文 章 信 息
通过双齿螯合策略钝化未成键金属位点,使锌黄锡矿太阳电池的效率提高到13.77%
第一作者:曹蕾,王丽晶
通讯作者:周正基*,武四新*,田庆文*,刘生忠*
单位:陕西师范大学,河南大学
研 究 背 景
锌黄锡矿的Cu2ZnSn(S,Se)4 (CZTSSe)薄膜作为一种无毒、资源丰富、高光吸收系数、带隙与太阳光谱匹配和理论极限效率高的光伏器件材料,在光伏领域中受到广泛关注。尽管它具有优良的环境可持续性和潜在的成本优势,但目前的器件效率较低成为阻碍CZTSSe发展的主要瓶颈。研究表明,影响CZTSSe太阳能电池性能的主要因素是其较大的开路电压损耗。限制开路电压进一步提高的一个重要原因是其表面存在大量的物理缺陷、不利的能带排列以及由CZTSSe/CdS异质结界面处费米能级钉扎引起的能带弯曲不足,导致非辐射载流子复合。此外,基于锌黄锡矿的晶格中的不连续性产生的大的缺陷密度,例如未端接(“悬挂”)键,从而不可避免的引入了大量的电子陷阱和表面态,它们作为非辐射复合的快速通道,阻碍了电荷的传输和收集。更糟糕的是,未端接的键也使表面在能量上不利,更具反应性,导致化学反应,从而建立额外的中间隙态,进一步促进复合。因此,构建具有少量缺陷和低复合率的异质结界面被认为是实现高效CZTSSe太阳能电池的重要策略。
文 章 简 介
近日,河南大学周正基教授、武四新教授与陕西师范大学田庆文副教授、刘生忠教授合作,在国际知名期刊Advanced Materials上发表题为“Modifying Surface Termination by Bidentate Chelating Strategy Enables 13.77% Efficient Kesterite Solar Cells”的观点文章。该研究使用密度泛函理论确认了CZTSSe薄膜表面的金属结合位点,并在实验上设计了一种全新的钝化剂——二乙基二硫代氨基甲酸钠(NaDDTC),对CZTSSe吸收层表面进行后处理,从而通过强健的双齿螯合作用与CZTSSe薄膜的表面金属结合位点配位,有效减少了表面未配位缺陷,并使电子陷阱态得到钝化,从而抑制载流子的非辐射复合,改善能带排列,提高p-n结的质量,并增强异质结界面处的载流子分离和传输效率,最终获得了13.77%的器件效率和良好的重复性。
本 文 要 点
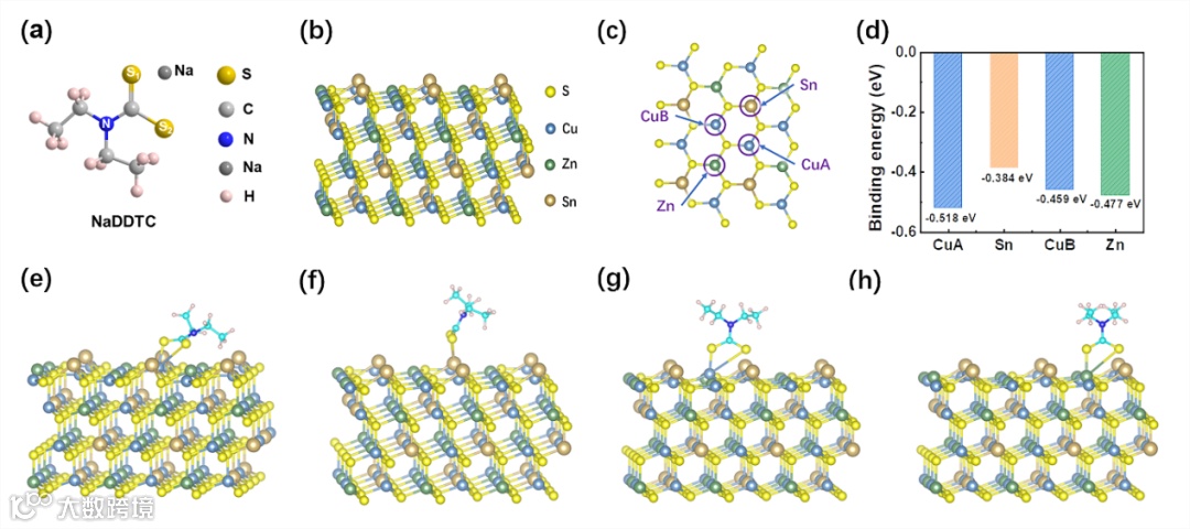
要点一:使用密度泛函理论(DFT)确认CZTSSe薄膜表面的金属结合位点以及与NaDDTC的作用模型
使用第一性原理计算软件沿平行于(112)晶体平面进行表面重建后的CZTSSe切割,结果发现CZTSSe晶体结构中存在CuA、Sn、CuB、Zn等多个结合位点,并计算了DDTC阴离子与CuA、Sn、CuB和Zn的结合能结合能分别为-0.518、-0.384、-0.459和-0.477 eV。它们相互作用的模型位点如图1e-h所示。所有结合能均为负值,表明NaDDTC在CZTSSe表面被强烈吸附,从而降低了表面缺陷的密度。
Figure 1. a) The chemical structure of NaDDTC. b) The crystal structure of the kesterite CZTSSe after surface reconstruction. c) Cu, Sn, and Zn binding sites on the (112) surface in CZTSSe thin films. d) The binding energies of S in NaDDTC with CuA, Sn, CuB, and Zn sites. Theoretical models of the interaction between S in NaDDTC and e) CuA, f) Sn, g) CuB, and h) Zn on the surface of CZTSSe films.
要点二:实验上确认CZTSSe薄膜表面的金属结合位点与NaDDTC存在强相互作用
实验上通过FTIR测试验证了NaDDTC与CZTSSe薄膜表面的相互作用。将Cu(CH3COO)/ Zn(CH3COO)2/SnCl4分别与NaDDTC进行混合,结果发现,分别对应于DDTC分子的C-N和C-S拉伸振动模式的 450-1550和830-1000cm−1区域的红外吸收峰νC-N和νC-S与原始NaDDTC的振动峰相比均发生了明显偏移,表明NaDDTC与CZTSSe中的Cu、Zn和Sn之间存在强配位相互作用。
Figure 2. FTIR spectra of (a) NaDDTC and Cu(CH3COO)+NaDDTC, (b) NaDDTC and Zn(CH3COO)2+NaDDTC, and (c) NaDDTC and SnCl4+NaDDTC, as well as associated magnified C-N and C-S stretching vibrations.
要点三:NaDDTC分布在CZTSSe薄膜表面,且能改善异质结界面能带排列
使用SIMS确认了NaDDTC的存在及其元素分布,结果发现Cu、Zn、Sn、S和Se元素在CZTSSe薄膜中的均匀分布,表明NaDDTC的钝化不影响CZTSSe膜的晶体结构和均匀性。此外,进一步确认NaDDTC存在于CZTSSe薄膜表面。这表明,NaDDTC钝化了薄膜表面产生的缺陷,而不是吸收层的本体缺陷。UPS测试结果显示,NaDDTC层的引入使其功函数没有变化,但是降低了价带顶的位置,从而提升了CBO,降低了VBO,导致CZTSSe层一侧能带的向下弯曲增强,从而改善CZTSSe/CdS异质结界面的能带排列,促进载流子的分离和传输。
Figure 3. a) XRD patterns and b) Raman spectra of CZTSSe thin films passivated with different concentrations of NaDDTC. c) SIMS depth profiles of the CZTSSe thin films treated with NaDDTC passivation agent. UPS spectra and schematic diagram of band alignment for CZTSSe/CdS heterojunction d) without and e) with NaDDTC treatment.
要点三:NaDDTC表面修饰使效率提升至13.77%,降低了Voc,def,且具有良好的重复性。
当NaDDTC的浓度(溶解于无水乙醇中)为0.1mg/mL时,获得了最优器件效率13.77%,且VOC和FF显著提升。使用J-V曲线拟合得到的二极管参数J0和A相比于参比器件明显降低,表明陷阱辅助复合在参比样品中占主导地位,而NaDDTC层提高了p-n结质量,抑制了载流子复合,从而有助于VOC的提升。通过方法计算了Voc,def。引入NaDDTC钝化层后,其VOC,def(0.3503→0.2953 eV)显著降低,这证明了NaDDTC钝化层是钝化缺陷,实现高效率的一种有效的方法。
Figure 4. a) The J-V curves of champion solar cells with and without NaDDTC treatment. b) Device parameter distribution of 16 devices of each type. c) Rsh, d) Rs, and e) J0 obtained by the J-V curve fitting. f) EQE spectra and integrated JSC of the champion CZTSSe devices untreated and treated by NaDDTC. g) Band gaps derived from the EQE and h) Urbach energy extraction derived from the EQE.
要点四:NaDDTC表面修饰能够降低界面缺陷密度,抑制界面载流子复合,延长载流子寿命,增强界面载流子收集能力
通过暗态下变温IV测试来评估电池的复合活化能,结果发现NaDDTC电池的复合活化能Ea(1.012eV)更加接近其吸收层表面带隙(从EQE数据得出),表明其主要复合路径已不再是界面复合。进一步通过瞬态光电压(TPV)测试得到了重组寿命(τTPV)。参比器件的τTPV为137 μs,经过NaDDTC修饰后延长到381 μs,表明NaDDTC器件中的载流子复合受到显著抑制。此外,EIS数据的奈奎斯特图半圆的直径增加,表明复合电阻增加,进一步证明了界面载流子复合被抑制。界面缺陷密度(NIT)可以通过从零偏压下C-V测量的载流子浓度(NC-V)中减去DLCP测量的载流子密度(NDL)来获得。
结果发现,引入NaDDTC后,NIT(3.78×1015 cm−3)显著降低,表明NaDDTC改性降低了CZTSSe吸收层表面的缺陷密度,且Wd的增加也增强了异质结界面处的载流子分离和传输。电子束诱导电流(EBIC)测量可以获得太阳能电池中光产生载流子收集的信息。在CZTSSe/CdS界面,NaDDTC处理的器件的EBIC信号强度比未处理的样品更强,表明NaDDTC修饰降低了界面缺陷浓度,抑制界面载流子复合,从而增强了异质结界面的载流子收集能力。
Figure 5. Temperature dependent J-V curves ranging from 300 to 120 K for CZTSSe solar cells a) without and b) with NaDDTC treatment. c) Aln(J0) versus 1/kT plot, d) normalized TPV spectra, and e) EIS curves of CZTSSe solar cells before and after NaDDTC treatment.
Figure 6. Cross-sectional SEM images (a and c) and EBIC signal images (b and d) of the devices with and without NaDDTC treatment. e) EBIC current intensity profile along the dashed arrows shown in (b) and (d). f) Carrier concentration profiles measured by C-V and DLCP.
文 章 链 接
“Modifying Surface Termination by Bidentate Chelating Strategy Enables 13.77% Efficient Kesterite Solar Cells”
https://doi.org/10.1002/adma.202311918
通 讯 作 者 简 介
周正基教授简介:2007年7月毕业于河南大学特种功能材料教育部重点实验室,获凝聚态物理硕士学位,同年毕业留校工作。2008年以访问学者身份在香港中文大学物理系从事为期一年的研究工作。2013年6月毕业于河南大学特种功能材料教育部重点实验室,获凝聚态物理博士学位。2014年以国家公派访问学者身份在美国匹兹堡大学访学。现为河南大学材料学院材料科学与工程专业教授,博士生导师。长期从事新型光电材料和器件的研究和开发。在Adv. Mater.、Adv. Funct. Mater.、Small、J. Mater. Chem. A.等国际主流学术期刊上发表论文70余篇。参与编写著作(章节)1部,授权国家发明专利3项。主持国家自然科学基金项目2项,河南省科技攻关项目2项。参与完成国家重大基础研究973前期专项、国家自然科学基金重大纳米研究计划、教育部高校科技创新工程重大项目等国家级科研项目6项。获“河南省高校青年骨干教师”称号。
武四新教授简介:2006年以来工作于河南大学特种功能材料重点实验室,材料学院。材料物理化学专业。目前主要研究方向:薄膜光伏器件、半导体团簇粒子、一维和二维半导体纳米颗粒。在Energy Environ. Sci., Adv. Funct. Mater., J. Mater. Chem.A等学术期刊发表论文90余篇。先后主持国家自然科学基金4项,省部级项目4项,并获得教育部新世纪优秀人才等称号。
田庆文副教授简介:2015年于中国科学院长春应用化学研究所获博士学位。现为陕西师范大学新能源高等技术研究院及陕西省能源新材料与器件重点实验室副教授。研究领域主要集中在以溶液法制备全无机钙钛矿、铜锌锡硫硒、铜铟镓硒薄膜太阳能电池器件及光电性能的改善。以第一作者和通讯作者身份在Angew. Chem. Int. Ed., Adv. Energy Mater., Adv. Funct. Mater., Chem. Mater.,J. Mater. Chem. A等学术刊物上发表多篇研究论文。
刘生忠教授简介:1992年在美国西北大学 (Northwestern University) 获博士学位。1992-2011年间,先后在美国Argonne National Laboratory(阿贡国家实验室)、Solarex、BP Solar、United Solar从事研究工作。2012年起回国工作,任陕西师范大学-中国科学院大连化学物理研究所特聘教授,洁净能源国家实验室太阳能部副部长、陕西师范大学新能源高等技术研究院院长,陕西省能源新材料与器件重点实验室主任、陕西师范大学陕西省能源新技术工程实验室主任。
研究领域集中在太阳能电池、钙钛矿单晶材料、纳米材料、薄膜材料、光电功能材料、激光表面处理和光伏技术的开发、放大和生产。担任J. of Energy Chemistry 期刊(Elsevier)国际顾问,ACS Sustainable Chemistry & Engineering编委,Nano Select 副主编,Advanced Functional Materials 专刊编辑等。基础研究成果曾发表在Science、Nature、JACS、Advanced Materials、Energy & Environmental Science、Angew. Chem. Int. Ed. 等刊物上。参与承担国家重点研发计划,基金委重点项目集成项目,中国科学院先导专项、省部委重大重点项目和企业项目等。发表SCI论文200余篇,h-因子67,获国际和中国授权专利六十余项。
添加官方微信 进群交流
SCI二氧化碳互助群
SCI催化材料交流群
SCI钠离子电池交流群
SCI离子交换膜经验交流群
SCI燃料电池交流群
SCI超级电容器交流群
SCI水系锌电池交流群
SCI水电解互助群
SCI气体扩散层经验交流群
备注【姓名-机构-研究方向】
投稿请联系contact@scimaterials.cn
点分享
点赞支持
点在看

