文 章 信 息
手性材料中高效析氢催化剂的设计
第一作者:占洁
通讯作者:孙岩*
单位:中国科学院金属研究所,中国科学技术大学
研 究 背 景
电解水制氢是可再生能源领域的主攻方向,目前Pt仍然是公认析氢效率最高的催化剂,因此寻找更多潜在的高效析氢催化剂是该领域最重要的课题之一。近年来拓扑催化材料由于其独特的物理化学性质受到了越来越多的关注,其拓扑表面态能有效促进催化反应过程。考虑到材料的表面态包括拓扑表面态和体态投影两部分,而拓扑表面态与拓扑能量窗口的大小有关,因此文中提出将大的拓扑能量窗口和大的体态态密度进行结合,以设计高效析氢的拓扑催化材料。
文 章 简 介
近日,中国科学院金属研究所的孙岩研究员,在国际知名期刊ACS Catalysis上发表题为“Design of High-Efficiency Hydrogen Evolution Catalyst in a Chiral Crystal”的研究文章。该文章提出了一种设计高效拓扑电催化剂的新策略,即通过拓扑能量窗口和体态态密度的结合寻找更多潜在的高效析氢催化剂。文中利用本征描述符投影贝利相位和体态态密度的计算,对198号空间群所有结构稳定的无机化合物进行了扫描,筛选出了SiTc这种材料。通过传统描述符氢吸附吉布斯自由能的计算结果,确定了该材料的高析氢效率。因此,该文章不仅提供了一个可代替Pt的潜在候选材料,还提供了一个设计高效拓扑电催化剂的新策略。
图1. 高效析氢催化剂设计概念图
本 文 要 点
要点一:设计高效析氢催化剂材料示例
在现有认识中,最大的拓扑能量窗口可能出现在具有手性晶体结构的拓扑金属或拓扑半金属材料,这种结构中不同的多重费米子间不被对称性所约束,可以出现在任何能级。两种典型材料PtAl和PtGa都属于198号手性结构空间群,并且具有良好的析氢反应活性。因此文中以198号空间群为例,展示了高效析氢催化剂的设计过程。通过计算扫描该空间群中所有无机化合物的投影贝利相位和体态态密度,筛选出了SiTc这种材料。与PtAl和PtGa相比,该材料具有更大的投影贝利相位并在费米能级处拥有更大的态密度,因此很有可能具有更高的析氢反应效率。
图2. 高效析氢催化剂设计流程示例
要点二:电子结构和氢吸附过程分析
通过计算电子能带结构获得该材料的拓扑能量窗口大小为0.550 eV,与PtAl、PtGa相当。计算结果显示最稳定的吸附位点为表面的hollow位,其吸附能为 -0.302 eV,对于氢吸附来说这是一个既不强也不弱的值,最终的氢吸附吉布斯自由能为 -0.062 eV, 甚至比Pt( ~ -0.09 eV)更靠近零点。电荷密度差分图的结果显示在反应过程中,电荷主要在表面的Tc原子附近减少,在H原子附近增加,且其形状分别表现出d轨道和s轨道的特征,说明催化反应过程中表面Tc原子的化学反应活性较高。
图3. 材料的晶体结构和电子结构,以及吸附位点和差分电荷密度图
要点三:表面态和费米面分析
通过计算十个原胞厚度的表面模型,文中分析了吸附前后的材料表面态和费米面的变化。表面电子结构的分析结果显示表面能带主要由Tc的d轨道贡献,吸附后H原子的s轨道沉到了更低的能级。虽然大部分的表面态都被体态所覆盖,但吸附前后表面态和费米面的变化仍十分明显,表明在催化过程中主要由表面Tc原子的d轨道参与反应。
图4. 吸附前后表面态和费米面的变化
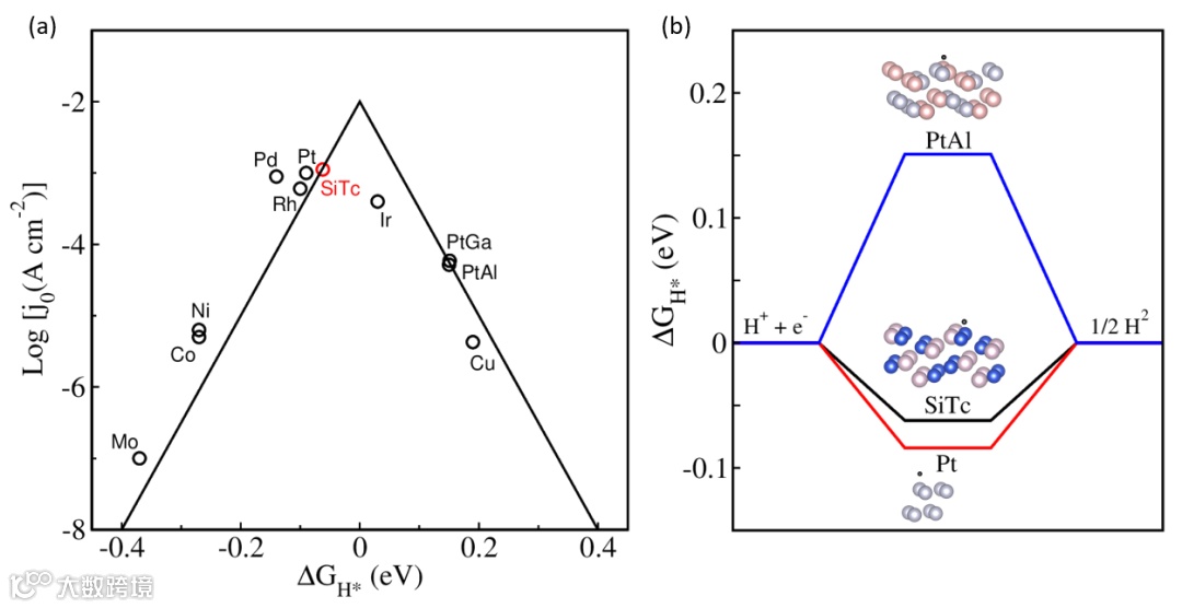
要点四:SiTc的析氢反应效率
火山图和反应台阶图更加直观的展示了SiTc的析氢反应效率。相比于Pt,SiTc更接近于火山图顶点,是一个可替代Pt的潜在候选材料。
图5. 火山图和反应台阶图
文 章 链 接
Design of High-Efficiency Hydrogen Evolution Catalysts in a Chiral Crystal
https://doi.org/10.1021/acscatal.3c03086
通 讯 作 者 简 介
孙岩研究员简介:中科院金属所研究员,博导,2014年于中科院金属所获博士学位,2014年-2019年在德国马普固体化学物理研究所做博士后研究,2019年拿到W2研究组长岗位,2021年入选国家青年人才计划。研究兴趣主要是结合对称分析和电子能带结构研究材料量子响应(霍尔效应、磁阻效应、非线性光电效应和非线性霍尔效应等)和数据库建设等。目前发表SCI论文100余篇,包括Nature、Science、Nat. Phys. 、Nat. Mater. 、Nat. Comm. 、PRX、PRL、PRB、Adv. Mater.,被引用万余次,入选科瑞维安高被引学者。
第 一 作 者 简 介
占洁,中国科学院金属研究所博士研究生,主要研究方向为拓扑催化材料的第一性原理计算。
研 究 团 队 介 绍
课题组主要研究兴趣是从电子结构、对称分析和量子响应的角度来理解和预测材料的性能并探索它们在数据存储、信息传输和能量转换等技术方面的应用,包括反常霍尔效应,拓扑霍尔效应、自旋霍尔效应、反常能斯特效应、磁光效应以及各种磁阻效应;在非线性响应中,主要对非线性霍尔效应、体态光伏效应,手性旋光效应以及THz辐射发射和探测等感兴趣;此外还关注从量子响应与输运角度对催化现象的理解。
课题组网站:
http://sourcedb.imr.cas.cn/zw/rck/yjy_imr/202207/t20220714_6477047.html
课 题 组 招 聘
手性材料理论设计与物性研究方面的博士后
添加官方微信 进群交流
SCI二氧化碳互助群
SCI催化材料交流群
SCI钠离子电池交流群
SCI离子交换膜经验交流群
SCI燃料电池交流群
SCI超级电容器交流群
SCI水系锌电池交流群
SCI水电解互助群
SCI气体扩散层经验交流群
备注【姓名-机构-研究方向】
投稿请联系contact@scimaterials.cn
点分享
点赞支持
点在看

