文 章 信 息
富氧空位柔性Ce掺杂WO3纳米线阵列应用于软封装非对称超级电容器
第一作者:李宜泽
通讯作者:周卫强*,潘勤学*,徐景坤*
单位:江西科技师范大学,北京理工大学
研 究 背 景
随着化石能源的大量消耗,许多研究人员正在研究清洁可再生的绿色能源和储能转换装置。超级电容器(SCs)因其充放电快、可逆性好、工作温度极限宽、功率密度高等优点,已成为新一代储能器件的理想选择。然而,SCs的低能量密度严重阻碍了其在商业领域的发展。电极材料作为SCs的重要组成部分,对其性能至关重要。因此,开发高性能电极材料已成为迫切需要解决的问题。具有较高理论比电容的过渡金属氧化物(TMOs,如Co3O4、RuO2、WO3等)被认为是开发具有优异性能的SCs的主要材料之一。近年来,在TMOs中,具有赝电容行为的WO3作为阳极材料因其激发特性和功能而备受关注,WO3具有较高的理论电容、结构多样性、丰富的价态以及容易引入氧空位等优点,是潜在的阳极候选材料。然而,由于其电子导电性低和结构不稳定,阻碍了其在电极材料中的应用。
原子掺杂是通过调整WO3的电子结构来提高其电化学性能、提高内部电导率和加速反应动力学的有效策略。稀土元素具有特殊的4f外电子构型,离子半径大,电负性小,少量稀土掺杂到主体材料中可以赋予材料新的性能。作为一种典型的稀土元素,铈(Ce)作为掺杂物在储能领域有着突出的应用。基于以往的研究,我们提出在WO3中掺杂Ce有望改善其固有电导率,增强其离子传输能力、结构稳定性和电容性能。目前,关于Ce掺杂WO3的研究主要涉及用于催化、传感和电致变色的纳米颗粒和纳米棒,而对于Ce掺杂WO3纳米结构阵列的储能研究尚缺乏系统的研究。
文 章 简 介
近日,来自江西科技师范大学的周卫强教授与北京理工大学的潘勤学教授合作,在国际期刊Applied Surface Science上发表题为“Flexible Ce-doped WO3nanowire arrays with enriched oxygen vacancies for soft-packaged asymmetric supercapacitor”的观点文章。该观点文章合理构建了Ce掺杂WO3纳米线阵列电极,探索其结构与性能之间的关系,对高性能超级电容器的发展起到极其重要的作用。
图 文 分 析
核 心 内 容
图1 WO3(a, b)和Ce1.5%-WO3(c, d)的SEM图像;Ce1.5%-WO3的能谱图(e-h);WO3(i, j)和Ce1.5%-WO3(k, l)的TEM和HR-TEM图像;WO3(j: 插图)和Ce1.5%-WO3(l: 插图)的SAED
图1中未掺杂的WO3表现出纳米线的结构特征,在WO3中掺杂Ce后,WO3变得更加致密。此外,EDS显示,这三种元素在样品中分布均匀。WO3和Ce1.5%-WO3的TEM图像显示出相似的纳米线结构,,且Ce掺杂WO3呈现更大的晶面间距,与未掺杂的WO3相比,检测到更多的非晶态特征。此外,选择区域电子衍射(SAED)揭示了材料的多晶环状图案。
图2 WO3和Ce1.5%-WO3的XRD谱图(a)、IR谱图(b)、Raman谱图(c)和EPR谱图(d)
图2,Ce1.5%-WO3的XRD谱图与未掺杂WO3的结构保持一致,没有出现与氧化铈或其他杂质相关的明显峰。在WO3中引入Ce后,红外波段明显变宽。Ce掺杂WO3的部分拉曼峰位置发生位移,这可能是由于Ce离子占据了WO3中的取代位。Ce1.5%-WO3的EPR峰强度高于WO3,这不仅表明Ce1.5%-WO3中产生了更多的单电子,有效地增加了氧空位的含量,而且非常有利于产生更高的电导率,以上表征均证明Ce成功掺杂到WO3的主晶格中。
图3 WO3和Ce1.5%-WO3的XPS光谱(a)、高分辨率W4f (b)、O1s (c)和Ce3d (d)
图3a显示了样品的总能谱,可以发现制备的WO3中含有W和O元素,而Ce1.5%-WO3除含有W和O元素外,还含有微量Ce。图3b,W5+/W6+的比值从14% (WO3)增加到23% (Ce1.5%-WO3),说明Ce掺杂后样品中W5+的含量越高。图3c, Ce1.5%-WO3的氧空位含量为18.2%,高于未掺杂WO3的氧空位含量(14.8%)。Ce1.5%-WO3的Ce高分辨率光谱如图3d所示。Ce 3d轨道能谱可解卷积成10个峰,Ce1.5%-WO3中的Ce以Ce3+和Ce4+的形式存在,这是材料制备过程中不可避免的氧空位造成的。
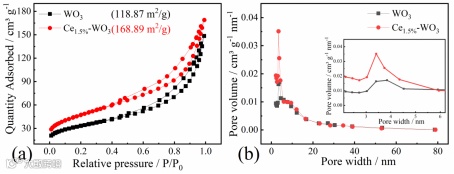
图4 WO3和Ce1.5%-WO3的N2吸附-解吸等温线(a)和孔径分布(b)
图4为WO3和Ce1.5%-WO3的N2吸附/解吸等温线。图4a,当P/P0大于0.4时,WO3和Ce1.5%-WO3均呈现ⅳ型N2吸附等温线和H3滞回线。Ce1.5%-WO3的比表面积大于WO3的比表面积。图4b,主要峰集中在3 ~ 16 nm处,掺杂后仍以介孔吸附为主,其中Ce掺杂WO3的吸附峰更为显著。因此,Ce掺杂WO3的大比表面积和孔体积有利于电解质离子的电化学可及性,提高超级电容器的性能。
图5 基于Ce1.5%-WO3//P5-ICA的PVA/H2SO4凝胶电解质柔性全固态ASC的电化学性能:(a) 20 mV s-1下不同电压窗下的CV曲线,(b) 1 A g-1下不同电压窗下的GCD曲线,(c)不同扫描速率下的CV曲线,(d)不同电流密度下的GCD曲线,(e) Nyquist图,(f) Ragone图,(g)柔性ASC原理图,(h)照明定时和LED数字照片
组装了全固态软封装ASC以评价了Ce1.5%-WO3纳米线阵列电极的实际应用。在20 mV s-1下0 ~ 1.7 V电压窗口时,全固态ASC可以达到1.7 V的工作电压。在1 A g-1下测量了不同的电压窗,1.7 V的高压下,全固态ASC具有良好的可逆性,整个电压窗的GCD曲线的曲率与CV曲线的曲率相似,这也证实了电极材料的伪电容特性。Nyquist图说明系统具有较低的内阻和理想的电容特性。全固态ASC的能量密度为30.9 Wh kg-1时,功率密度高达850 W kg-1,组装了柔性全固态软封装ASC,作为柔性电源,串联的两个全固态软封装ASC成功点亮了定时器和发光二极管(LED),表明组装的ASC具有良好的储能能力。
总 结
采用简单的水热法制备了一种柔性Ce掺杂WO3纳米线阵列电极。表征结果表明,Ce成功进入WO3。Ce掺杂的WO3具有更多的氧空位和更多的氧化还原活性位点。电化学测试表明,Ce掺杂对WO3的电容有显著影响。在4 A g-1时,柔性Ce1.5%-WO3纳米线阵列电极的比电容可达493 F g-1。组装的Ce1.5%-WO3//P5-ICA器件在功率密度为700 W kg-1时,能量密度为31.7 Wh kg-1。同时,组装的全固态ASC在850 W kg-1的功率密度下具有30.9 Wh kg-1的能量密度。此外,两个全固态软封装ASC串联照亮led和定时器。这些结果表明柔性Ce1.5%-WO3纳米线阵列电极在未来储能器件中的潜在应用。
文 章 链 接
Flexible Ce-doped WO3nanowire arrays with enriched oxygen vacancies for soft-packaged asymmetric supercapacitor
DOI: 10.1016/j.apsusc.2024.159616
通 讯 作 者 简 介
周卫强,入选江西省主要学科学术和技术带头人培养计划一领军人才(2020年)、江西省杰出青年人才培养计划(2017年)等人才项目。主要从事柔性二维复合材料的构筑及其超级电容器件研究。主持国家自然科学基金3项(面上项目1项)、省科技厅项目5项(重点项目3项)、省教育厅科技重点项目2项,授权美国发明专利1项(US8848319)、中国发明专利10顶。在Advanced Energy Materials, ACS Applied Materials Interfaces, Journal of Power Sources等期刊发表SCI论文76篇,他引2000余次,H因子27。获省教育厅高等学校科技成果奖一等奖2项、二等奖1项,研究生教学成果奖2项,省自然科学三等奖1项。指导硕士研究生16名,其中6人获得硕士研究生国家奖学金,1人获得省政府奖学金;13名毕业生中,有10名考取了985高校博士研究生,3人进入企事业单位工作。
添加官方微信 进群交流
SCI二氧化碳互助群
SCI催化材料交流群
SCI钠离子电池交流群
SCI离子交换膜经验交流群
SCI燃料电池交流群
SCI超级电容器交流群
SCI水系锌电池交流群
SCI水电解互助群
SCI气体扩散层经验交流群
备注【姓名-机构-研究方向】
投稿请联系contact@scimaterials.cn
点分享
点赞支持
点在看

