文 章 信 息
Fe掺杂MnO2正极实现水系镁离子电池的长循环稳定性
第一作者:王倩
通讯作者:严义刚*
单位:四川大学
研 究 背 景
基于镁在地表的丰富储量(~2%)和镁金属负极的高体积能量密度(3833 mAh cm-3),镁电池的开发收到广泛关注。当前镁离子电池的发展受制于缺乏良好的正极等关键材料。MnO2已被广泛研究作为水系镁离子电池的潜在正极材料,但其在充放电循环过程中存在严重的容量衰减问题。本篇观点展示了Fe掺杂α-MnO2可以增大晶格并减轻Jahn-Teller畸变(JTD),从而加速Mg2+扩散并增强结构稳定性。结果表明,通过Fe掺杂,容量保持率在1000次循环后显著提高,从44.3%增加到85.2%。此外,首次发现Fe掺杂使H+和Mg2+能够共同嵌入α-MnO2的隧道中,从而使比容量在0.1 A g−1电流密度下,从131.9显著增加到205.9 mA h g−1。
文 章 简 介
近日,来自四川大学的严义刚研究员,在国际期刊Journal of Power Sources上发表题为“High cycling stability of MnO2 cathode for aqueous Mg-ion batteries enabled by Fe doping”的研究文章。该文章分析了Fe掺杂对水系镁离子电池中MnO2正极循环稳定性的改善作用,并通过理论计算模拟了Fe掺杂MnO2增强离子迁移的机制。
本 文 要 点
要点一:Fe掺杂诱导相变,增大晶格
图1. (a-d) 未掺杂的 δ-MnO2和 Fe-MnO2的 SEM 图像,(e) XRD 图谱和 (f) Mn 2p XPS 光谱。
如图1,随着Fe元素的掺杂量增加,δ-MnO2发生相转变为α-MnO2,并且抑制Mn3+的产生,其相变过程具体为:
首先,由于 Fe3+(55pm)和 Mn4+(53pm)之间的离子半径相似,Fe替换一小部分 Mn(例如5mol%)会导致形成少量的 FeO6 八面体,并使层状δ-MnO2的晶格常数略微增加。因此Fe1-MnO2中仍然保持微米花形貌。
其次,随着 Fe 含量进一步增加到 10 mol%,额外 FeO6八面体的形成加剧了晶格膨胀。同时,大量的K+离子半径为 133 pm,它们可以与 O2– 结合,如图2所示。MnO6 八面体和 FeO6八面体在K+ 周围形成平坦的正方形,促进δ型向α型多晶型的转变。因此,Fe2-MnO2的形貌转变为微米花和纳米棒的混合物。
最后,在Fe3-MnO2中,随着相变的完成,形貌完全从微米花转变为纳米棒,形成了比未掺杂的α-MnO2晶胞更大、结构更稳定Fe掺杂α-MnO2。
图2. MnO2随着 Fe 掺杂量增加的相变和形貌转变示意图。
要点二:Fe掺杂后提升循环稳定性
图3. 未掺杂的 δ-MnO2、α-MnO2、Fe1-MnO2、Fe2-MnO2和 Fe3-MnO2:(a) 0.1 A g−1 下的充放电曲线,(b) 倍率性能和 (c)循环稳定性和库伦效率。
对比不同MnO2电极的电化学性能发现,在0.1 A g−1的电流密度下,对于δ-MnO2晶型,比容量从未掺杂时的194.4 mA h g−1提升至掺杂后(Fe1-MnO2)的263.5 mA h g−1;对于α-MnO2晶型,比容量从未掺杂时的131.9 mA h g−1 提升至掺杂后(Fe3-MnO2)的205.9 mA h g−1。
未掺杂的 α-MnO2和 δ-MnO2在 2 A g⁻¹ 下经过 1000 次循环后容量保持率分别为 44.3% 和 54.0%。相较而言,Fe1-MnO2、Fe2-MnO2和 Fe3-MnO2样品的容量保持率显著提高,分别达到了 65.4%、75.6% 和 85.2%。特别地,掺杂 15 mol% Fe 的 Fe3-MnO2在 1000 次循环后仍能保持 84.9 mA h g⁻¹ 的容量,且每次循环的容量衰减仅为 0.015 mA h g⁻¹。
要点三:双离子储存机制
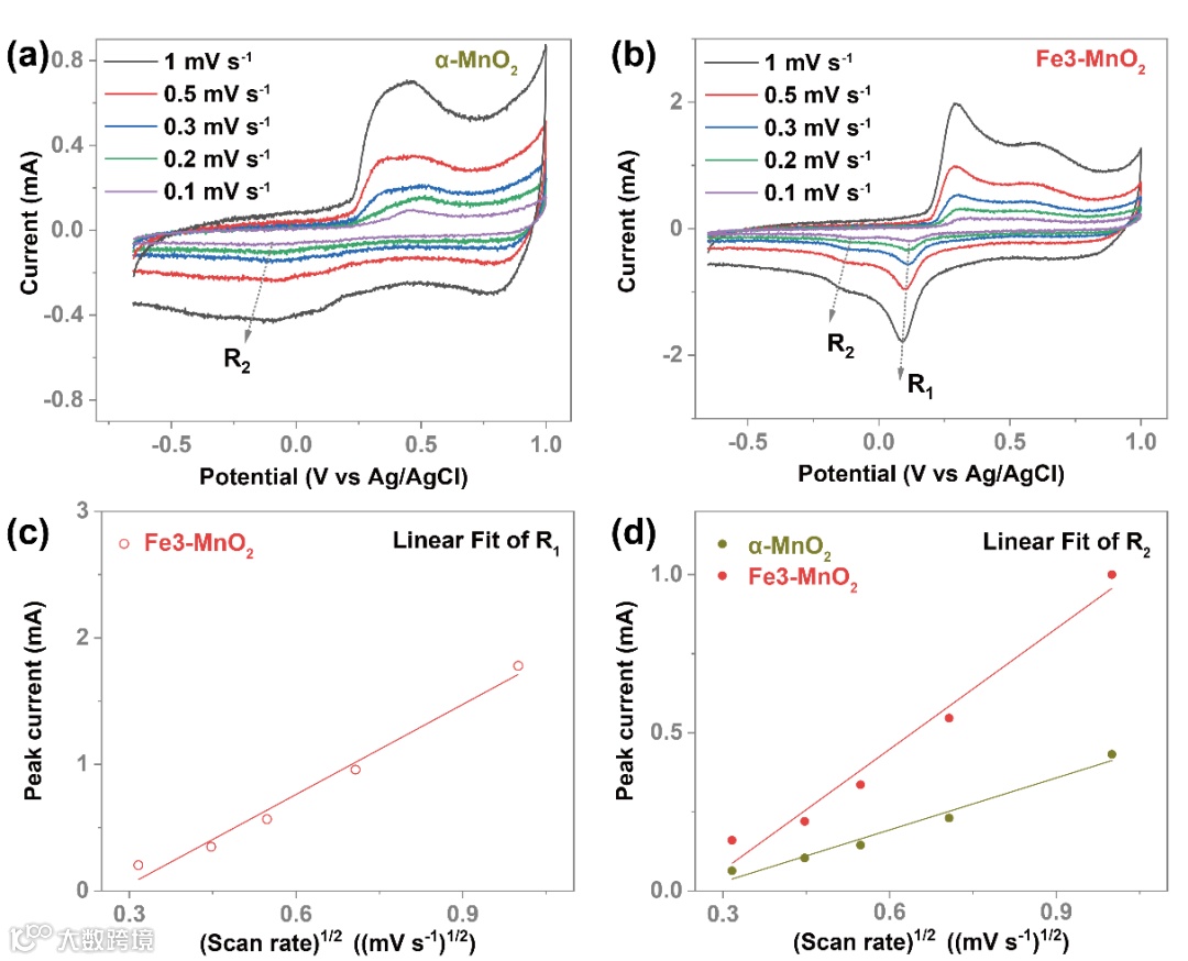
利用CV曲线研究电极的电化学特性(图4)以及理论计算模拟离子迁移(图5)论证了Fe掺杂后,α-MnO2由单一镁离子导体转变为双离子导体,增加了质子传导,这是材料比容量增加的主要原因。
图4. (a-b) 未掺杂的 α-MnO2和 Fe3-MnO2的 CV 曲线,(c-d) R1 和 R2 的阴极峰电流与扫描速率平方根的线性拟合。
图5. (a) Fe3-MnO2中沿隧道轴的 (2 × 2) 超晶胞。[1 × 1] 和 [2 × 2] 隧道分别对应离子插入的 Site 1 和 Site 2,(b) 通过第一性原理计算得到未掺杂的 α-MnO2和 Fe3-MnO2中 H 和 Mg 离子的插入能量。为方便起见,Mg1 和 H1 代表 Site 1 的离子,Mg2 和 H2 代表 Site 2 的离子,(c) (2 × 2) 超晶胞的侧视图,蓝色箭头表示未掺杂的 α-MnO2和 Fe3-MnO2中 H 和 Mg 离子在 [2 × 2] 隧道中的扩散路径,(d) Mg2+ 的扩散能垒曲线。插图为中间态的相应图像。灰色表示 K,橙色表示 Mg,深黄色表示 Fe,紫色或深黄色表示 Mn,红色表示 O。
要点四:Fe掺杂抑制电极中Mn的溶解
对循环后的Fe掺杂MnO2电极进行分析,不同充放电状态下的XRD图谱证明了离子的嵌入和脱出过程,并且循环后仍然保持纳米棒的形态。未掺杂的 α-MnO2存在严重的Mn溶解,从而导致电极结构坍塌,离子嵌入/脱出不可逆。相反,Fe3-MnO2电极在前 10 个循环周期中电解质中的 Mn 浓度没有明显变化,这意味着 Mn 溶解得到了抑制。
图6. (a) 不同状态下 Fe3-MnO2电极的原位 XRD 图谱,(b) 不同状态下 Fe3-MnO2电极的 Mg 1s XPS 光谱,(c) Fe3-MnO2在经过1000次充放电循环后的 TEM 图像,(d) 未掺杂的 α-MnO2和 Fe3-MnO2电极在完全充电状态下经过不同充放电循环后的 Mg/Mn 原子比,(e) 未掺杂的 α-MnO2和 Fe3-MnO2电极在 0.1 A g−1 下前 10 次循环过程中 1 M MgCl2 水溶液电解质中溶解的 Mn 元素分析。
文 章 链 接
High cycling stability of MnO2cathode for aqueous Mg-ion batteries enabled by Fe doping
https://doi.org/10.1016/j.jpowsour.2024.234763
通 讯 作 者 简 介
严义刚,四川大学新能源与低碳技术研究院,研究员,博士生导师,四川省特聘专家、科技人才,四川大学“氢能源材料与系统集成”特色团队负责人。主要从事氢能与燃料电池、化学电源材料与器件的研发及工程化应用。主持及参与国家级、省部级项目等各级项目20项,发表学术论文100余篇。
第 一 作 者 简 介
王倩,四川大学材料科学与工程学院,博士研究生,日本东北大学交换生。主要从事镁离子电池关键材料与器件、固态电解质及固态储氢材料等领域研究。
课 题 组 介 绍
四川大学氢能与化学电源课题组,本团队主要围绕氢能、燃料电池、化学电源,开展关键材料合成与制备、器件开发与设计的基础前沿和应用研究、及工程化应用。团队研发的宽温区镍氢电池、钒钛基储氢合金等技术已成功实现产业化。目前在重点攻关新型储氢材料、储氢系统设计与集成、燃料电池钛双极板、固态锂离子电池、镁离子电池、高效低铂/无铂催化剂等技术。
课 题 组 招 聘
长期招收氢能、燃料电池、化学电源领域青年教师、博士后、硕博士研究生、及科研助理。
添加官方微信 进群交流
SCI二氧化碳互助群
SCI催化材料交流群
SCI钠离子电池交流群
SCI离子交换膜经验交流群
SCI燃料电池交流群
SCI超级电容器交流群
SCI水系锌电池交流群
SCI水电解互助群
SCI气体扩散层经验交流群
备注【姓名-机构-研究方向】
投稿请联系contact@scimaterials.cn
点分享
点赞支持
点在看

