文 章 信 息
钠离子电池低成本、高性能的NASICON结构异质复合正极材料
第一作者:郭晋芝,张洪霞
通讯作者:吴兴隆*
单位:东北师范大学
研 究 背 景
钠超离子导体(NASICON)型材料具有优异结构稳定性、高离子导电性、较小体积膨胀以及电压可调等特性,被认为是最有发展潜力的的钠离子电池正极材料之一。Na3V2(PO4)3作为一种典型的NASICON型正极材料,在Na+的脱出和嵌入过程中,会发生氧化还原电对V4+/V3+的转化,对应电压平台约为3.4 V vs. Na+/Na,理论比容量为117.6 mA h g-1。
然而,V元素在材料中的生物毒性和昂贵的价格阻碍了其实际应用。铁基聚阴离子材料因其成本低、绿色环保等优点被认为是理想的钠离子电池正极材料,然而,铁基正极材料的平均工作电压较低。此外,聚阴离子化合物固有的较差的电子导电性也限制了其优异电化学性能的实现。
异质复合材料由于双相复合结构的协同效应,表现出比各组分更好的电化学性能,在聚阴离子材料中构建异质复合结构,通过结合不同材料的优点,消除其局限性,实现其高性能的发挥。
本文为利用复合结构工程开发先进聚阴离子型正极材料提供了理论依据,有助于加速聚阴离子型钠离子电池正极材料领域的研究及实际应用。
文 章 简 介
基于此,东北师范大学吴兴隆课题组,在国际知名期刊Advanced Functional Materials上发表题为“Heterogeneous NASICON-type composite as low-cost, high-performance cathode for sodium-ion batteries”的研究性文章。
该文章提出采用原位制备法构建摩尔比为1:1的Na3V2(PO4)3-Na3Fe2(PO4)(P2O7) (NVFPP)异质复合材料,并且双碳修饰层提高了NVFPP的电子导电性和结构稳定性,实现了优异的电化学性能。
本 文 要 点
要点一:材料的合成与表征
采用简单的溶胶-凝胶法制备了双碳层修饰的NVFPP/C/G异质复合材料,双碳层是由明胶衍生的碳和还原氧化石墨烯(rGO)形成的。对得到的正极材料进行XRD分析测试,可以清楚地观察到,所有这些衍射峰都很好的对应于斜方晶系的Na3V2(PO4)3相(空间群,R-3c)和正交晶系的Na3Fe2(PO4)(P2O7) 相(空间群,P212121)。
通过HR-TEM进一步解释了该材料的结构特征,在图1b和1c中,该区域表现出明显不同的晶格条纹特征,为0.374和0.559 nm,分别对应于Na3V2(PO4)3相的(113)面和Na3Fe2(PO4)(P2O7) 相的(101)面,进一步表明成功制备了聚阴离子型异质复合材料。
图1. NVFPP/C/G材料的结构和形貌分析
要点二:电化学性能和电极动力学性能
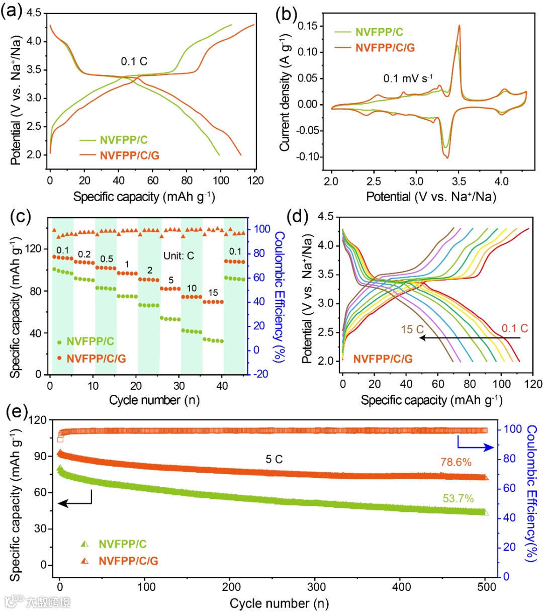
将所制备材料制成电极,与钠负极匹配组装钠离子电池,对其储钠性能进行了评估。结果显示,得益于共生结构和双碳层的协同效应,NVFPP/C/G表现出更优异的倍率性能和循环稳定性以及动力学特性。NVFPP/C/G材料在0.1C下表现出113.1 mA h g-1的比容量,即使在15C的高倍率下,也表现出70.4 mA h g-1的比容量。主要是由于其独特的结构,特别是在高扫描速率下,NVFPP/C/G电极是赝电容和扩散贡献共存的,有利于其优异高倍率性能的获得。
图2. NVFPP材料的电化学性能研究
图3. NVFPP材料的电极动力学特性研究
要点三:充放电机理研究
通过非原位XPS和原位XRD等表征对反应过程过程中的储钠机理进行了探究。图4的非原位XPS分析了充放电过程中NVFPP中V和Fe的价态变化。图5的原位XRD结果表明,3.45 V之前主要发生的是Na3Fe2(PO4)(P2O7) 的固溶体反应,3.45 V 的平台区是由Na3V2(PO4)3到NaV2(PO4)3 的相变引起的,并且这两个过程都是高度可逆的。
图4. NVFPP/C/G材料的充放电机理研究-非原位XPS分析
图5. NVFPP/C/G材料的充放电机理研究-原位XRD分析
要点四:优异全电池性能
与硬碳负极匹配组装了钠离子全电池并测试了其电化学性能。在0.1C时,该全电池可以获得111.5 mA h g-1的比容量,首效可达92.78%,并且该全电池也展示出较好的倍率和循环性能。作为潜在应用展示,该全电池可以为LED灯泡供电,显示出广阔的应用前景。
图6. HC//NVFPP/C/G全电池的构筑及其应用
文 章 链 接
Heterogeneous NASICON-Type Composite as Low-Cost, High-Performance Cathode for Sodium-Ion Batteries
https://doi.org/10.1002/adfm.202209482
通 讯 作 者 简 介
吴兴隆教授简介:教育部“长江学者奖励计划”青年学者、吉林省拔尖创新人才。主要从事电池储能材料、废旧锂电回收与再利用等研究工作。提出电极材料中大尺寸阴/阳离子稳定化脱嵌新途径并阐明了其工作机制;发展高效电荷传导网络的构筑新策略,开发了系列高性能电极材料;提出了废旧锂电池电极材料的绿色再利用新思路。
已在Adv. Mater.、Angew. Chem. Int. Ed.、Sci. Bull.、Energy Environ. Sci和Adv. Energy Mater.等学术期刊发表通讯作者论文150多篇;发表论文被他人引用超过14000次,H指数为63;已获授权发明专利17项;主持了国家自然科学基金委重大研究计划和吉林省省科技厅等十余项研究课题。培养的学生,2人入选“博士后创新人才支持计划”、7人获得省级优秀博/硕士学位论文、40多人次获得校优秀毕业生、国家奖学金等奖励和荣誉。
添加官方微信 进群交流
SCI二氧化碳互助群
SCI催化材料交流群
SCI钠离子电池交流群
SCI离子交换膜经验交流群
SCI燃料电池交流群
SCI超级电容器交流群
SCI水系锌电池交流群
SCI水电解互助群
SCI气体扩散层经验交流群
备注【姓名-机构-研究方向】
投稿请联系contact@scimaterials.cn
点分享
点赞支持
点在看

