近年来,由于汽车工业和电子设备的快速发展,对储能体系提出了更高的要求,因此,具有高比容量、高能量密度以及低成本的锂硫电池(LSBs)越来越受到大家的关注,成为最有前景的下一代电化学储能体系之一。但是锂硫电池的正极方面仍存在许多问题未能解决,主要在于:
(1)硫和放电产物硫化锂的极差的导电性;
(2)充放电过程中多硫化物的穿梭效应;
(3)充放电过程中活性物质有较大的体积膨胀。
为了解决锂硫电池正极所存在的问题,研究人员开发多种载硫材料,这其中,各类碳材料由于其特殊结构和高导电性被广泛用于解决导电性和体积变化问题,而各种金属氮化物/硫化物/氧化物等极性化合物所具备的催化转化和对多硫化物的化学吸附功能,能够有效地抑制穿梭效应。此外,可溶性的均相催化剂由于可以直接溶解在电解液当中,能够增加与活性物质的接触,有效提升电解液的润湿性,并且其对多硫化锂转化的催化作用更加高效,也被应用于抑制穿梭效应。
基于此,济南大学原长洲教授课题组巧妙地构建了装饰有V3S4纳米片壳层的MOF衍生核壳碳纳米棒(V3S4@C),并将其用作硫阴极的主体材料,不仅提高了正极的电子电导率,还作为多相催化剂有效促进了多硫化物(LPSs)的化学吸附和转化。此外,Co(C5H5)2作为均相催化剂进一步引入电解质中,提高了LPSs的转化效率和电解质的润湿性。得益于异相结构的V3S4@C和均相催化剂Co(C5H5)2的协同作用,锂硫电池(LSBs)表现出出色的长循环和高倍率性能,特别是在高面载硫量和低液硫比的情况下依然保持较高电化学性能。
图1 V3S4@C的合成示意图
由于V基MXene的高反应活性,通过简单的水热反应即可高效转化为一维棒状的钒基金属MOF(MIL-47as),随后以硫代乙酰胺为硫源于管式炉中进行气相硫化即可得到V3S4@C。
图2 V3S4@C物相和结构表征
通过一系列物相和结构与表征,可以清晰地发现,所制备的V3S4@C是由外层V3S4纳米片和内部碳纳米棒所组成的核壳结构。这一特殊的核壳结构在实现高硫负载的同时,又能够通过碳纳米棒的高导电性和V3S4纳米片优秀的催化转化能力而达到抑制穿梭效应和提高正极导电性的目的,保障了高电化学性能的实现和长循环过程中电极材料的稳定性。
图3 S/V3S4@C和S/V2CTx正极的电化学性能表征
载硫后所构建的S/V3S4@C正极,相较于S/V2CTx正极,显示出更低的氧化电位和更高的还原电位,说明对多硫化物的转化具有更好的催化作用,因此表现出优异的电化学性能。在0.2 C和1 C的电流密度下均表现出更高的放电比容量,并且在高达2 C的电流密度下500圈循环过后依然保持~75%的容量保持率。
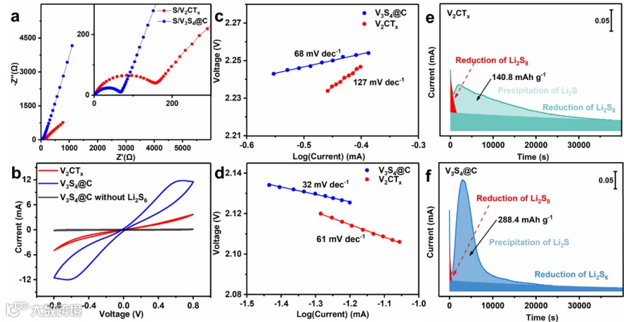
图4 S/V3S4@C和S/V2CTx正极的动力学性能测试
进一步对二者进行阻抗和动力学测试,S/V3S4@C表现出更小的阻抗,并且,V3S4@C在对称电池测试中表现出更高的电流响应、更小的Tafel曲线拟合斜率和起始电位也说明其更优的催化活性和更快的多硫化物转化。而在Li2S形核测试中,V3S4@C显示出更大的响应电流和更小的反应时间,拟合后计算出的形核容量也明显高于V2CTx,反映了其能够更有效地降低Li2S的形核电位,促进Li2S形核沉积。
图5 均相催化剂引入的优势和电化学性能表征及其反应机制和机理
将可溶性催化剂引入电解质中,有效地促进多硫化物的转化和电化学反应的快速进行,减少死锂的产生和穿梭效应的影响,这在与未加均相催化剂电解液的电化学性能对比中也可以明显看出。而在三种均相催化剂的对比中可以发现,Co(C5H5)2表现出更佳的电化学性能,这归因于其仅略低于Li2S形成电位的还原电位,而另两种均相催化剂则表现出更低的还原电位或是高于Li2S形成电位的还原电位,这使得Co(C5H5)2显示出了最佳的催化活性。
图6 含Co(C5H5)2电解液的电化学性能测试
对不同Co(C5H5)2含量的锂硫电池进行测试,充放电平台曲线对比说明0.25 wt.%添加量表现出最小的充放电平台电压差,有利于降低长循环情况下的容量衰减和循环稳定性,这在高载硫量和低液硫比的情况下也很好地体现。而对放电平台容量进行对比,含有均相催化剂的锂硫电池,其更大的放电平台容量比C2/C1值同样说明了均相催化剂具备更好的LPSs催化转化能力。
图7 含Co(C5H5)2电解液的动力学性能探究
相比于普通电解液,含Co(C5H5)2电解液表现出更小的阻抗,在对称电池测试中也表现出更加明显的电流响应。根据Randles-Sevcik方程,拟合计算出含Co(C5H5)2电解液的锂离子扩散系数更大,在大电流下的充放电性能更优。同时,在Li2S形核测试中,含Co(C5H5)2电解液具有更大的相应电流和形核容量,表现出其更好的反应动力学。
总 结 展 望
本研究通过简便的水热反应将V基MXenes转化为一维棒状的V基MOF(MIL-47as),然后经过气相硫化法成功制备了一维碳棒表面原位生长二维片状V3S4的异相载硫材料V3S4@C,其独特的核壳结构不仅可以有效负载活性物质硫,还具有良好的导电性与催化性能,能够有效地抑制穿梭效应表现出优异的电化学性能。
进一步地,三种均相催化剂(Co(C5H5)2,Ru(C5H5)2以及Cr(C5H5)2)的引入,一方面提高了电解质的润湿性,提高活性物质的反应程度,另一方面可以加强对多硫化物的催化转化和化学吸附能力,与V3S4@C异相材料协同作用,有效抑制穿梭效应。这项工作为异相/均相催化剂在锂硫电池中的协同使用提供了一种可行的途径,具备一定的商业化潜力。
这一成果近日发表在国际知名期刊Journal of Materials Chemistry A上,济南大学原长洲教授、侯林瑞教授、刘洋老师为共同通讯作者。
文 章 链 接
Synergistic design of core-shell V3S4@C host and homogeneous catalysts promoting polysulfides chemisorption and conversion for Li-S batteries, Ke Tan, Zhaolin Tan, Sen Liu, Guoqiang Zhao, Yang Liu, Linrui Hou and Changzhou Yuan, J. Mater. Chem. A, 2023, 11, 2233-2245. DOI: 10.1039/D2TA09373A.
通 讯 作 者 简 介
原长洲教授,济南大学材料科学与工程学院博士生导师,山东省“泰山学者特聘教授”,济南市C类人才(省级领军人才),安徽省杰出青年基金和安徽省技术领军人才获得者。多年连续入选科睿唯安“全球高被引学者”和爱斯维尔“中国高被引学者”榜单。获教育部自然科学奖二等奖和安徽省青年科技奖各1项。
近年来,以第一/通讯作者身份已在Angew. Chem. Int. Ed.、Adv. Energy Mater.、Adv. Funct. Mater.、Mater. Today、Mater. Horiz.、J. Mater. Chem. A、Small和Green Chem.等国际刊物上发表SCI学术论文200余篇。申请中国发明专利30余件,其中授权20余件。部分研究成果已经在相关企业完成中试、检测及示范应用。个人H-index为68。
研究方向:多年来一直聚焦电化学储能领域前瞻性课题和关键技术难题,秉承“料要成材,材可成器,器之有用”的研究理念,致力于先进电化学储能器件(超级电容器、锂/钠/钾离子电池、锂硫电池和铅碳超级电池)关键材料精准合成、结构-组分/功能调控、内在储电机制及器件设计、关键技术构建与优化等方面,深入探究能量存储与转化等方面的应用基础研究。
课题组主页:
https://www.x-mol.com/groups/Yuan_Changzhou
科 学 材 料 站 招 聘 信 息
科学材料站招聘2023年电催化工程师(二氧化碳还原方向,硕士研究生)
同时招收其他方向研究生(电化学、电池、电镀、电解水、燃料电池、MEA开发等)、本科生(化材专业)、实习生等,详情请咨询!
添加官方微信 进群交流
SCI二氧化碳互助群
SCI催化材料交流群
SCI钠离子电池交流群
SCI离子交换膜经验交流群
SCI燃料电池交流群
SCI超级电容器交流群
SCI水系锌电池交流群
SCI水电解互助群
SCI气体扩散层经验交流群
备注【姓名-机构-研究方向】
投稿请联系contact@scimaterials.cn
点分享
点赞支持
点在看

