文 章 信 息
机器学习助力TOPCon电池的性能分析与优化设计
第一作者:周佳凯
通讯作者:T. Jesper Jacobsson,侯国付
通讯单位:南开大学
研 究 背 景
近十年来,低成本、低碳的太阳能利用方法得到了迅速发展。尽管有机光伏和混合钙钛矿等几种替代硅的概念已经被研究过,但硅基太阳电池仍然被认为是光伏产业升级最合适的途径之一。2013 年,隧穿氧化物钝化接触(TOPCon)技术问世,它基于超薄氧化硅(SiOx)和重掺杂多晶硅(poly-Si)薄膜。其特点是在高温下也很稳定,因此与目前产业内的制备工艺相兼容,这可以加快效率超过 25% 的硅电池的量产速度。采用 TOPCon技术的电池不断刷新效率记录,目前的记录是 26.89%,与 Schmidt 等人提出的理论上可达到的 28.7% 相差无几。核心TOPCon结构的制备工艺一般包括:界面氧化物的生长、非晶硅/多晶硅层的沉积、高温退火以及氢化。这些过程中的每一个步骤都可以用不同的方法来完成,它们都有自己的一组可调参数,并且目前已经做了很多工作来找到技术路线的最佳组合。
除了与TOPCon结构相关的因素外,器件性能还取决于诸如晶硅衬底、器件结构、电池制备工艺等特性。这形成了一个大而复杂的参数空间,增加了获取最优参数的难度。该领域尚未汇集到有关TOPCon沉积的标准程序。近年来,光伏领域越来越多的学者认识到机器学习(ML)在高通量计算和处理复杂多维问题方面的快速发展和巨大潜力。然而,对于TOPCon电池来说,这仍然是一个未被利用的概念。在此,南开大学T. Jesper Jacobsson、侯国付教授和周佳凯等人对TOPCon电池进行了全面的文献评估,以确定最佳工艺流程,并确定应该在哪些方面进行进一步的努力。汇总了131篇带有TOPCon电池原始数据的论文。
从这些论文中,提取了405个单独设备的数据。虽然受到数据量的限制,但已经探索了ML在多大程度上可以为指导未来的优化提供有价值的信息。此外,考虑到目前人们对TOPCon电池的广泛关注,可以预期数据集会随着时间的推移而增长,这将提高分析的可靠性和准确性。相关研究成果以“Data-driven tunnel oxide passivated contact solar cell performance analysis using machine learning”为题发表在Advanced Materials上。
本 文 要 点
要点一:系统地回顾了TOPCon电池的发展现状,总结了发展规律。
要点二:从现有文献中构建数据集,基于该数据集获得了一系列关于TOPCon电池性能优化的启发式的规则,可以作为进一步实验研究的灵感来源。
要点三:激发社区内数据管理和传播方面的改进,进一步提高此类统计分析的价值,并使ML工具箱的更大一部分得到使用。
图 文 分 析
图1. TOPCon电池性能的演变。a,不同TOPCon太阳电池结构示意图。b,高效晶硅太阳电池的发展,持续的技术创新使其效率每年增长约 0.5-0.6%abs。c,在标准条件下测试的电池转换效率的边际直方图。密度颜色映射用于可视化数据点的密度。d,性能参数开路电压、短路电流密度、填充因子(VOC, JSC, FF)与电池效率的关联性。
图1汇总了目前主流TOPCon电池的结构,它展示了晶硅太阳电池的发展之路以及如何通过逐步的技术进步实现持续的效率提高。此外,绘制的所有TOPCon器件的转换效率与发布日期的关系图表明了预期的性能提升趋势,同时也清晰了性能分布的潜在变化。与普通电池相比,目前最先进的电池在JSC方面具有明显优势。显然,它尚未形成统一的最高标准,这可能揭示了 TOPCon 电池需要优化的方向。因此,优化JSC 似乎是获得最先进 TOPCon 电池的关键。
图2. 电池转换效率与 TOPCon电池相关数值变量的关系。密度颜色映射用于直观显示数据点的密度。
设备性能的关键指标不是单一的,而是有多个,它们都有自己的优点和局限性。在图2中,给出了相关数值变量的分布统计,即单个数值特征对电池性能的影响。直观地看,颜色越深表示分布越集中。可以看到所选择的特征对器件的平均效率有显著的影响。大多数最先进的器件的c-Si厚度(CSIT)约为300 μm,这似乎是c-Si基底的合适厚度。对于c-Si电阻率(CSIR)和退火温度(AT),观测结果在很大程度上与普遍的想法一致, CSIR约为1 Ω·cm, AT约为900℃是最常见的,也是合理的选择。掺杂层厚度(DOPT)表现出更分散的分布,高效率电池不局限于特定的区间。对于界面钝化层厚度(IPLT),观察结果有些出乎意料。虽然人们普遍认为1.5 nm左右是理想的,但可以观察到更厚的IPLT带来了效率的提高。这可能是由于内部结构的优化,可以增强表面钝化,同时确保载流子隧穿。
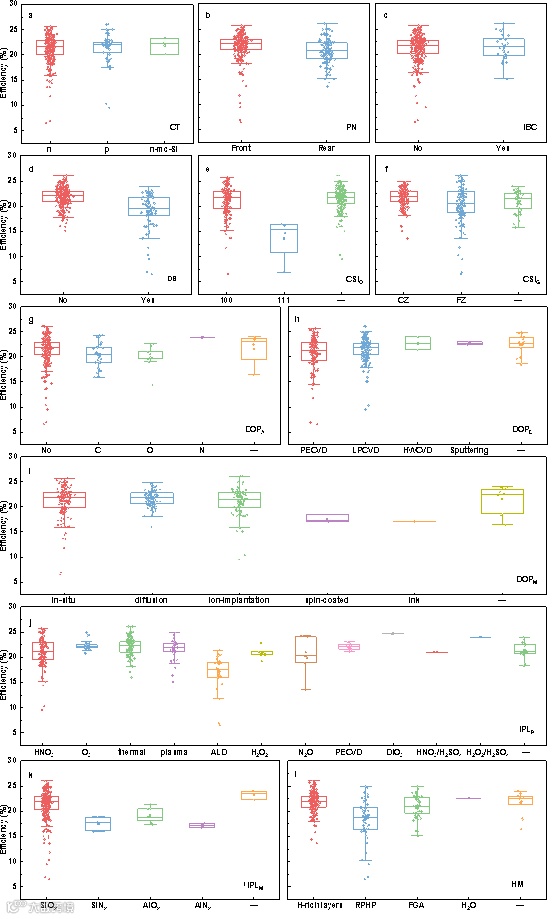
图3. 类别变量与电池转换效率之间关系的箱型图。a, CT。b, PN。c, IBC。d, DS。e, CSIO。f, CSIG。g, DOPA。h, DOPD。i, DOPM。j, IPLP。k, IPLM。l, HM。在方框图的x轴上,"-"表示该数据在文献中没有相关解释。
通过汇总的数据,可以直观地比较类别变量(图3)。例如,通过查看电池类型(CT),可以观察到n型和p型电池之间没有显著差异。从历史上看,n型TOPCon一直是首选,但数据表明,n型和p型电池之间的竞争远未结束。对于电池的结构特征,传统的选择PN结位置(PN)=Front, IBC结构(IBC)=No,双面TOPCon结构(DS)=No表现更好,而其它新的结构设计尽管具有特定的优势,但似乎需要进一步发展。对于c-Si衬底的选择,(100)的c-Si晶向(CSIO)具有明确的优势。对于c-Si晶体生长方法(CSIG),区熔(FZ)似乎表现更好,但成本限制了其通用性。掺杂层额外掺杂(DOPA)的一个技术上吸引人的方面是带隙的可调性。
这里的挑战是在不牺牲其它特性的情况下提高光学响应,即电学和钝化特性,从而提高最终效率。对于掺杂层沉积方法(DOPD), PECVD或LPCVD一直是学术界和工业界有争议的选择,两者的发展齐头并进。掺杂层掺杂方法(DOPM)的选择更加多样,没有一种表现优于其它方法。与器件性能相关的另一个关键方面是氧化物层相关参数。热硝酸法和热氧化仍然是界面钝化层制备方法(IPLP)中最常用的方法,代表了当前最先进的技术。至于界面钝化层本身的材料选择,到目前为止还没有出现比SiOx更好的材料。大多数器件都是用沉积富氢层作为氢化方法(HM)制备的。通过单独观察每个参数,可以合理地假设通过调整工艺制造出更好的器件。这种类型的分析可以帮助规避主观假设,并从实际数据中获得准确的判断。
图4. 显示特征分布的桑基图。向右延伸的分支宽度与数据流的大小相对应。
特征空间的多样性,以及围绕这些特征的研究是如何聚集的,可以用图4所示的Sankey图进行说明。这突出了TOPCon太阳电池制备过程中复杂多样的信息过程,并阐明了不同特征选择聚集在一起的方式,清楚地显示了最主要和最完整的技术路线。尽管有大量的多样性,但还是有一些标准化的架构。这也暗示,即使仅限于已经测试过的程序,也有一个巨大的未开发参数空间,可能容纳高性能器件。
图5. 设备性能与影响因素之间的关系。电池性能因变量与数值自变量之间的相关性热图。正相关和负相关用不同的颜色表示,正方形的大小和 "*"的数量表示相关的强度。
在图5中,使用相关性热图分析了数值特征与因变量VOC、JSC、FF和效率之间的相关性。可以看到电池的转换效率与VOC、JSC和FF密切相关。VOC和FF也表现出很强的相关性,这是符合逻辑的,因为理想二极管情况下的FF完全由VOC决定。虽然也是高度相关,但JSC与VOC和FF的相关性较弱。这说明需要寻找同时提高VOC和JSC的策略的重要性。
图6. 预测TOPCon电池性能的不同模型。a-c,使用不同模型预测效率的结果:Lasso, RF和NN。图中显示了测试集中的所有数据,横轴表示特定器件参数的实际值,纵轴表示该参数的训练预测结果。理想情况下,数据应该位于一条完美的对角线(虚线)上。其中红线表示数据点的线性拟合,深粉色和浅粉色区域分别代表95%置信带和95%预测带。
在图6中使用了不同的算法对电池性能进行建模。剔除低性能数据(<20%)以减少数据集中的噪声。数据采用Lasso回归(Lasso)、随机森林(RF)和神经网络(NN)进行拟合。RF算法提供了最佳的拟合,即使预测能力还未达到最佳状态,然而它足以作为一种初步的探索性工具,用于估计使用不同排列和特征组合的电池可能的性能,这是有价值的,因为只有少数可能的组合已经在实验中进行了尝试。事实上,大多数实验只是跟随别人的脚步。随着数据的增加,可以预计这种方法的预测能力会增加。
图7. 基于RF模型建立的特征重要性,描述不同特征与TOPCon太阳电池光伏性能之间的关系。a, VOC。b, JSC。c, FF。b,效率。数值越大表示特征的重要性越高。
在RF模型的基础上,对特征重要性进行了估计,可以在一定程度上辅助特征的过滤,从而提高了模型的鲁棒性。电池优化常常受到单一光伏参数瓶颈的限制。例如,在产生低VOC电池的过程中,知道开始修改哪些特征最有可能导致突破,这是有价值的。从RF模型中提取特征重要性可以看作是从生成的多个决策树中选择最优特征(图7)。越大的值表示特征的重要性越高。量化了效率、VOC、JSC和FF模型的特征重要性,并对特征进行了排序,以可视化其重要性。
图8. SHAP值显示不同特征对TOPCon太阳电池光伏性能的影响。SHAP绝对值越高,特征对模型输出的影响越大。y轴表示不同的特征,颜色表示不同特征的低到高值,蓝色表示低值,红色表示高值。
SHAP是一种可解释的人工智能框架,可用于揭示决策过程并量化特征与结果之间的相关性。对RF模型进行SHAP分析,可以得到基于SHAP值的特征重要性由高到低的排序结果(图8)。由于计算原理不同,基于SHAP值的特征重要性可能与基于RF的特征重要性不同,但在这种情况下,两种方法在很大程度上重叠。在本研究中,我们使用了17个与TOPCon结构直接相关的特征。在未来的研究中,可能会有更多、更少或其它可能影响模型性能和复杂性的特征。
图9. TOPCon太阳电池最优光伏参数搜索决策树模型。每个步骤的阈值在方框中可见,较深的填充颜色表示更好的搜索结果。Num和MSE分别表示类中的电池数和均方误差。
为了确定影响高效电池的关键特征,并构建一些启发式方法,进行了决策树分析,这可以被看作是一种特征选择,它可以将模型的复杂性降低,从而揭示出一个定向优化的决策过程。图9显示了为提高TOPCon电池性能而构建的决策树。例如,从效率决策树来看,当CSIR≤1.45 Ω·cm, CSIT>270 μm时,电池平均效率最高,为25.737%。当CSIR处于(1.45-7.75) Ω·cm区间时,平均电池效率仅为21.906%。知道中间效率的标准在实践中是没有帮助的,因为人们通常需要知道要遵循的指导方针或启发式来实现高性能或避免低性能。原始的复杂参数设置经过剪枝过程(泛化过程)得到简化的子树。
图10. 传统的研究流程以及 ML 建模如何利用现有的小型数据集加速研究进程的示意图。
传统的研究过程主要基于试错法,效率低,周期长,难以获得最优的目标选择。在此,通过ML助力了TOPCon电池的优化设计,如图10所示。从文献中提取数据构建数据集,然后通过一系列数据分析方式对数据进行处理,最后通过ML获得了一系列启发式的结论,这些结论往往通过其它方法难以获取。
[结论展望]
该研究提供了两个特征,可以加强对TOPCon太阳电池技术的实验研究和理论评估:(1)编译了来自131篇论文的405个设备的数据集;(2)基于该数据集获得了一系列关于电池性能的规则和优化启发式结论。数据稀缺仍然是释放ML全部潜力的限制因素,但为该项目收集的数据仍然提供了有价值的信息和新的见解,例如关键特征的重要性排名和高效电池的“秘诀”。基于经验的主观判断和定量数值标准验证了其可靠性。与试错法相比,这种数据驱动的方法有可能加快实验过程。作为一种数据驱动的方法,数据的数量和质量直接影响ML的准确性。加快材料数据库的建设对于未来ML的发展至关重要。在此,主张在文献中详细描述电池制备过程,而不是简单地描述获得了更好的结果,并希望该项目能够在TOPCon社区中激发更好的数据管理和数据共享文化。该研究的意义在于进行了ML与TOPCon太阳电池结合的初步探索,可以为进一步的实验研究提供灵感。
文 章 链 接
Jiakai Zhou, T. Jesper Jacobsson, Zhi Wang, Qian Huang, Xiaodan Zhang, Ying Zhao, Guofu Hou, Data-driven tunnel oxide passivated contact solar cell performance analysis using machine learning, 2024, Advanced Materials.
https://doi.org/10.1002/adma.202309351
研 究 团 队 介 绍
本研究组是南开大学光电子薄膜器件与技术研究所和光伏材料与电池全国重点实验室的主要研究团队之一。经过十余年的建设与发展,现已拥有一支团结勤奋、结构合理、高水平的研究队伍。主要从事新型高效光电转换材料与器件的设计、制备、表征及性能优化提高方面的研究。目前工作重点是新型高效晶体硅异质结太阳电池(TOPCon、SHJ、POLO、DASH)的性能提高及产业化应用。对于TOPCon太阳电池,近年来的研究成果主要包括:https://doi.org/10.1002/aenm.202300201;https://doi.org/10.1016/j.nanoen.2022.107319;https://doi.org/10.1016/j.solmat.2022.111865。
欢迎联系交流:Email: gfhou@nankai.edu.cn。
添加官方微信 进群交流
SCI二氧化碳互助群
SCI催化材料交流群
SCI钠离子电池交流群
SCI离子交换膜经验交流群
SCI燃料电池交流群
SCI超级电容器交流群
SCI水系锌电池交流群
SCI水电解互助群
SCI气体扩散层经验交流群
备注【姓名-机构-研究方向】
投稿请联系contact@scimaterials.cn
点分享
点赞支持
点在看

