文 章 信 息
原子精确的Cu41团簇作为模型催化剂:暴露的金属位点很重要
第一作者:孙靖,汤雄凯,闫晓丹
通讯作者:沈慧*,贺进禄*
单位:内蒙古大学
研 究 背 景
虽然暴露的金属活性位点通常被认为是金属纳米催化剂的真正活性物种,但对这些活性位点的原子级研究仍然是一个长期的挑战。由于金属纳米催化剂表面配位化学的高度复杂性,现代表征技术很难辨别出这些数量有限的真实活性位点。为此,具有明确组成和精确分子结构的配体保护的金属纳米团簇可以作为识别真正活性位点的模型系统。尽管前人在这方面的工作取得了一些进展,但金属纳米团簇的活性位点还是通过间接光谱证据或DFT模拟来推断的。因此,这些研究与真正所需的理想模型相去甚远。
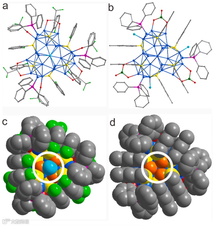
近日,在前期工作基础上(ACS Materials Lett. 2024, 6, 281;Chem. Mater., 2023, 35, 6123;Chem. Mater., 2023, 35, 7588;Inorg. Chem. Front., 2023, 10, 2618;Inorg. Chem. Front., 2023, 10, 5745;Nanoscale, 2023, 15, 2316;Nanoscale, 2023, 15, 17818;iScience, 2023, 26, 107850 ;Inorg. Chem., 2023, 62, 5088;Inorg. Chem., 2023, 62, 9005),内蒙古大学沈慧课题组通过对具有相同结构的新型Cu41纳米团簇的比较,直接观察到暴露的金属位点对金属纳米团簇的促进作用。该工作详细研究了[Cu41Cl2(2-FC6H4S)12(CF3COO)6(PPh3)6H19]2-(1H)和[Cu41(2,5-di-Methyl-C6H3S)12(BO3)3Cl3(PPh3)6H19] (2H)两个纳米团簇的合成、原子结构、电子结构和催化性能。两个团簇均呈现核壳结构,具有相同的金属内核。然而,这两个簇的配体略有不同,1H表面的Cu位点被氯原子覆盖,而2H表面的Cu位点则完全暴露。因此,2H在催化加氢反应中表现出比1H高得多的活性。
文 章 简 介
近日,内蒙古大学沈慧教授在国际著名期刊Next Materials 上发表题为“Atomically precise Cu41clusters as model catalysts: Open metal sites matter”的研究论文。在这项工作中,作者制备了一对具有相同内核的铜纳米团簇,即[Cu41Cl2(2-FC6H4S)12(CF3COO)6(PPh3)6H19]2-(1H)和[Cu41(2,5-di-Methyl-C6H3S)12(BO3)3Cl3(PPh3)6H19] (2H),这两种Cu41团簇的主要区别在于表面是否存在阻挡金属活性位点的Cl原子,具有更多暴露金属活性位点的2H在催化加氢反应中表现出比1H高得多的活性(速率常数增加6倍)。因此,这项工作不仅代表了一种直接可视化金属纳米团簇的真实活性位点的模式系统,而且清晰的提供了暴露的金属活性位点与控制催化剂对催化反应性能有直接联系的原子级证据。
本 文 要 点
要点一:Cu41团簇的合成与结构
这两个团簇都是在空气中通过NaBH4还原铜盐制备。如图1所示,1H和2H的主要区别在于Cu3表面的顶部和底部是否有两个额外的氯原子。团簇上暴露位点的存在与否与表面配体高度相关。在这项工作中,Cu41簇的表面分别被2-氟噻吩和2,5-二甲基苯硫酚稳定。由于空间效应不同,2,5-二甲基苯硫酚比2-氟噻吩具有更大的空间需求。也就是说,2,5-二甲基苯硫酚保护的Cu41簇(2H)上氯原子的配位比2-氟噻吩保护的簇(1H)要困难得多。
由于两个团簇具有相似的几何结构,该文仅仅解剖的是1H的结构。1H的整体结构如图1所示,为三角形结构。1H由Cu29核心和表面有机配体组成。Cu29核心由三个高度扭曲的Cu13二十面体组,Cu13包含14个三角形和3个四边形(图2)。Cu13通过共享矩形以循环方式组装,让人想起之前在Au-Ag纳米团簇中观察到的“cluster of clusters”。值得注意的是,这种Cu13基元组装的生长模式首次在Cu纳米团簇中被观察到,这表明铜团簇中普遍存在的组装复杂性。
图1 Cu41团簇的整体结构图
图2 Cu41(1H)团簇的结构剖析图
要点二:暴露金属活性位点对催化剂性能的影响
暴露在金属纳米催化剂表面的金属位点是驱动化学反应的关键。两个结构相似的Cu41簇具有不同的表面结构,它们是研究开放金属位点与催化性能关系的模型体系。作者以对硝基苯酚(p-NP)催化还原为模型反应,探究了两个团簇的催化活性。如图3所示, 1H在催化反应中不具有活性。相比之下,2H表现出更高的活性,p-NP特征峰强度衰减非常快,在21 min内消失。1H和2H的表观速率常数(k)分别计算为0.028 and 0.175 min-1。ln(Ct/C0)随时间的线性关系表明反应服从一级动力学,符合Langmuir-Hinshelwood模型的反应机制。这表明p-NP首先在团簇表面被吸附,然后被转化。2H具有更多暴露的金属活性位点,更有利于底物的吸附。这项研究清楚地证明了暴露的金属活性位点对金属纳米颗粒催化剂催化活性的重要影响。
图3 Cu41团簇催化对硝基苯酚还原反应
文 章 链 接
Atomically precise Cu41clusters as model catalysts: Open metal sites matter
https://www.sciencedirect.com/science/article/pii/S2949822823000916
添加官方微信 进群交流
SCI二氧化碳互助群
SCI催化材料交流群
SCI钠离子电池交流群
SCI离子交换膜经验交流群
SCI燃料电池交流群
SCI超级电容器交流群
SCI水系锌电池交流群
SCI水电解互助群
SCI气体扩散层经验交流群
备注【姓名-机构-研究方向】
投稿请联系contact@scimaterials.cn
点分享
点赞支持
点在看

