
研究背景
随着电子设备及规模储能器件的发展,原料资源储量的重要性逐渐凸显。相比于Li元素,K在地壳中的丰度高出其近3个数量级(Li:0.0017 wt.%,K: 1.5 wt.%),同时K电池的电压和功率密度等参数指标也较为理想,因此其近年来得到了越来越多的关注。目前对于钾电池的负极材料,嵌入型、转化型、合金型、有机及二维负极材料均有较多研究报道。然而,要想实现电池的高比能,K金属负极无疑是最合适的选择,同时,K金属负极还可以促进无K正极材料的发展应用,例如K-S(1023 Wh kg−1)和K-O2(1023 Wh kg−1)电池。
K金属负极有着和Li金属、Na金属类似的缺点,即不均匀沉积造成枝晶的生长。枝晶生长不可避免地带来“死钾”,及SEI膜的不断破裂/重组,降低全电池库仑效率,同时可能刺穿隔膜进而引发安全性问题。因此,关于负极载体的设计应运而生。经过亲钾处理的金属负极(Al、Cu等)有很好的效果,但受限于金属的自重及对于K容纳能力有限,其很难实用化。相比之下,碳基载体自重轻、稳定性好、内部丰富的多孔结构设计也有利于缓冲K沉积带来的体积膨胀和不均匀的局域电流密度分布,具备较大的实用化潜力。
成果简介
近日,华中科技大学谢佳教授团队在Nature Communications上发表题为“Codoped Porous Carbon Nanofibres as A Potassium Metal Host for Nonaqueous K-ion batteries”的研究论文。作者利用静电纺丝技术,将含Zn的MOF引入PAN基纳米纤维中,最终得到Zn和N共掺杂的纳米碳纤维材料作为K的负极载体,成功实现了对于K均匀沉积的调控,以及体积膨胀的抑制。得到的K复合负极具备高载量、高载流子迁移数及较低的成核过电位,并在非水系全电池中实现了近1.6V的平均放电电压,以及常温下近600次的高容量稳定循环。该工作为金属负极的安全高效利用提供了新思路。
研究亮点
(1)巧妙利用静电纺丝技术将Zn-MOF材料(MET-6)引入到PAN基纳米纤维中,由MET-6热解产生的N2对基体实现原位造孔。同时,得益于MOF材料配位键作用促进Zn在基体中的均匀分布,最终得到Zn和N共掺杂的多孔纳米碳纤维材料(MSCNFs);
(2)MSCNFs材料具备极高的亲K性,其内部丰富的分级孔道结构保证了载流子的快速传输,其作为K的高载量负极载体展现出优异的电化学性能。
图文导读
MSCNFs的合成方法如图1a所示,利用静电纺丝技术将纳米MET-6引入到PAN基纳米纤维的合成中,热处理后得到Zn和N共掺杂的多孔碳纳米纤维体系。XRD如图1b所示,材料呈现非晶态。BET测试结果如图1c,孔径分布主要是介孔(>4 nm)以及部分微孔(1.2 nm)。从图1d-f可以看出,合成的MSCNFs的直径在500 nm左右,纤维内外均有均匀分布的中孔(<50 nm)。TEM图像(图1g)证实,在MSCNFs中紧密堆积的纳米孔隙空间构成了相互连接的中空结构。高分辨率TEM图像(图1h)进一步证实了MSCNFs的非晶态特征,HADDF模式下的EDS显示元素分布均匀(图1i)。

图1 (a)MSCNFs的合成路线和相应的K复合负极;(b)MSCNFs的PXRD谱图;(c)MSCNFs的孔径分布及N2吸附脱附;(d-f)MSCNFs的SEM图. MSCNFs的(g)TEM和(h)HRTEM图;(i)HAADF模式下MSCNFs的EDS元素分布。
图2a显示,在0.5 mA/cm2电流密度下,MSCNFs的过电位小于15 mV。对比不同电极上的K沉积行为,如图2b所示,MSCNFs电极更有利于K的沉积,对应的库仑效率如图2c所示。通过K金属热灌注实验,从化学和物理两个角度进一步评价材料对钾的亲和性。如图2d-g所示,整个过程耗时小于1s,是文献报道的K浸润最短时间之一。
对其进行对称电池测试,MSCNF-K对称电池过电位小于100mV,且能稳定循环800h(图2h)。Cu-K对称电池(在铜箔顶部机械压K金属)在循环过程中(>150 mV)极化更大,并在~32 h后稳定增加,最终短路(图2i-j)。倍率性能显示,MSCNF-K的性能更为优异(图2k-l)。当电流回到1 mA/cm2时,MSCNF-K||MSCNF-K的电压曲线变化平稳,而Cu-K||Cu-K则立即短路(图2m)。

图2 (a)0.5 mA/cm2电流密度下,不同基体上K的成核电位;(b)K在不同基体上沉积的过电位;(c)K在不同基体上沉积的库仑效率;(d-g)K浸入MSCNF基体的照片;(h-j)MSCNF-K和Cu-K对称电池的电压曲线;(k-m)不同对称电池的倍率性能。
为了揭示MSCNFs优异电化学性能的本质,作者进行了原位表征和非原位SEM研究。如图3a所示,在沉积实验结束时,Cu表面被棒状K枝晶完全覆盖,而MSCNFs的表面在整个沉积过程中保持不变,未检测到K枝晶(图3b),这和原位XRD结果一致(图3c-d)。非原位SEM结果显示,0.5 mAh/cm2的放电容量会使K均匀填充覆盖纤维上的孔隙,之后额外的K沉积覆盖纤维之间的间隙,最终形成平坦光滑的表面(图3e-f)。

图3 在6 mA/cm2电流密度下,在(a)Cu和(b)MSCNFs上沉积K的原位光学显微图;在5 mA/cm2电流密度下,在(c)铝箔和(d)MSCNFs上沉积K的XRD对比谱图;(e)电流密度为0.5 mA/cm2时,MSCNFs表面K沉积的电压分布图和对应的(f)不同放电状态下MSCNFs的SEM图。
作者利用密度泛函理论(DFT)对比了K原子与不同宿主载体之间的相互作用能力。K和C,N掺杂C、N与Zn共掺杂C的结合能力如图4a-c所示。K和NC-Zn的结合能最高,为2.94 eV,表明N和Zn之间的协同作用使基体和K原子之间的相互作用显著增强(图4d)。
此外,作者还构建了模拟无孔碳纤维(CF)和MSCNF电极电场模型(图4e-h)。图4f可以看到CFs的电场分布截面图,MSCNFs的电场分布比CF更均匀(图4h)。作者推测K沉积可以分为三个阶段,如图4i-j所示。

图4 (a)DFT计算的K原子和不同基体的结合能及(b-d)对应模型。(e-f)CFs和(g-h)MSCNFs的模拟建模,及对应的电势长分布图;MSCNFs上的(i)K沉积和剥离以及不同基体上的(j)K+沉积原理图。
图5a-d显示了K表面随着循环进行的形态演变,其从光滑、致密的状态转变为带有裂纹、空隙的松散状态。热灌注法制备的MSCNF-K电极表面保留了浸没纤维的痕迹(图5e)。循环后,MSCNF-K电极表面没有出现缺陷(图5f-h),对应的XPS信号如图5i-n所示,进一步证明了MSCNFs具有更好的抑制枝晶生长和稳定SEI膜的能力。

图5 在不同循环次数后,对称电池中(a-d)K和(e-h)MSCNF-K负极的非原位SEM图;在不同循环后,对称电池中Cu-K负极的非原位XPS图:(i)C 1s,(j)O 1s以及(k)F 1s;不同循环后,对称电池中MSCNF-k负极在的非原位XPS图:(l)C 1s, (m) O 1s以及(n) F 1s。
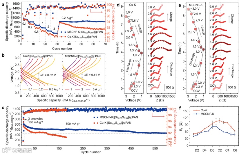
作者首先对K-S电池的性能进行了评估。从图6a可以看出,两种K-S电池具有相同的初始放电容量,然而MSCNF-K体系的电压极化更小(0.41 V),Cu-K则为0.52 V(图6b)。500 mA/g电流密度下,长循环性能如图6c所示,MSCNF-K循环稳定性更高。
如图6d-f所示,Cu-K负极电池的SEI阻抗(Rf)从初始状态的51.6 Ω显著增加到109.1 Ω,K-S电池则仅从41 Ω增加至49 Ω。EIS证实了MSCNF-K负极在稳定SEI和K可逆循环等方面均有积极作用。

图6 (a)Cu-K和MSCNF-K负极的倍率性能;(b)Cu-K和MSCN-K负极的充放电曲线;(c)长循环稳定性测试;(d)Cu-K||Se0.05S0.95@pPAN和MSCNF-K||Se0.05S0.95@pPAN的原位电化学阻抗;(f)不同荷电状态下阻抗的Rf的值。
总结和展望
作者开发并表征了具有单分散、二元活性位点N和Zn共掺杂的分层多孔碳纳米纤维(MSCNFs)。电化学测试、计算分析和原位/非原位表征表明,该多孔基质和含锌二元亲钾位点具有以下优点:(1)亲钾性高;(2)重量轻,内部空间大;(3)电场分布均匀。其作为K沉积载体在全电池中展现了优异的电化学性能。本工作表明,多孔结构设计开发在研发商业化K金属电池方面极具价值。
文献链接
Codoped Porous Carbon Nanofibres as A Potassium Metal Host for Nonaqueous K-ion batteries (Nat. Commun. 2022 DOI:10.1038/s41467-022-32660-y)
原文链接:
https://www.nature.com/articles/s41467-022-32660-y

