文 章 信 息
高效储钾的多元金属硫系Bi0.4Sb1.6Te3纳米晶体的合理设计
第一作者:张龙海、柳佳图、翟云明、张仕林
通讯作者:张朝峰
单位:安徽大学、阿德莱德大学、隆德大学
研 究 背 景
由于钾资源的低成本和丰富储量,钾离子电池(PIBs)最近成为锂离子电池(LIBs)的潜在替代品。然而,与Li+(0.076nm)相比,K离子的较大离子半径(0.138nm)可能对其嵌入构成挑战,导致在钾化过程中以较慢的动力学进行大量体积膨胀。尽管在储能材料开发方面不断努力和进步,但仍迫切需要既能提供令人满意的容量又能提供稳定性的可行PIBs负极材料。在各种已报道的负极材料中,碲化物具有独特的离子转移动力学、安全的电势平台以及涉及转化和合金化的多种电化学反应等优势而引起了重大的研究兴趣。然而,金属碲化物有一定的局限性,包括固有的半导体性质、可能的结构变化/粉碎以及不明确的钾储存机制。开发具有长期循环和高速率容量保持的碲化物具有挑战性。
文 章 简 介
近日,安徽大学张朝峰教授课题组开发了Bi0.4Sb1.6Te3/石墨烯复合材料负极应用于钾离子电池。该文以“Rational Design of Multinary Metal Chalcogenide Bi0.4Sb1.6Te3 Nanocrystals for Efficient PotassiumStorage”为题,发表在Advanced Materials上,安徽大学张龙海、翟云明、隆德大学柳佳图和阿德莱德大学张仕林为共同一作。
本 文 要 点
要点一:负极材料的结构设计
具有层状晶体结构特征的碲化双金属材料的合成,多种转化/合金成分(Bi、Sb和Te)和结构赋予复合材料高的储钾能力、增强的K+动力学和有限的体积膨胀。
要点二:存储机制研究
在原子水平上,全面且深入分析了材料的储钾机制,原位透射电镜揭示了材料体积形变的动态过程,原位同步辐射衍射图、原位拉曼光谱、非原位吸附光谱和X射线光电子能谱揭示了其双重转化/合金化机制。
图1 a) Bi0.4Sb1.6Te3/石墨烯的STEM-EDS元素图谱。b) Bi0.4Sb1.6Te3和Bi0.4Sb1.6Te3/石墨烯材料的XRD图谱。c) Bi0.4Sb1.6Te3材料的晶体结构。d-h)Bi0.4Sb1.6Te3/石墨烯在不同放大倍数和取向下的原子尺度HAADF-STEM图像,以及i)相应的EDS元素映射。
图2:a) Bi0.4Sb1.6Te3和Bi0.4Sb1.6Te3/石墨烯材料的拉曼光谱。Bi0.4Sb1.6Te3和Bi0.4Sb1.6Te3/石墨烯的XAS光谱。分别在b)Bi L3边缘和c)Sb K边缘的归一化XANES光谱(插图显示了放大的光谱)。绘制在R空间中的d)Bi L3边缘和e)Sb K边缘的EXAFS光谱。f)Bi0.4Sb1.6Te3/石墨烯在R空间中Bi—L3边和Sb—K边的EXAFS拟合。
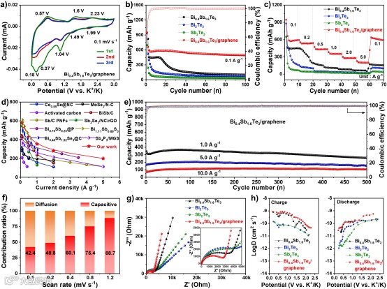
图3 a) Bi0.4Sb1.6Te3/石墨烯在0.1 mV s−1扫描速率下的CV曲线。b) 电流密度为0.1 A g−1时的循环性能。c) 倍率性能。d) Bi0.4Sb1.6Te3/石墨烯与先前报道的负极材料的倍率性能比较。e) 长期循环性能。f) Bi0.4Sb1.6Te3/石墨烯负极的动力学分析。g) Bi0.4Sb1.6Te3/石墨烯、Bi0.4Sb1.6Te3、Bi2Te3和Sb2Te3的EIS图。h) K+根据GITT电势分布计算的K离子扩散系数,分别作为放电深度(DOD)和充电状态(SOC)的函数。
图4 a-d)在钾化过程中Bi0.4Sb1.6Te3/石墨烯的原位TEM图像。e-g)放电产物的晶格轮廓。h、 i)在钾化过程中Bi0.4Sb1.6Te3负极的原位TEM图像。j) Bi0.4Sb1.6Te3石墨烯和原始Bi0.4Sb1.6Te3的体积膨胀与先前PIBs工作的比较。k-m)完全脱钾后Bi0.4Sb1.6Te3/石墨烯的HRTEM图像(插图显示了相应的SAED图案)。
图5 DFT计算。K离子吸附/扩散特性,包括a,c)Bi0.4Sb1.6Te3和b,d)Bi0.4Sb1.6Te3/石墨烯的优化结构配置、电荷密度差、扩散势垒和迁移途径。e)Bi0.4Sb1.6Te3/石墨烯,f)Bi0.4Sb1.6Te3,g)Sb2Te3和Bi2Te3的总态密度和部分态密度。
图6 a) Bi0.4Sb1.6Te3/石墨烯电极在第一次放电/充电过程中的充放电电压分布,以及不同2θ范围内的相应操作同步加速器XRD轮廓图:b)8.90-9.15°,c)14.4-14.6°,d)16.0-16.5°,e)6.5-16.9°,f)18.02-18.12°,g)23.8-23.9°和h)27.17-27.25°。i) Bi0.4Sb1.6Te3/石墨烯电极的储钾机制示意图。j) Bi0.4Sb1.6Te3/石墨烯电极在第一次放电/充电过程中的原位拉曼光谱的等高线图。
图7 a) Bi0.4Sb1.6Te3/石墨烯电极在不同钾化/去钾化状态下的Bi L3边缘和b)Sb K边缘光谱,以及c,d)在R空间中绘制的相应EXAFS光谱。e) Bi0.4Sb1.6Te3/石墨烯//KPB全电池在0.1 A g−1下的循环性能。
文 章 链 接
Rational Design of Multinary Metal Chalcogenide Bi0.4Sb1.6Te3Nanocrystals for Efficient Potassium Storage
https://doi.org/10.1002/adma.202313835
通 讯 作 者 简 介
张朝峰,安徽大学教授,博士生导师,安徽省杰出青年基金获得者,安徽省莱布尼兹材料科学国际联合研究中心副主任。长期从事新型先进储能器件、关键材料和技术的基础应用研究,在Adv. Mater., Energy Environ. Sci., Adv. Energy Mater. 等国际知名期刊上发表论文 100 多篇;Adv. Funct. Mater.特刊编辑、eScience, Chin. Chem. Lett., Mater. Today Energy青年编委。
添加官方微信 进群交流
SCI二氧化碳互助群
SCI催化材料交流群
SCI钠离子电池交流群
SCI离子交换膜经验交流群
SCI燃料电池交流群
SCI超级电容器交流群
SCI水系锌电池交流群
SCI水电解互助群
SCI气体扩散层经验交流群
备注【姓名-机构-研究方向】
投稿请联系contact@scimaterials.cn
点分享
点赞支持
点在看

