文 章 信 息
异质的酞菁钴/硫修饰空心碳球用于促进CO2电还原和Zn-CO2电池
第一作者:王慧杰
通讯作者:童赟*,陈鹏作*
单位:浙江理工大学
研 究 背 景
温室效应和气候变化已经造成了严重的环境影响,作为一种主要温室气体,二氧化碳的回收与再利用一直是研究热点。目前通过电催化进行CO2还原反应(CO2RR)可以将CO2转化为高附加值的化学品。但是CO2RR仍然受到二氧化碳活化的高能垒和竞争析氢反应(HER)的困扰。近年来,具有高活性、高原子利用率的单原子催化剂(SACs)被认为是优异的CO2RR催化剂。
其中,酞菁基催化剂,特别是酞菁钴(CoPc),显示出有效的CO2RR活性。合理的载体设计被证明是优化金属位点的局部环境和电子结构、提高催化活性的有效手段,但是SACs与载体之间的相互作用对催化性能影响的相关探究并不全面。基于CoPc与载体之间可调的相互作用,通过微环境调控优化金属Co位点的催化性能是一种潜在但被忽视的策略。
文 章 简 介
近日,来自浙江理工大学化学与化工学院的陈鹏作研究员和童赟副教授,在国际知名期刊《Advanced Functional Materials》上发表题为“Heterogeneous Cobalt Phthalocyanine/Sulfur-Modified Hollow Carbon Sphere for Boosting CO2 Electroreduction and Zn–CO2 Batteries”的文章。鉴于SACs与载体之间的相互作用对催化性能影响的相关探究并不全面,该文以酞菁钴(CoPc)为概念例,提出了一种以中空碳球(S-NHC)为载体的S原子掺杂策略,揭示了Co单原子的微环境调控与催化活性之间的内在关系。额外的S掺杂可能导致S-NHC样品中碳缺陷增加,并增加了吡咯氮的含量,导致CoPc/S- NHC电子相互作用更强,从而提高了CO2RR性能。
值得注意的是,该催化剂在−0.6 V (vs RHE)时CO选择性接近100%,在−0.4 ~−0.8 V的宽电位范围内FECO选择性超过90%。采用CoPc/S-NHC作为阴极的Zn-CO2电池在4.7 mA cm-2下的最大功率密度为2.68 mW cm-2。原位衰减全反射红外(ATR-IR)光谱揭示了关键的*COOH和*CO中间体的形成;同时,DFT计算结果证实了这些中间体在CoPc/S-NHC上更好的吉布斯吸附自由能,证明其所发展调控策略的可行性。
本 文 要 点
要点一:异质酞菁钴/硫修饰空心碳球(CoPc/S-NHC)的合成与表征
图1. CoPc/S-NHC的合成示意图和表征图。
图1a显示了CoPc/S-NHC的制备过程的细节。SiO2@DA(DA,多巴胺)前体是根据之前报道的方法合成的。SiO2@DA与硫脲共同热解,实现了一步硫,氮共掺杂和碳化。随后,经过高浓度氢氧化钠溶液处理后去除二氧化硅,得到空心碳球结构。最后,通过CoPc和碳载体之间的𝜋-𝜋叠加作用,成功构建了CoPc/S-NHC催化剂。电镜图显示CoPc/S-NHC呈现出一个空心球形的结构,且通过高角环形暗场扫描透射电子显微镜(AC HAADF-STEM)成功证实了单个Co原子(用黄色圆圈标记)的存在。
图2. a)CoPc/S-NHC和CoPc/NHC的拉曼光谱图,b)XRD图,c-h)XPS图。
拉曼光谱D波段与G波段的强度比(ID/IG)常用于表示材料的碳缺陷密度,可以发现,与掺氮的碳球相比,S,N共掺杂的前驱体具有更高的碳缺陷密度。利用XPS进一步分析了元素组成和化学状态,值得注意的是,C─N/C─S的峰值代表缺陷碳,引入S元素后,缺陷碳含量的比例从18.9增加到30.4%(图2g),进一步证明了缺陷碳密度的增加,这与拉曼结果一致,而在CoPc/S-NHC样品中,随着硫的参与,吡咯N的比例也几乎增加了一倍(图2h)。同时可以发现,硫的加入还导致了Co的配位环境的变化,碳缺陷的增加导致了碳基底的吸电子效应的增加,而电负性高的吡咯N也有可能从Co中吸引电子,Co 2p的结合能向高场方向偏移。
要点二:Flow cell中优异的CO2RR性能
图3. a)Flow cell 示意图,b-d)CoPc/S-NHC性能图,e)性能对比图
为了提高传质效率,在Flow cell中评估了CoPc/S-NHC的电化学性能。如图3a所示,二氧化碳可以通过气体扩散层到达催化层,避免了CO2在电解液中的低溶解度问题,提供了可能的三相界面。由于反应过程中二氧化碳传质效率的提高,CoPc/S-NHC表现出近150 mA cm−2的大电流密度。此外,CoPc/S-NHC在−0.6V(vs RHE)时显示出近100%的高FECO,且在从−0.4到−0.8V的宽电位范围内,FECO大于90%。与其他报道的CoPc基催化剂相比,制备的CoPc/S-NHC也表现出有前景的性能潜力。
要点三:催化反应中间体和吸附自由能的探究
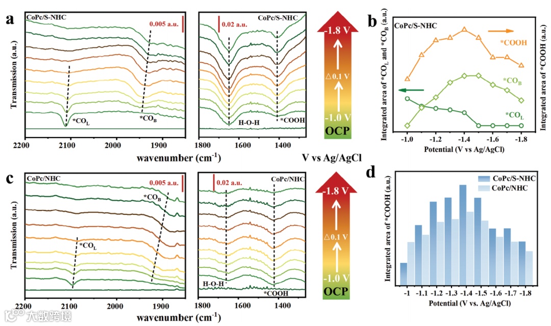
图4. 原位红外光谱图和反应中间体分析
图5. a-b)电荷密度差分图,c)催化反应路径图和d)吉布斯吸附自由能计算图
使用原位衰减全反射红外(ATR-IR)光谱来获得更多的中间体信息,并探索CoPc/S-NHC的反应途径。如图4所示,ATR-IR光谱分析显示,CoPc/S-NHC和CoPc/NHC均检测到两个关键的反应中间体(*COOH和*CO)。值得注意的是,*CO中间体有两种吸附模式,分别是线性吸附(*COL)和桥式吸附(*COB)。结果显示有三组峰位于≈1400、1900和2100cm−1,分别代表*COOH、*COB和*COL。如图所示,在低电位区域,*COL占主导地位,几乎没有*COB的信号。随着应用电位的增加,*COL有向*COB转变的趋势,这与之前的报道一致。这种转变与催化剂表面总*CO覆盖的饱和度有关。此外,*CO的峰位置的变化可以用Stark effect来解释,证实了观察到的*CO是一种表面吸附的物质,而不是一种溶解的分子。
为了研究S掺杂如何提高CO2RR的催化性能,进一步进行了DFT计算。根据CoPc/S-NHC的相关表征,建立了催化剂模型。其中电荷积累发生在S掺杂的碳基底上,而电荷损失发生在Co位点附近,这与之前的XPS分析一致。通过ATR-IR光谱,证实了CO2-to-CO途径涉及两个反应中间体(*COOH和*CO)。基于这些中间体,进一步计算了CoPc/S-NHC和CoPc/NHC的吉布斯吸附自由能。与CoPc/NHC相比,CoPc/S-NHC具有较低的*COOH生成能垒,更适合*CO吸附和脱附自由能,表明CoPc/S-NHC催化活性在S引入后有所提高。因此,以上结果表明,S原子的引入有助于Co位点附近的电荷再分配,从而影响了CO2RR中间体的形成,吸附和转化过程。
文 章 链 接
Heterogeneous Cobalt Phthalocyanine/Sulfur-Modified Hollow Carbon Sphere for Boosting CO2 Electroreduction and Zn–CO2 Batteries
https://onlinelibrary.wiley.com/doi/full/10.1002/adfm.202312552
添加官方微信 进群交流
SCI二氧化碳互助群
SCI催化材料交流群
SCI钠离子电池交流群
SCI离子交换膜经验交流群
SCI燃料电池交流群
SCI超级电容器交流群
SCI水系锌电池交流群
SCI水电解互助群
SCI气体扩散层经验交流群
备注【姓名-机构-研究方向】
投稿请联系contact@scimaterials.cn
点分享
点赞支持
点在看

