文 章 信 息
Synthesis of Co4Nnanoparticles via a urea-glass route toward bifunctional cathode for high-performance Li-O2 batteries
第一作者:夏军,尹帅,杨天
通讯作者:张世超*,邢雅兰*
研 究 背 景
可充电锂-氧气(Li-O2)电池因其高理论能量密度等优势被认为是理想的储能体系之一。然而,Li-O2电池的实际应用却因正极缓慢的反应动力学和各种副反应(副反应会导致较低的氧化还原过电位)而受到阻碍。为了优化Li-O2电池的性能,多种金属氧化物(比如过渡金属氧化物、钙钛矿、贵金属氧化物、尖晶石氧化物等)已被用于正极催化剂以提升Li-O2电池的性能。其中,钴基氧化物由于其较低的成本以及对氧还原反应(ORR)和氧析出反应(OER)具有良好的催化活性,被科学家们广泛研究。然而,钴基氧化物催化剂电子导电性较差,这使得其催化性能低于预期。相对而言,金属氮氧化物和金属氮化物克服了金属氧化物导电性差的固有缺陷。氮化物中N 2p轨道的电子能级高于氧化物中的O 2p轨道,因此过渡金属氮化物可以降低带隙或增加导价态重叠来获得较高的电子导电性。
因此,各种氮化物材料(包括氮化钛、氮化镍、氮化铁、氮化钴等)已经被广泛用于能量转换和存储设备。对于钴基材料来说,由于电子离域调制,钴基氮化物存在多种形式,包括Co2N、Co3N和Co4N。其中Co4N在碱性环境中表现出较高的稳定性和突出的OER活性。
为解决上述挑战,本文提出了一种尿素玻璃路线制备低团聚的纳米Co4N材料,应用于非水系Li-O2电池正极。由于Co4N纳米颗粒保留了金属钴的晶体结构,其具有很高的电子导电性。Co4N的高效催化活性可以有效抑制电极的副反应,并增加其反应动力学。此外,均匀分散的Co4N纳米颗粒更有利于催化位点的暴露,提高催化剂利用率,进而提升电极倍率性能。同时,Co4N优秀的OER性能有助于降低Li-O2电池充电极化抑制副反应发生,提升电池循环寿命。密度泛函(DFT)理论计算表明,Co4N纳米颗粒电子结构改变在提高ORR活性方面发挥了重要作用。Co4N/N-CNTs的ORR过电位更容易在施加的电位范围内实现,因此具有更好的ORR催化性能。CNTs与氮的耦合可以有效优化Co4N/N-CNTs电子结构,降低反应中间体能垒,促进反应动力学。得益于上述优势,Co4N/N-CNTs纳米催化材料在限容500 mAh g-1和电流密度为200 mA g-1的条件下,具有更好的长循环稳定性能(在氧气环境下循环 80 次),使高容量Li-O2电池正极成为可能。
文 章 简 介
近日,北京航空航天大学张世超教授、邢雅兰副教授团队在国际期刊《Journal of Energy Storage》上发表题为 “Synthesis of Co4Nnanoparticles via a urea-glass route toward bifunctional cathode for high-performance Li−O2 batteries” 的研究文章。
该团队提出了一种尿素-玻璃法制备低团聚、颗粒均匀的Co4N纳米粒子,并将其应用于非水系Li-O2电池正极。由于Co4N纳米颗粒保留了金属钴的晶体结构,其具有很高的电子导电性。Co4N的高效催化活性可以有效抑制电极的副反应,并增加其反应动力学。此外,均匀分散的Co4N纳米颗粒更有利于催化位点的暴露,提高催化剂利用率,进而提升电极倍率性能。同时,Co4N优秀的OER性能有助于降低Li-O2电池充电极化以抑制副反应发生,提升电池循环寿命。密度泛函(DFT)理论计算表明,Co4N纳米颗粒电子结构改变在提高ORR活性方面发挥了重要作用。Co4N/N-CNTs的ORR过电位更容易在施加的电位范围内实现,因此具有更好的ORR催化性能。
CNTs与氮的耦合可以有效优化Co4N/N-CNTs电子结构,降低反应中间体能垒,促进反应动力学。得益于上述优势,Co4N/N-CNTs纳米催化材料在限容500 mAh g-1和电流密度为200 mA g-1 的条件下,具有更好的长循环稳定性能(在氧气环境下循环 80 次),使高容量Li-O2电池正极成为可能。北京航空航天大学张世超教授和邢雅兰副教授为本文通讯作者,北京航空航天大学夏军博士,博士生尹帅和研究生杨天为本文共同第一作者。
图1. Co4N/N-CNTs纳米颗粒的合成机理图和形貌表征
图2. Co4N/N-CNTs纳米颗粒的DFT理论计算结果
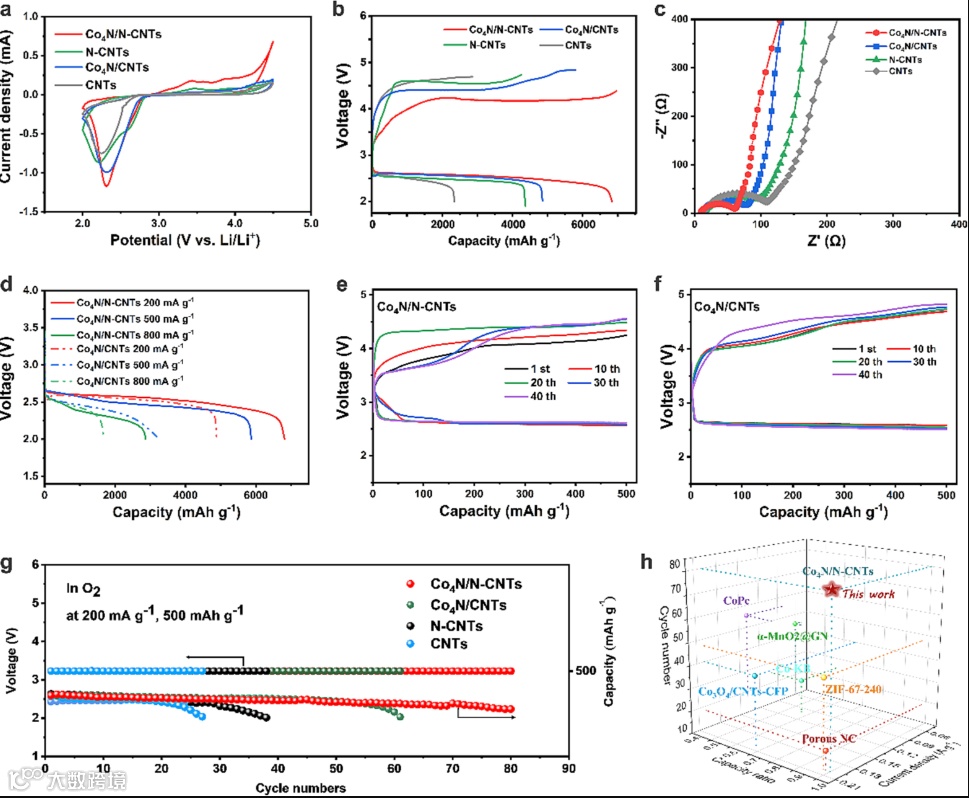
图3. Co4N/N-CNTs催化材料制备Li-O2半电池电化学性能
结论
综上所述,本文通过简单的尿素玻璃法制备了Co4N纳米颗粒并探究其在Li-O2电池正极中的应用。该方法无需提纯、试剂简单、成本低廉且产物催化活性高。该方法制备的纳米粒子具有高分散性、颗粒尺寸小(纳米尺度)和产物相单一等特点,从而能够提升催化剂的效率并充分暴露催化位点。通过涂布法在碳布基底上构筑Li-O2电池正极,电极的放电比容量(在200 mA g-1电流下放电比容量为6810 mAh g-1)、循环寿命(限流200 mA g-1,限容500 mAh g-1条件下稳定循环80圈)、倍率性能(在800 mA g-1电流下放电容量为2868 mAh g-1)以及充放电过程中的电极极化都得到了明显的优化。Co4N的高导电性与良好的催化性能抑制了副反应的发生,提升了电极的放电比容量。因此,本工作为合成Co4N提供了一种简单的方法,同时可以一定程度改善Li-O2电池极化严重及可逆性差等问题。
文 章 链 接
Synthesis of Co4Nnanoparticles via a urea-glass route toward bifunctional cathode for high-performance Li−O2 batteries
https://doi.org/10.1016/j.est.2023.109364
通 讯 作 者 简 介
张世超,北京航空航天大学教授、博导,国家973项目首席科学家,国家重点研发计划项目负责人。主要从事高性能锂离子电池、锂硫电池、锂空电池和超级电容器等新型化学电源关键材料与器件研究工作,先后主持五项国家863计划课题、九项国家自然科学基金项目、两项国家973重大科学研究计划项目、一项国际科技合作计划项目和一项国家重点研发计划项目的研究工作。创新性地提出了三维集流体与三维电极概念,先后主持两项锂二次电池的国家973计划项目和我国第一个锂硫电池的863计划项目,构建了多体系高比能柔性储能器件。在Adv. Mater.、ACS Nano、Adv. Energy Mater.、Adv. Func. Mater.、Small、EnSM.、Nano Energy和Nano Research等高水平刊物上发表论文二百余篇,获部级二等奖多项。
邢雅兰,北京航空航天大学副教授,主要研究锂二次电池高性能电极材料及器件,聚焦于三维微纳结构高效电极材料的设计制备及性能优化。在国内外期刊上发表SCI论文60余篇。曾获中国电子学会科学技术奖二等奖(2/5)、北京市自然科学奖二等奖(3/8)。获评北航青年拔尖人才,承担了国家自然科学基金、北京市自然科学基金、航天科技基金等,参与国家重点研发计划、领域基金、国家973计划等多项课题。
添加官方微信 进群交流
SCI二氧化碳互助群
SCI催化材料交流群
SCI钠离子电池交流群
SCI离子交换膜经验交流群
SCI燃料电池交流群
SCI超级电容器交流群
SCI水系锌电池交流群
SCI水电解互助群
SCI气体扩散层经验交流群
备注【姓名-机构-研究方向】
投稿请联系contact@scimaterials.cn
点分享
点赞支持
点在看

