文 章 链 接
论文信息:Yuxiang Chen a,#, Ying Liang b,#, Chuancong Zhou b,#, Zulai Li a,*, Daoxiong Wu b, Jing Li b, Peng Dong c, Yingjie Zhang c, Xinlong Tian b,*, and Xiaodong Shi b,*, Heterogeneous-Structured Molybdenum Diboride as a Novel and Promising Anode for Lithium-Ion Batteries, Small, 2024, DOI: 10.1002/smll.202311782.
论文链接:https://onlinelibrary.wiley.com/doi/10.1002/smll.202311782
研 究 背 景
随着电动汽车行业高歌猛进式发展,开发兼具高能量密度和快速充电能力的锂离子电池技术愈加迫切。当前动力型锂离子电池受制于石墨负极材料的低比容量、快充条件下析锂/锂枝晶和扩散动力学缓慢等问题。硅基、硫基和磷基负极材料凭借转化反应机制通常具有较高的储锂比容量,但它们在循环过程中体积效应明显,其快充能力和循环稳定性亟需改善。目前,通过调控晶体结构促进锂离子扩散动力学,一系列具有优异快充性能的金属氧化物负极材料,诸如Li3+xV2O5、Li4Ti5O12、Nb16W5O55、T-Nb2O5和TiNb2O7等被开发出来,但它们的储锂比容量尚待提高。因此,开发出兼具高比容量和快充能力的新型锂电负极材料是破局动力型锂离子电池困境的关键。
研 究 内 容
硼烯具有高导电性、高理论储锂比容量和低锂离子扩散能垒,是理想的锂电负极材料。然而,硼原子固有的缺电子属性导致其极易氧化,难以合成,通常是以Ag/Al/Cu等金属为衬底通过化学生长法制备。但是,硼烯与金属衬底之间的强相互作用给其进一步转移和实际应用带来了困难。因此,需要对硼烯表面进行功能化,提高其结构稳定性,减弱其化学活性。研究表明,硼烯能够有效封装在过渡金属硼化物(MB2)的两个相邻金属原子层之间,并保持稳定的类硼烯形态。与理想硼烯相比,过渡金属硼化物的储锂能力受限于其低反应活性和MB2中M-B键的强成键能力,大大减少了能够与锂离子发生反应的活性B原子数量。基于泛函密度理论筛选结果,作者发现Mo原子与B原子键合能力相对较弱(Mo-B键长0.242 nm),MoB2对锂离子的吸附能力相对较强(吸附能-2.7 eV),锂离子在MoB2晶体结构中的扩散能垒(~0.199 eV)相对较低。因此,MoB2作为锂电负极材料,具有更多的活性反应位点和快速的扩散动力学,能够保证其高比容量和快充能力。
基于上述思路,昆明理工大学李祖来教授和海南大学田新龙教授团队采用固相熔盐法制备了具有非晶结构外壳和晶体结构内核的核-壳结构MoB2(h-MoB2)。其中,内核晶体结构MoB2将蜂窝状硼烯单元包裹在相邻的两层钼原子之间,有助于提高材料电子导电性;外壳非晶结构MoB2暴露更多活性反应位点,有助于提高储锂性能,缓解循环过程中电极材料的体积效应。作为锂电负极材料,h-MoB2在100 mA g-1条件下可逆比容量高达798 mAh g-1,在5 A g-1条件下倍率容量为183 mAh g-1且能够保持长达1200圈的循环稳定性。这项工作预期能够为硼烯、硼烯类似物以及二维过渡金属硼化物的结构设计和宏量制备提供新思路,并推动它们在能源材料领域的实际应用。
研 究 亮 点
提出了一种用共晶熔盐法制备二维层状金属硼化物的新策略:
以MoO3、硼粉、LiCl、KCl为原料,采用固相熔盐法制备了具有非晶结构外壳和晶体结构内核的核-壳结构MoB2(h-MoB2)。
深入研究了二维层状过渡金属硼化物的储锂机制:
h-MoB2负极的储锂机制以锂离子与MoB2的嵌入/脱出反应为主导。
h-MoB2负极兼具高比容量和快充能力:
在0.1 A g-1下可逆容量高达798 mAh g-1,在5 A g-1下充满电仅需166 s,并且在1 A g-1下循环1200圈,储锂比容量能保持在224 mAh g-1。
图 文 导 读
图1 h-MoB2负极材料(a)制备示意图,(b) XRD图谱,(c) 晶体结构,(d) HRTEM图像,(e) Mo 3d和(f) b1s XPS光谱。
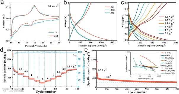
图2 h-MoB2负极 (a) 在0.2 mV s-1下的CV曲线,(b) 在100 mA g-1和 (c) 不同电流密度下的恒流充放电曲线,(d) 倍率性能,(e)在1000 mA g-1下的长循环性能及与先前报道的快速型负极材料的性能对比。
图3 h-MoB2负极 (a) 不同扫描速率下的CV曲线; (b) 特定峰值电流下的log (i) vs. log (v)图和对应的b值; (c) 10 mV s-1扫速下CV曲线中的赝电容贡献面积; (d) 不同扫描速率下CV曲线中的电容贡献比; (e) 不同放电/充电状态下的电化学阻抗; (f-g) GITT测试的锂离子扩散系数。
图4 h-MoB2负极 (a) 第一次循环过程中的原位XRD图谱; (b) 完全放电时的HRTEM图像;(c) Mo 3d, (d) B 1s和 (e) F 1s XPS光谱; (f) 储锂机制示意图。
图5 MoB2(a) 晶体结构和 (b-c) 电子定位函数图; (d) 锂离子在MoB2晶体结构中不同位置的化学吸附能; 锂离子在MoB2晶体结构中的 (e) 扩散路径和 (f) 对应的扩散能垒。
研 究 结 论
综上所述,蜂窝状硼烯单元被有效地封装在MoB2的两个相邻的Mo原子层之间,获得了理想的结构稳定性和化学活性。h-MoB2负极材料由非晶壳和结晶核构成,其中,MoB2结晶核将蜂窝状硼烯单元包裹在相邻的两层钼原子之间,有助于提高材料电子导电性;MoB2非晶壳暴露更多活性反应位点,有助于提高储锂性能,缓解循环过程中电极材料的体积效应。作为锂电负极材料,h-MoB2在0.1 A g-1下可逆容量高达798 mAh g-1,在5 A g-1下充满电仅需166 s,并且在1 A g-1下循环1200圈,储锂容量能保持在224 mAh g-1。同时,通过原位XRD技术证明了其储锂机制以锂离子与MoB2的嵌入/脱出反应为主导。
第 一 作 者 及 通 讯 作 者 简 介
陈玉祥,昆明理工大学材料科学与工程学院特聘教授,近年来围绕电化学能源存储与转换体系用富缺陷无机材料开展一系列研究,以第一作者或通讯作者在New Carbon Mater.、Adv. Energy Mater.、Small等刊物发表论文10篇。
李祖来,昆明理工大学科学技术院院长、二级教授、博士生导师;金属先进凝固成形及装备技术国家地方联合工程实验室副主任,云南省先进成形制造工程技术研究中心主任,云南省“兴滇英才”云岭学者、云南省产业技术领军人才、云南省中青年学术和技术带头人、云南省政府特殊津贴获得者、昆明理工大学学术委员会委员、耐磨材料国家级专家服务基地平台负责人。长期从事金属凝固理论、金属强化机制、耐磨复合新材料、有色金属深加工技术研发及成果产业化等研究方向。主持承担国家重点研发计划、国家863、国家自然科学基金(共8项,其中主持5项,面上项目4项)、云南省科技强省计划专项、云南重大科技专项计划等项目共计60余项,累计科研经费约8000万元。在Acta Mater.、Small、Ceramics Inter、WEAR等国内外期刊上发表论文100余篇(其中SCI、EI收录80余篇),出版学术专著2部,授权专利93件,其中授权发明专利61件,共获得省部级及以上奖励6项,其中云南省技术发明一等奖2项,国家专利优秀奖1项,中国发明协会发明创业成果奖二等奖1项、中国有色金属工业科学技术一等奖1项、湖北省技术发明二等奖1项。
史晓东,海南大学海洋科学与工程学院副教授、博士生导师、海南省高层次青年人才。围绕海洋能源资源化利用,主要开展高性能水系电池、锂/钠离子电池和可充电海水电池相关研究工作。2022年6月博士毕业于中南大学材料科学与工程学院梁叔全教授团队,并加入海南大学南海海洋资源利用国家重点实验室田新龙教授团队(主页:http://www.tianxinlong-lab.com)。目前,以第一作者和通讯作者身份(含共同)在ACS Energy Lett.、Adv. Energy Mater.、Adv. Funct. Mater.、Sci. Bull.等期刊发表SCI论文18篇,获评Nano Materials Science和Microstructures期刊2023年度优秀青年编委。
田新龙,海南大学海洋科学与工程学院副院长、国家“万人计划”青年拔尖人才、教授、博士生导师;海南省电化学储能与能量转换重点实验室副主任、智慧海洋能源与深海资源开发工程研究中心副主任,海南大学海洋清洁能源创新团队负责人;长期从事电化学能量转换与存储领域的应用基础研究,包括氢燃料电池、海水制氢和海水电池等。以第一/通讯作者在Science、Joule、NC、JACS、AM等学术期刊上发表SCI论文100余篇;主持国家级基金5项,授权国家发明专利12项,美国发明专利1项;担任J. Energy Chem., eScience, Carbon Energy等期刊青年编委;荣获《麻省理工科技评论》亚太区“35岁以下科技创新35人”、侯德榜化工科学技术青年奖、海南青年科技奖、海南青年五四奖章和海南省自然科学一等奖等荣誉。
添加官方微信 进群交流
SCI二氧化碳互助群
SCI催化材料交流群
SCI钠离子电池交流群
SCI离子交换膜经验交流群
SCI燃料电池交流群
SCI超级电容器交流群
SCI水系锌电池交流群
SCI水电解互助群
SCI气体扩散层经验交流群
备注【姓名-机构-研究方向】
投稿请联系contact@scimaterials.cn
点分享
点赞支持
点在看

