点一:固态离子导体中的等动力学温度与Meyer-Neldel规则
从离子电导率随温度变化的阿仑尼乌斯关系可得到离子迁移活化能Ea与指前因子σ0两个参数。Meyer-Neldel规则指出,当通过掺杂或应力改变材料的活化能时,相应材料离子电导率在阿仑尼乌斯图中相交于一点,交点处对应的温度称为等动力学温度(isokinetic temperature, Tiso)。
图1.石榴石型锂离子导体的离子电导率。(a) 阿伦尼乌斯图中的交点为等动力学温度;(b) Meyer-Neldel图显示了指前因子与离子迁移活化能的关系。
文章指出,根据Meyer-Neldel规则,材料活化能的变化伴随着指前因子的相应变化,这种补偿效应限制了离子电导率的提高。研究人员正致力于寻找不受Meyer-Neldel补偿效应限制的材料,或能够克服这一限制的方法。
要点二:Meyer-Neldel规则的物理机制及适用范围
通过研究活化能和迁移熵之间的关系,文章解释了Meyer-Neldel规则背后的物理机制。迁移熵与离子跳跃过程的振动频率有关。当活化能远大于环境所提供的热能时,迁移熵存在一个累计的激发贡献提供克服能垒所需的能量,即多激发熵(multi-excitation entropy)。
文章分析了Meyer-Neldel规则在离子导体中的适用范围,强调这一规则适用于“密切相关的体系”,即成分相似和结构相似的材料。通过讨论离子输运的基础物理,文章指出离子电导率阿仑尼乌斯关系的指前因子由离子浓度、跳跃距离和尝试频率等参数共同决定,因此在运用Meyer-Neldel规则分析材料离子传输机制时,要排除浓度的影响。
要点三:等动力学温度对调控离子电导率的重要作用
传统观点认为,降低活化能可有效提高离子电导率。但Meyer-Neldel规则表明,降低活化能未必总是能提高离子电导率。当材料工作温度高于等动力学温度(Tiso)时(图2a中的区域Ⅰ),提高活化能有助于提高离子电导率;而当材料工作温度低于Tiso时(图2a中的区域Ⅱ),降低活化能才有助于提高离子电导率。若材料工作温度等于Tiso,离子电导率与活化能无关。
图2. 等动力学温度对调控离子电导率的重要作用。
前文已充分说明等动力学温度的确定对设计离子电导率的调控策略具有重要意义。等动力学温度可通过实验方法,改变材料组分或应变确定。文章指出,高压应变是测量等动力学温度的有效方法。
图3. 高压应变下石榴石型锂离子导体Li6.4La3Zr1.4Ta0.6O12 的活化能与指前因子的关系严格遵循Meyer-Neldel规则。
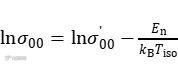
文章最后讨论了等动力学温度和等动力学指前因子(σ00)之间的相关性,并提出了两者之间的近似关系:
其中,σ00由离子浓度、跳跃距离、尝试频率和构型熵决定;Εn定义为材料的临界能量(critical energy),与离子跳跃初始态和过渡态的构型熵相关,并决定了等动力学温度的调控方向。利用上述关系,文章结合钙钛矿型质子导体和硫化物LGPS型锂离子导体中的等动力学温度及等动力学指前因子数据,计算得出这两类材料的临界能量分别为0.32 eV和0.38 eV。
图4. (a) 钙钛矿型质子导体和 (b) 硫化物LGPS型锂离子导体中,等动力学温度和等动力学指前因子的相关性。
要点四:前瞻
文章综述了Meyer-Neldel规则的概念和相关应用,特别关注了该规则对于离子传输的影响以及对于新型快离子导体研发的指导作用,为未来围绕Meyer-Neldel规则的物理基础及实际应用等领域的研究指明了方向。
文 章 链 接
Entropy and Isokinetic Temperature in Fast Ion Transport. Adv. Sci. 2023, 2305065.
https://onlinelibrary.wiley.com/doi/10.1002/advs.202305065
第 一 作 者 简 介
杜朋为 上海交通大学密西根学院博士,现于中国科学院上海应用物理研究所进行博士后研究。通讯作者为上海交通大学密西根学院副教授、博士生导师陈倩栎。上海交通大学密西根学院朱虹教授、瑞士联邦材料科学与技术研究所Artur Braun博士和加拿大蒙特利尔理工学院Arthur Yelon教授共同参与了研究工作。
通 讯 作 者 简 介
陈倩栎,上海交通大学密西根学院副教授、博士生导师。2012年于瑞士苏黎世联邦理工大学物理专业获博士学位。2013至2015年于德国马克斯普朗克聚合物研究所从事博士后研究。主要研究材料中的离子与电子输运机制,通过揭示决定材料性能的物理化学机理,提出能源材料优化改性的新方法。入选德国洪堡学者、上海市“扬帆计划”。获得瑞士中子散射协会青年科学奖。代表性成果发表于Nature Communications、Chemical Reviews、Advanced Energy Materials、Chemistry of Materials等高水平期刊。
课 题 组 招 聘
上海交通大学陈倩栎课题组诚招2024年入学申请考核制博士生,课题组主要研究方向:(1)陶瓷燃料电池中的质子传导机制;(2)钙钛矿太阳能电池的电荷载流子传输机制;(3)材料物理与化学原位光谱表征方法,欢迎具有物理、化学、材料科学背景的优秀硕士生积极联系本课题组。联系方式:qianli.chen@sjtu.edu.cn;欢迎访问课题组主页:https://sites.ji.sjtu.edu.cn/qianli-chen
添加官方微信 进群交流
SCI二氧化碳互助群
SCI催化材料交流群
SCI钠离子电池交流群
SCI离子交换膜经验交流群
SCI燃料电池交流群
SCI超级电容器交流群
SCI水系锌电池交流群
SCI水电解互助群
SCI气体扩散层经验交流群
备注【姓名-机构-研究方向】
投稿请联系contact@scimaterials.cn
点分享
点赞支持
点在看


