文 章 信 息
层间距增大的层状金属氧化物纳米片及其电化学去离子性能
第一作者:汪洋,潘钱锋
通讯作者:汪洋,邱介山
研 究 背 景
由于过去十年消费模式和经济发展的快速变化,淡水需求一直在增加。电化学去离子由于其操作简单、环境友好、节能和成本低的优点,已成为极具竞争力的脱盐技术。层状双金属氢氧化物(LDHs)是一类二维层状结构化合物,进一步的热处理可获得高活性表面积的金属氧化物(LMO),同时维持原始层状结构。由于“记忆效应”,LMO在盐溶液中能够再次转变成LDHs。
然而,LDHs/LMO狭窄层间距制约了离子的快速扩散,使得脱盐能力受到极大影响。本文选择十二烷基硫酸钠(SDS)作为插层剂,采用一步水热法将其引入CoAl-LDH层间,并通过适宜的热处理工艺获得CoAl-LMO-SDS,在电化学去离子中表现出优异的综合性能。
文 章 简 介
基于此,天津大学汪洋副教授与北京化工大学邱介山教授合作,在国际顶级学术期刊《Advanced Materials》上发表题为“Layered Metal Oxide Nanosheets with Enhanced Interlayer Space for Electrochemical Deionization”的研究文章。
该文章报道了一种制备钴铝层状金属氧化物纳米片策略,即通过水热反应制备的SDS插层的钴铝层状氢氧化物,并通过适当的热处理工艺得到具有扩大层间距的层状金属氧化物,扩大的层间距提供了快速的离子扩散通道并释放了更多的层间活性位点,热处理则提供了额外的氧化反应位点以提高电脱盐速率,揭示了LDH/LMO基材料层间距对电化学去离子性能的重要性。
图1. 研究方案和电吸附机理
本 文 要 点
要点一:CoAl-LMO基材料的晶体结构和化学组成
SDS插层后,XRD结果显示CoAl-LDH的(003)晶面峰向左偏移,层间距由0.76nm增大至1.33nm(CoAl-LDH-SDS)。XPS结果显示SDS插层导致Co 2p谱峰偏移,Co2+/Co3+比率增大,说明低电荷密度SDS取代CO32-降低了Co元素的氧化程度,改变了LDH主体层Co的成键环境;热处理导致Co 2p谱峰进一步向更高结合能偏移,Co2+/Co3+比率增大,层间CO32-和H2O逸出,主体层板Co3+被还原为Co2+。
图2. CoAl-LDH-SDS/CoAl-LMO-SDS基材料的晶体结构及化学组成。
要点二:电化学脱盐性能及循环稳定性分析
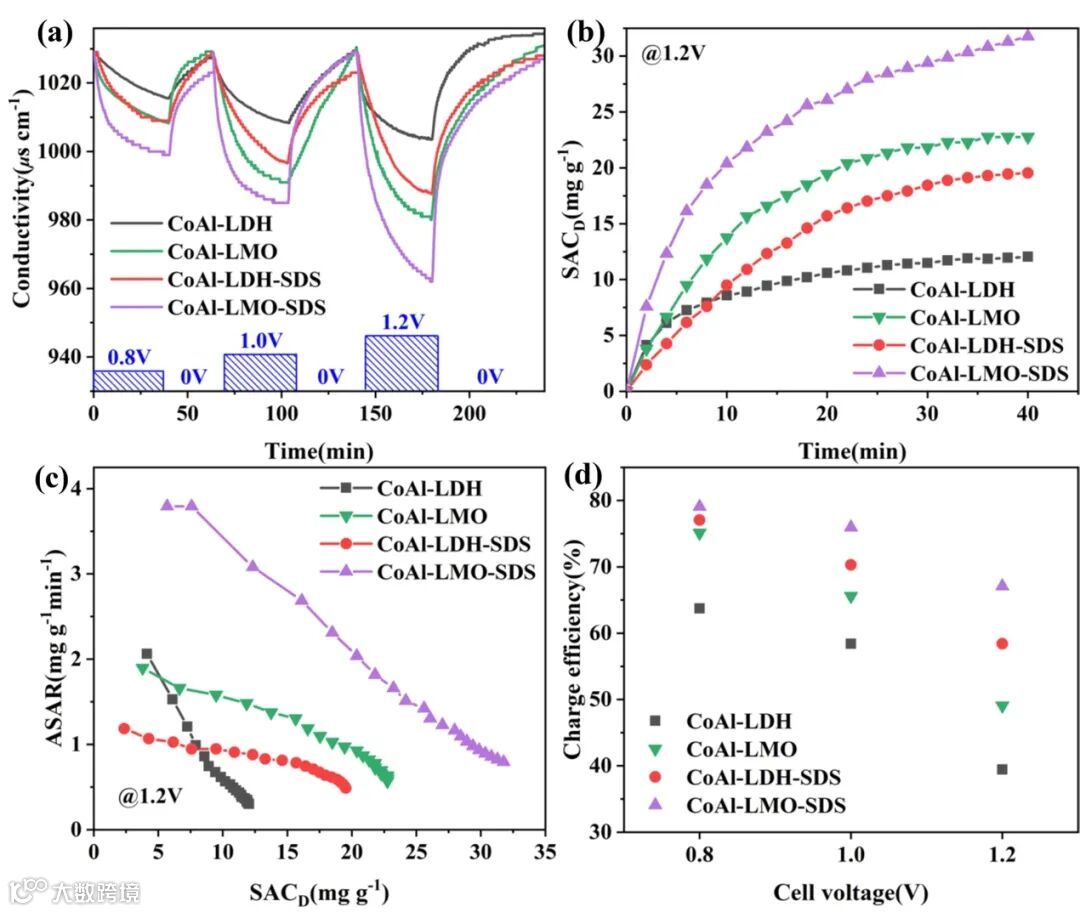
在500 mg L-1 NaCl溶液中CoAl-LMO-SDS表现出最高的SAC(31.78mg g-1,1.2V),这主要由于SDS的嵌入使得层间电吸附位点得到充分利用;由于“记忆效应”,CoAl-LMO-SDS吸附Cl-恢复初始层状氢氧化物结构。此外,CoAl-LMO-SDS在40个循环后,仍具有92.9%的脱盐量保持率。长循环后,Co 2p谱的卫星峰强度变弱,且Co2+/Co3+比率降至0.63,发生了不可逆的氧化还原反应和部分重结晶。
图5. 电导率变化,动态脱盐量变化, Ragone图和不同电压下的电荷效率。
图6. CoAl-LMO-SDS电极的电化学去离子长循环测试及循环前后能谱分析。
要点三:LMO基材料电吸附机制研究
与热处理相比,电吸附后Co 2p谱峰向相反方向偏移且Co2+/Co3+比率降低,表明主体层被氧化。Cl-在静电引力作用下进入层间空间,形成Al-Cl和Co-Cl键,恢复了层状氢氧化物晶体结构。同时,S 2p谱峰与电吸附前一致,表明SDS与主体层键合稳定,展现了优异的循环稳定性。
图7. CoAl-LMO和CoAl-LMO-SDS电吸附前后能谱分析。
要点四:层间离子扩散和吸附的DFT计算
密度泛函理论计算分析了CoAl-LDH层间距调节在离子扩散过程和离子吸附能力中的作用。CoAl-LDH和CoAl-LDH-SDS中Cl-的扩散势垒分别为0.46eV和0.27 eV,表明增大的层间距促进了Cl-的扩散,与优异的电化学性能和快速去离子能力对应;此外,SDS对LDH的结合能始终大于Cl-,即CoAl-LDH对SDS的亲和力更强,有利于保持扩大的层间结构和优异的循环稳定性。
图8. CoAl-LDH和CoAl-LDH-SDS的态密度,扩散能垒,结合能及差分电荷密度。
文 章 链 接
“Layered Metal Oxide Nanosheets with Enhanced Interlayer Space for Electrochemical Deionization”
https://doi.org/10.1002/adma.202210871
通 讯 作 者 简 介
汪洋副教授简介:天津大学化工学院副教授,2017年博士毕业于天津大学,先后在美国威斯康星大学麦迪逊分校、西班牙IMDEA Energy研究所、德国马普所多领域科学研究所联合培养、访问交流。主要从事电化学脱盐技术、低品位能量捕集与利用等研究,先后主持国家自然科学基金面上项目、青年项目、国际合作与交流项目(中欧人才项目)、国家重点研发计划子课题等多项课题,在Adv. Mater., Desalination, Chem. Eng. J等期刊发表论文30余篇。
邱介山教授简介:北京化工大学化学工程学院教授、院长、校学术委员会副主任,国家杰出青年基金获得者,教育部长江学者特聘教授,国务院政府津贴专家,国家“有突出贡献中青年专家”及国家“百千万人才工程”人选。主要从事功能碳材料的合成及应用、煤炭的高效高值精细化利用、能源化工等领域研究。多项技术实现产业化/规模化应用,提升了相关地区和行业的科技水平和实力,创造了良好的经济效益和社会效益。
作为主要起草人之一,完成“煤焦化焦油加工工程设计标准”等国家标准的制定。在国内外学术刊物发表论文800余篇,其中700余篇论文发表在《Nature Mater.》《Adv. Mater.》《Adv. Funct. Mater.》《Adv. Energy Mater.》《Energy Environ. Sci.》《Nature Commun.》《Angew. Chem. Int. Ed.》《J. Am. Chem. Soc.》《Joule》等国际学术刊物上(其中,IF >10刊物论文370余篇,67篇论文被选为国际学术刊物封面),论文被SCI总引43000余次(单篇被SCI引用100次以上论文102篇),h指数101 (Web of Sci.),ESI高被引论文累计80余篇;煤基功能碳材料的研究论文数量(web of sci.),世界第一,引领了煤化学化工学科的前沿发展方向;申请及授权发明专利140余件。
荣获教育部自然科学一等奖、辽宁省自然科学一等奖、中国颗粒学会自然科学一等奖、中国化工学会科学技术奖一等奖、中国发明协会发明创业奖创新奖一等奖、全国百篇优秀博士论文导师奖等奖励和表彰20余次。自2018年始,连续入选“科睿唯安”全球高被引科学家榜单;2019-2021年连续入选Elsevier中国高被引学者榜单(化学工程)。入选全球顶尖前10万科学家榜单(全球排名1596位,2022年4月)。长期从事功能碳材料的合成及应用、煤炭的高效高值精细化利用、能源化工等领域研究。
科 学 材 料 站 招 聘 信 息
科学材料站招聘2023年电催化工程师(二氧化碳还原方向,硕士研究生)
同时招收其他方向研究生电化学工程师(电解水、燃料电池、MEA开发等)、本科生(化材专业)、实习生等,详情请咨询!
添加官方微信 进群交流
SCI二氧化碳互助群
SCI催化材料交流群
SCI钠离子电池交流群
SCI离子交换膜经验交流群
SCI燃料电池交流群
SCI超级电容器交流群
SCI水系锌电池交流群
SCI水电解互助群
SCI气体扩散层经验交流群
备注【姓名-机构-研究方向】
投稿请联系contact@scimaterials.cn
点分享
点赞支持
点在看

