研 究 背 景
锂离子电池(LIBs)已经成为普遍存在于便携式电子设备和电动汽车(EVs)中的主流储能技术。尽管LIBs得到了广泛的应用和相关的优势,但它们在循环稳定性、安全性和快速充电能力方面仍面临着显著的挑战。这些挑战主要源于石墨负极上固体电解质界面相(SEI)层的形成,石墨是商业LIBs的主要负极材料,因为其具有成本效益和低电位(~0.1 V vs. Li/Li+)用于锂的嵌入/脱出反应。SEI是由负极/电解质界面处电解质组分的不可逆分解形成的,是维持负极的电化学稳定性和防止过度电解质消耗的关键组成部分。此外,SEI层还促进了锂离子在界面上的传输。然而,不理想的SEI层对石墨负极会产生负面影响。这主要有两个原因。首先,由于电解质/电极界面的润湿性差,SEI可能无法完全覆盖石墨。其次,SEI的组分可能不稳定。这两种现象都会导致锂离子的不均匀输运,充放电循环过程中SEI的反复重构,锂不可逆地损失,以及界面电阻的增加。这些缺点显著影响了电池的循环寿命、快速充电能力,同时可能带来的安全风险,如枝晶形成和火灾危险。因此,调控和优化石墨负极上的SEI层对于提高LIBs的性能和安全性至关重要。而传统的电解质工程方法受到粘度增加、润湿性降低和成本高的限制。
成 果 简 介
近日,上海交通大学万佳雨教授团队和南方科技大学刘科教授、罗光富教授、邓永红教授等合作,提出了一种通用的电池界面工程的分步注液策略,该策略利用二次注液,首先使用超低浓度的超润湿电解质达到实现石墨负极上 SEI 层的均匀且完全覆盖。该电解质在低电流形成过程中会引起较高过电位,从而形成富含无机成分的 SEI 层。因此,采用超湿润电解质的锂离子电池表现出卓越的循环稳定性和 5 C 的高倍率性能(容量为 166 mAh g-1),这一特性在软包电池中也得到了验证。这种分步注液,同时利用低浓度电解质诱导高过电位。相关文章以“Superwettable Electrolyte Engineering for Fast Charging Li-Ion Batteries” 为题发表在《ACS Energy Letters 》(IF: 22.0)期刊上。
内 容 详 情
图1. 不同浓度电解质下石墨电极上SEI层的形成示意图:(a)正常浓度电解质,(b)超低浓度电解质。不同浓度电解质在(c)PE隔膜和(d)石墨片表面的接触角测量。
接触角测试证明超低浓度电解液对聚乙烯隔膜具有极佳润湿性,形成SEI时有利于微观均匀性。1 M电解液表现出较高粘度,与0和0.02 M电解液相比,渗透速率明显较慢。优异的超亲液性有助于确保电池的出色电化学性能。
图2. (a)不同化成模式下LIBs石墨负极中SEI层形成的示意图和(b)不同浓度电解质下SEI层形成的示意图。不同电位下(c)1 M和(d)0 M浓度电解质负极的非原位XRD图。
超亲液性确保SEI均匀性,但想在传统电解液中形成富含无机SEI面临挑战。富含无机组分的SEI具有更高的稳定性,高过电位能够利于无机组分SEI的生成,但在正常浓度的电解液中,大的电位也意味着过大的电流,这可能会导致SEI形成不均匀,这对后续循环是不利的。而化成过程中使用超低浓度电解液可以产生明显的过电势,有利于富含无机组分SEI的形成, 同时又能维持很小的化成电流,保证SEI的均匀性。
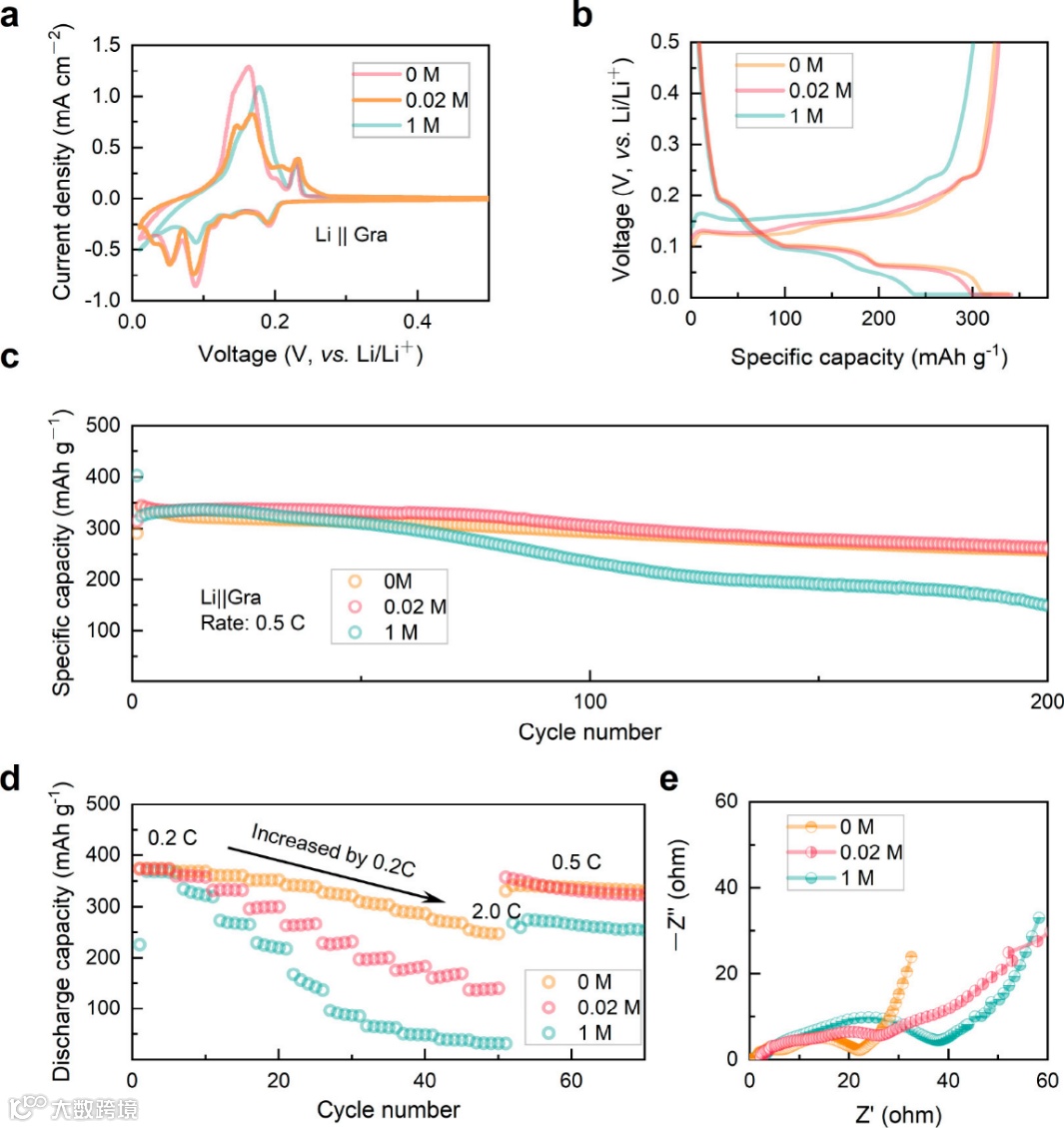
图3. 不同浓度电解质化成的Li||graphite电池的电化学性能。(a)使用0, 0.02, 和1 M电解质化成的Li||graphite半电池的初始循环伏安图。(b)用CC–CV(0.2 C到0.01 C)制式测得的0, 0.02, 和1 M电解质化成电池的初始放电–充电曲线。(c)在0.5 C倍率下半电池的循环性能。(d)半电池的倍率性能。(e)不同浓度电解质化成后循环前电池的Nyquist图。
比较使用超低浓度电解液和常规电解液化成的石墨阳极的电化学性能。结果显示,超低浓度电解液化成的电池表现出更高的循环稳定性,CV曲线和电压曲线验证了化成的充分性和超低浓度电解液化成电池的良好的动力学性能。在0.5 C的循环稳定性测试中,超低浓度电解液化成的电池表现出色,而1 M电解液化成的电池在100个循环后容量急剧下降,仅保持44.7%。快速充电性能测试表明,超低浓度电解液电池在高倍率下表现出更高的比容量,且电化学阻抗谱分析证实其更快的锂化和脱锂动力学。这些发现表明,使用超低浓度电解液有望在锂离子电池中实现更高的性能。
图4. a)0 M,(b)0.02 M,和(c)1 M电解质中化成的循环后石墨负极的SEM。(d)石墨负极的相应O 1s XPS光谱。(e)基于XPS拟合结果的石墨负极上无机组分的含量。(f)石墨负极上EC可能的分解反应。(g)图f中三个反应的吉布斯能量随电位的变化。
进行循环后分析,以了解Li||石墨电池在不同电解液浓度下化成条件的循环性能。图4a-c和图S9中的光学和扫描电子显微镜(SEM)图像描述了经过200次循环后石墨阳极的状态。使用0和0.02 M电解液化成的电极呈均匀的黄色,表明石墨中锂化一致充分;而使用1 M电解液形成的电池呈锂不足的蓝色,中心有明显的锂沉积。石墨阳极的电化学性能主要取决于界面电阻,包括材料(Rct)和SEI界面阻抗RSEI。RSEI受SEI的化学成分影响。为了研究SEI的化学组成,进行X射线光电子能谱(XPS)Ar+溅射深度剖面分析。O 1s谱用于确定SEI中有机物种的组成,通过计算Li2O和C–O含有物种的原子比,确定了不同形成条件下阳极上Li2O和C–O含有物种的原子比。这些观察表明,使用超低浓度电解液化成有利于在石墨表面形成富含无机成分的SEI,从而提高电池的稳定性。
图5. 不同浓度电解质下室温下石墨||NCM811全电池的比较电化学性能。(a)0, 0.02, 和1 M电解质下的形成曲线。(b)在0, 0.02, 和1 M电解质化成后在0.2 C倍率下的充放电曲线。全电池的(c)倍率性能和(d)1 C倍率循环性能。(e)全电池在4 C充电倍率下的循环性能。
通过对全电池进行长周期循环测试,发现使用0和0.02 M浓度的电解液化成的电池在2.5 - 4.25 V范围内表现出更高的初容量,分别为201和190 mAh g–1,并在300个循环后分别保持在76.6%和75.6%。相反,1 M浓度电解液的电池表现出较低的初始容量和66.1%的保持率。通过Nyquist图和SEI电阻变化分析,证明了低浓度电解液化成的电池SEI电阻较低,对4 C快速充电的适应性更好。此外,使用超低浓度电解液的电池在300个循环后仍然保持了89%的比容量,而1 M电解液的电池则仅为128 mAh g–1。循环后SEM图像显示,超低浓度电解液化成的石墨阳极形态良好,无析锂现象,而1 M电解液则存在析锂现象。这一研究为锂离子电池性能优化提供了有益信息。
文 章 链 接
Superwettable Electrolyte Engineering for Fast Charging Li-Ion Batteries
https://pubs.acs.org/doi/full/10.1021/acsenergylett.3c02572
作 者 简 介
万佳雨
上海交通大学溥渊未来技术学院副教授,博士生导师。于2016-2021年在美国斯坦福大学进行博士后研究,合作导师为美国科学院院士Yi Cui教授与中国科学院、美国工程院等三院院士Zhenan Bao教授。2016年在美国马里兰大学获得博士学位,师从马里兰大学冠名讲席教授Liangbing Hu;2011年本科毕业于华中科技大学。研究方向主要为储能材料与器件、先进制造等。到目前为止,已在能源和材料领域的国际著名学术期刊如Science, Nature Nanotechnology, Nature Energy, Nature Water, Nature Comm等发表SCI论文80余篇,总被引用超过11000次,H因子48。研究成果被多家海内外知名媒体撰文报道。曾获得美国真空协会全美博士研究生奖“Dorothy M. and Earl S. Hoffman Award”(全球每年一名)、中国留学基金委颁发的“国家优秀自费留学生奖学金”等。曾担任美国化学学会秋季年会分会场主席、受邀担任中华环保联合会绿色供应链专业委员会特聘专家,以及Materials Today Energy, Carbon Energy, eScience, Sustainable Materials, Rare Metals杂志青年编委。与国内外多所高校同行拥有良好合作关系,受邀在斯坦福大学、美国东北大学、南洋理工大学、香港中文大学等科研院校、国际会议、及平台等做学术报告70余次。
课 题 组 网 站
https://www.x-mol.com/groups/deepenergy
课 题 组 招 聘
一、招聘博士后多名
招聘要求:
1. 具有机械、材料、电子、物理、化学等相关专业理工科博士学位;有固态电池、二次电池、陶瓷材料、电化学、电催化或相关方向研究经验的应聘者择优考虑;
2. 具有扎实的实验理论基础与操作能力,严谨的科学思维与良好科研习惯,较强独立开展科研工作能力和一定的实验室管理经验;
3. 具有良好的英文听说读写能力,并能够独立撰写英文文章;博士期间在国际期刊发表SCI论文者优先考虑;
4. 拥有职业操守,追求上进并有良好的团队协作精神;近期可到岗者优先考虑。
岗位职责:
1. 与课题组成员共同制定研究计划,相对独立地开展课题研究并发表具有国际影响力的研究成果;
2. 协助课题组经费申请,积极以负责人身份依托课题组申请博士后科学基金、国家自然科学基金委青年项目及其他国家、省、市各级课题;
3. 协助指导博士、硕士、本科生;
4. 协助课题组建设和管理。
岗位待遇:
1. 基本年薪不低于30万元(面议,另根据工作表现和研究情况发放绩效奖励);支持申请上海市“超级博士后”计划,获得资助后年薪38万以上;海外博士后待遇面议。
2. 可申请上海交大配套的博士后公寓,子女可上交大幼儿园或附属小学;
3. 按照上海市和上海交通大学的博士后管理政策办理有关落户事宜,享受社会保险、公积金等福利待遇,博士后出站留上海工作,配偶及子女可随迁落户;
4. 其他福利按上海交大规定执行(http://postd.sjtu.edu.cn/index.htm);
5. 如有其他个人要求可面议,待遇从优。
博士后出站前景:
对于优秀的出站博士后将积极推荐协助其申请上海交通大学助理研究员岗位/国内外其他高校与院所科研教学岗位;或推荐赴世界著名大学(如斯坦福大学、加州大学洛杉矶分校、马里兰大学、南洋理工大学等)继续深造。
二、访问学生及学者招聘
课题组长期欢迎访问学生(联合培养)与访问学者加盟。
招聘要求:
1. 具有机械、材料、电子、物理、化学等相关学科背景;有固态电池、二次电池、陶瓷材料、电化学、电催化或相关方向研究经验的应聘者择优考虑;
2. 具有扎实的实验理论基础与操作能力,严谨的科学思维与良好科研习惯,较强独立开展科研工作能力;
3. 具有良好的英文听说读写能力,并能够独立撰写英文文章;发表过SCI论文者优先考虑;
4. 拥有职业操守,追求上进并有良好的团队协作精神。
应聘方式:
应聘者请将个人简历,含学习和工作经历、发表论文、推荐人联系方式、或者其他证明工作能力的材料整合为单个PDF文件,发送至邮箱 wanjy@sjtu.edu.cn。标题为申请职位+姓名+预计到岗时间。申请将严格保密,本招聘广告长期有效,欢迎邮件咨询。
添加官方微信 进群交流
SCI二氧化碳互助群
SCI催化材料交流群
SCI钠离子电池交流群
SCI离子交换膜经验交流群
SCI燃料电池交流群
SCI超级电容器交流群
SCI水系锌电池交流群
SCI水电解互助群
SCI气体扩散层经验交流群
备注【姓名-机构-研究方向】
投稿请联系contact@scimaterials.cn
点分享
点赞支持
点在看

