文 章 信 息
用于高倍率盐包水电解液基超级电容器的中空介孔碳球设计
第一作者:冯丽萍
通讯作者:韩高义、朱胜
研 究 背 景
传统水系电解液的储能装置具有挥发性低、不可燃、功率密度高等优点。然而,由于水的电化学稳定性窗口(ESW)较窄,导致储能器件的能量密度较低,限制了水系电解液在储能器件的广泛适用。最新进展表明,利用盐包水型电解液(WISE)可以将器件的电位窗口拓宽至2 V以上。虽然盐包水型电解液拓宽了水系储能设备的工作电压,但WISE的高粘度限制了离子的快速输运,使得超级电容器的功率密度受到制约。为了加快盐包水体系中电解液离子在电极材料内的传输速率,设计和构筑具有合适孔径结构的碳材料成为当前研究的重点。
文 章 简 介
近日,山西大学韩高义课题组,设计合成了分级介孔碳材料用于高倍率盐包水电解液基超级电容器,该文以“Designing hollow mesoporous carbon sphere for high-rate supercapacitor in water-in-salt electrolyte”为题,发表在国际期刊Chemical Engineering Journal。研究人员提出了一步无模板炭化法合成中空多孔炭球的方法。在制备过程中,葡萄糖酸钾与甲醛反应,快速生成亲水性胶体颗粒。这些颗粒随后被产生的酚醛树脂和脲醛树脂壳包裹。在热解过程中,由于残碳率的差异,内部胶体颗粒分解成更多的气体,而外部的酚醛树脂树脂则形成中空的碳壳。以该材料组装的对称型超级电容器,在高氯酸钠盐包水电解液中显示了卓越的倍率性能,在拓宽工作电压提升能量密度(以活性物质量计)的同时,还增加了器件的功率密度。
本 文 要 点
要点一:葡萄糖酸钾与甲醛反应生成亲水性胶体颗粒
葡萄糖酸钾和甲醛在水中混合时,混合物最初显示出溶液的性质,一分钟后混合物中立即出现了胶体颗粒。因此,可以推断出在葡萄糖酸钾存在的情况下制备前驱体时,葡萄糖酸钾与甲醛迅速反应形成亲水性胶体颗粒,然后酚醛树脂和脲醛树脂共同沉积在胶体颗粒上形成复合前驱体。
图 1. NHPC制备过程示意图(a)。PC(b)、HPC(d)和 NHPC(f)的扫描电镜图像。PC(c)、HPC(e)和 NHPC(g)的 TEM 图像以及 NHPC 中 C、N 和 O 的元素分布图像(h)。
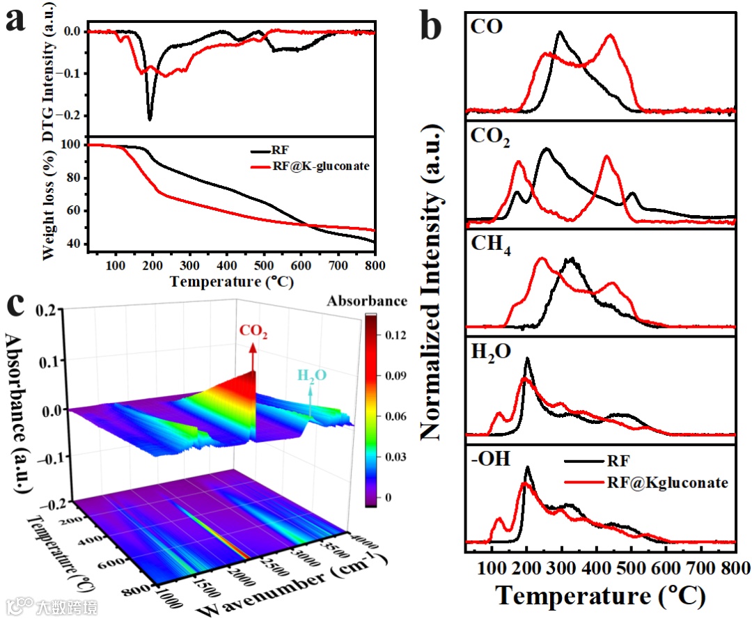
要点二:脲醛树脂高温热解形成中孔空心碳球结构
在热解过程中由于残炭率的不同,葡萄糖酸钾和甲醛形成的胶体粒子分解后留有空间,而酚醛树脂具有较高的残炭率,可以保持球形,因此形成了空心球体。另一方面,分解过程中产生的气体逸出留下孔隙,再加上残留的碳酸钾和KOH的活化作用,在壳上形成大量的微孔和中孔,从而得到氮掺杂中孔空心炭球。这种结构不仅能提高电极材料的利用率,还能促进电荷的转移和储存。
图2. RF和RF@K-gluconate的TGA和DTG曲线(a)。在热解过程中RF和 RF@K-gluconate 的TG-MS曲线(b)。RF@K-gluconate的红外光谱(c)。
要点四:高性能盐包水型电解液基超级电容器
中空介孔碳球材料具有高的氮含量、大的比表面积及包括微孔、中孔和大孔在内的多种孔径。以17mol/kg的高氯酸钠溶液为盐包水电解液,使用该材料为电极组装的超级电容器展现了高的能量密度和卓越的倍率性能。该工作为低成本制备高性能多孔储能碳材料引入了一种新的策略。
图 3. PG、PC、HPC 和 NHPC 的 XRD 谱图(a)、Raman光谱(b)N2吸附/脱附等温线(c)、孔径分布(d)和孔径贡献率(e)。NHPC的XPS光谱:(f) XPS 全谱,(g) C 1s,(h) N 1s 和 (i) O 1s。
图 4. 在NaClO4电解液中组装成对称超级电容器的简图(a)。在不同浓度NaClO4电解液中电容器NHPC的CV曲线(b)和GCD曲线(c)。不同电流密度下的Cg值(d)。NHPC的Nyquist曲线(e)。C′′(ω) 与频率的关系(f)。在不同浓度电解液中NHPC器件的能量密度和功率密度之间的关系图(g)。NHPC器件中电容保持率与循环次数的关系图(h)。
文 章 链 接
“Designing hollow mesoporous carbon sphere for high-rate supercapacitor in water-in-salt electrolyte”,
https://doi.org/10.1016/j.cej.2024.150346
通 讯 作 者 简 介
韩高义:教授,博导,主要从事石墨烯等碳基纳米材料、导电高分子材料及其复合物应用于能量转换和存储方面的研究。入选教育部新世纪优秀人才支持计划和山西省高校中青年拔尖创新人才。主持/完成国家自然科学基金项目5项,山西省自然科学基金项目、山西省科技厅重大专项、山西省教育厅专项项目等4项。在Adv. Mater., Angew. Chem. Int. Ed.等期刊发表学术论文150余篇,获得权国家发明专利10余项。
朱胜:山西大学分子科学研究所硕士生导师,主要从事碳纳米材料的结构可控制备及应用。以第一/通讯作者身份在Natl. Sci. Rev., Angew. Chem. Int. Ed., Adv. Funct. Mater., Cell. Rep. Phy. Sci.,EnergyChem, ACS Mater. Lett.等学术刊物上发表研究论文30余篇,申请国家发明专利多项。
第 一 作 者 简 介
冯丽萍,2018-2020在山西大学攻读硕士学位,2020-2024在山西大学攻读博士学位。研究兴趣为多孔碳材料的制备及其在超级电容器中的应用,以第一作者身份在Chem. Eng. J., ACS Appl. Energy Mater.等期刊发表论文4篇。
添加官方微信 进群交流
SCI二氧化碳互助群
SCI催化材料交流群
SCI钠离子电池交流群
SCI离子交换膜经验交流群
SCI燃料电池交流群
SCI超级电容器交流群
SCI水系锌电池交流群
SCI水电解互助群
SCI气体扩散层经验交流群
备注【姓名-机构-研究方向】
投稿请联系contact@scimaterials.cn
点分享
点赞支持
点在看

