文 章 信 息
Angew封面综述:氧电催化中金属/氮掺杂碳的原位X 射线吸收光谱
第一作者:武斌、孙天啸、尤雅
通讯作者:孙天啸、蒙海兵、邰仁忠、麦立强
通讯单位:Helmholtz-Zentrum Berlin für Materialien und Energie、太原理工大学、上海高等研究院、武汉理工大学
论文DOI:https://doi.org/10.1002/ange.202219188
工 作 介 绍
德国Helmholtz-Zentrum Berlin für Materialien und Energie博士研究生武斌、德国Helmholtz-Zentrum Berlin für Materialien und Energie孙天啸博士和武汉理工大学尤雅教授为共同第一作者,在国际顶尖期刊《Angew. Chem.》上发表综述性封面文章“In situ X-ray Absorption Spectroscopy of Metal/Nitrogen-doped Carbons in Oxygen Electrocatalysis”。
该文首先概述了X射线吸收谱(XAS)的基本概念,然后全面回顾了原位 XAS 的设置和应用,介绍了电化学 XAS 电池、实验方法以及催化应用的主要功能。随后详细讨论了在析氧反应和氧还原反应过程中由电场、电解质和反应物/中间体相互作用引起的 M-N-C 催化剂活性位点和结构的演变。最后,强调了该领域的主要挑战和未来机遇。
研 究 背 景
在降低碳排放的同时满足不断增长的能源需求是现代社会最艰巨的挑战之一,只能借助新的可持续能源技术来解决。氧电催化包括氧还原反应 (ORR) 和析氧反应 (OER),是各种下一代能量转换和存储技术(如电解槽、燃料电池或可充电金属空气电池)工业过程的基础, 因此,它是能源向低碳能源转型的重要组成部分。然而,与氧电化学相关的关键多相催化过程存在动力学缓慢和明显的过电位,导致效率低下和能源成本高,从而阻碍了实际能源应用。
开发能够在低能量输入、高选择性和足够稳定性的情况下加速反应速率的可持续电催化剂仍然是一项重大挑战。一方面,贵金属,如用于ORR的Pt基电催化剂和用于OER的 RuO2/IrO2 基电催化剂,具有稳定性高和可回收性好的优点。然而,由于这些贵金属的高成本和低丰度,潜在的商业应用需要在保持高催化活性的同时大幅减少金属负载。
另一方面,地球上丰富的过渡金属及其氧化物具有多样的晶体结构和独特的物理化学性质,具有成本效益高、价格低廉、在碱性条件下令人满意的稳定性以及氧电催化的广泛调制潜力等优点。然而,催化剂与反应物/产物之间的界面接触和传质不良,以及金属氧化物的导电性差,成为这些材料实际开发的一大障碍。因此,为了实现贵金属和过渡金属基催化剂的更广泛商业化,设计能够克服其固有缺点的先进催化剂至关重要。
图1. M-N-C电催化剂的化学构型示意图。
核 心 内 容
由于原子级分散的活性位点,直接表征M-N-C催化剂中活性物种的身份、配位和结构通常很困难。而在复杂的电解质环境中获取活性位点的动态信息使得观察M-N-C催化剂更具挑战性。凭借其独特的元素辨别能力、卓越的光子通量和适当的穿透能力,基于同步加速器的原位XAS是研究和表征M-N-C基氧催化剂的宝贵工具,揭示了原子尺度的复杂结构信息,如局部几何和电子 结构与其他基于X射线的技术互补,包括粉末X射线衍射 (PXRD) 和小角度X射线散射 (SAXS)。
在大多数情况下,催化剂的活性中心结构、稳定性和降解机理在实际反应过程中不会保持不变。特别是,多相氧电催化剂在反应过程中经常会失去性能或自我调节。因此,全面了解氧电催化剂的动态反应行为对于研究催化剂机理(例如活性位点的结构演变)至关重要。
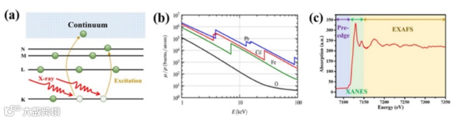
图2. (a) 吸收原子中的电子被X射线激发的示意图。(b) 在 1 至 100 keV 的X射线能量范围内,Fe、Cd和Pb的质量衰减系数μ/ρ。(c) XAS 谱图,突出显示XANES和EXAFS区域。
先进的原位XAS和相关技术的不断发展和广泛应用促进了催化剂失活途径的阐明以及反应条件下氧化态和局部几何配位变化的捕获,这是非原位 XAS 实验无法实现的。由于三种不同的检测模式(透射、荧光产额和电子产额),原位XAS是一种灵活且通用的技术,可用于探索氧电催化剂的原子结构、电子结构演化和表面信息。
图3. XAS 实验装置在 (a) 透射模式、(b) 荧光产额模式和 (c) 电子产额模式下的示意图。
氧电催化剂是一个复杂的动态实体,因此通过原位XAS实验在反应条件下进行探测具有挑战性。氧电催化剂在反应过程中经历化学吸收和电子转移,导致金属氧化态和活性物质的轨道占有率发生变化。这些电子特性已通过原位 XAS 技术进行了探测。硬X射线XAS,尤其是FY和透射模式,最常用于氧电催化剂的原位研究。
图 4a-c 是在不同模式下运行的原位电化学电池的示意图。凭借其局部结构敏感性和出色的空间分辨率,基于模型的EXAFS分析可以估计小型系综的原子结构,提供有关电催化剂结构在反应过程中演变的知识。虽然EXAFS允许访问电催化剂中反应中心的协调环境,但原位XANES分析可以揭示工作条件下活性中心的氧化状态。
图4. (a) 透射模式、(b)荧光产额模式,和(c)电子产额模式的原位XAS电化学电池的描述。WE:工作电极。RE:参比电极。CE:对电极。(d) 用于透射模式的原位XAS电化学电池的图示。(e)用于荧光产额模式的原位 XAS 电化学电池示意图。(f) 用于荧光产额模式的原位XAS电化学电池的图示。
水分解装置、质子交换膜燃料电池 (PEMFCs) 和锌空气电池 (ZABs) 等能量转换和存储技术的实际应用受到氧电催化剂性能不佳的阻碍。目前,M-N-C材料在这些反应中引起了相当大的关注。M-N-C催化剂的氧电催化性能受电导率、孔隙率以及金属物种与碳底物之间的协同相互作用等多种因素的影响。
金属活性位点在调节 M-N-C 催化剂的活性、稳定性和选择性方面起着主导作用。因此,人们投入了大量精力来研究它们相应的氧电催化结构-性质。许多M-N-C催化剂已被合成以将电催化性能与其活性位点的特性相关联。通常,基于M-N-C的催化剂的活性位点倾向于形成M-Nx结构和/或M-M键。
图 5.(a)高纯度吡咯型 FeN4 结构的制备过程。灰色、蓝色和橙色球体分别代表C、N 和 Fe原子,(b) Fe 箔、Fe2O3、HP-FeN4和FeN4的EXAFS光谱的傅立叶变换和 (c) EXAFS 光谱的傅立叶变换的第一壳层拟合 对于 HP-FeN4。顶部和底部光谱分别是幅度和虚部。插图:HP-FeN4材料中铁位点的结构。(d) FeMnN6团簇上吸收的*OOH的分裂,能垒为0.10 eV。“laying down”构型中吸收的*OOH、过渡态和分裂*OOH,(e) OH 修饰的FeMnN6上ORR过程的理论吉布斯自由能分布,(f) 的理论吉布斯自由能分布 嵌入石墨烯晶格中的 OH 修饰的 Fe2N6 团簇的ORR过程。(g) 所制备催化剂和Pt/C的LSV曲线,(h) Cu/Fe-NG 和 Pt/C 的计时电流响应,(i) 四种不同模型的HOMO能级,(j) 计算模型,O2吸附构型,以及FeN4和CuNx–FeN4 (x = 2, 3, 4)的相应吸附能。
通过调节金属-氮键可以得到不同的配位构型。N配位数、配位类型和金属原子配位直接影响催化性能。因此,许多开创性工作致力于构建M-N-C催化剂的各种配位构型,以提高其电催化性能并揭示相关机理,从而促进高效氧电催化剂的发展。
图6. (a) 通过活性测量和理论计算确定的基于 SAC 的 Fe-N-C 中 Fe 活性中心的电子自旋态调制。(b) 在不同配位环境下形成 Fe-SAs/NSC、Co-SAs/NSC 和 Ni-SAs/NSC 的示意图,(c-e) 实验数据与拟合的(c) Fe-SAs/NSC,(d)Co-SAs/NSC,和(e)Ni-SAs/NSC的EXAFS曲线。(f, k, p) Fe-SAs/NSC、Co-SAs/NSC 和 Ni-SAs/NSC 的 HAADF-STEM 图像,显示单个原子和面内孔隙(红色箭头), (g-j, l-o, q-t) M-SAs/NSC中C、N、S、Fe、Co 和Ni元素的HAADF-STEM元素分布(M=Fe、Co、Ni)。
XAS 对催化剂和吸附物之间的键长和键强度的敏感性已被广泛用于使OER和ORR材料的结构-性质关系合理化。然而,在许多情况下,由于具有不同氧化态和化学环境的物种共存,以及由于氧电催化剂的快速转变而难以探测它们,因此氧电催化剂的实际活性物种和工作机制仍然存在激烈的争论。在反应条件下发生的电子和原子结构。原位XAS研究可以深入了解催化剂中金属中心周围的局部变化,这些变化可用于获得对OER和ORR过程的机械理解。特别是,基于M-N-C的氧催化剂已被证明是有效提高OER和ORR性能的有前途的候选者,然而,通过原位XAS鉴定这类材料的催化机制、结构演变和活性位点是非常罕见的。
纳米级催化剂已迅速转向SACs M-N-C材料,由于其较大的表面积与体积比,它们具有更高的活性和更高的选择性。然而,由于其超低质量负载和大部分非晶结构,此类电催化剂的发展仍然存在不可避免的局限性。这为大多数表征方法研究结构信息和此类原子分散催化剂的相关活性位点的演变提出了技术难题。EXAFS成为表征M-N-C材料的最佳策略之一,具有亚埃空间分辨率和相当高的元素灵敏度。此外,当催化剂的粒径减小时,与较大的颗粒相比,更多的表面原子位点参与催化反应,并且本体敏感的原位XAS可能对界面现象变得敏感。最后,作者们对原位XAS在不同M-N-C催化剂上的应用和最新进展做了详细的总结和介绍。
总 结 和 展 望
在过去十年中,包括单原子催化剂在内的 M-N-C 材料的出现重新激发了用于氧转化(ORR 和 OER)的低成本电催化剂的研究工作。由于其独特的量子M-N-C电催化剂具有尺寸效应、最大化金属原子利用率、可调金属-载体相互作用、与电解质的高界面接触和高电导率,不仅被研究以促进对活性位点化学的基础科学理解,而且还成为一类用于可持续电化学能量转换技术的非常有前途的电催化剂,包括电解槽、燃料电池和(可充电)金属空气电池。
尽管如此,关于碳基质中金属-Nx部分的形成机制,或金属-金属/金属-Nx 位点上OER/ORR活性的起源,仍然存在一些模糊性。尽管FT-IR光谱、拉曼光谱、紫外-可见光谱和DFT方法等先进技术有助于阐明催化反应,但仅部分揭示了金属和金属-Nx 构型在反应机制中的作用。由于原位XAS技术对选定元素的化合价和局部结构敏感,因此有利于监测化学状态的变化以及催化剂在反应条件下的结构演变。
更好地了解活性位点的性质将有助于建立结构-性能-性能关系,这是进一步设计高性能催化材料所必需的。在这篇综述中,作者全面介绍了原位 XAS 作为研究M-N-C氧电催化剂的有力工具。然后讨论了反应条件下M-N-C基催化剂的活性位点和结构演变。最后,回顾了原位XAS研究M-N-C氧电催化剂的最新进展。
从这篇综述中可以明显看出,尽管人们不断努力破译M-N-C催化剂的工作机制,但仍有许多问题需要解决。此外,由于针对开发更灵敏和高效的基于原位 XAS 的表征技术的研究,相信在揭示基于M-N-C的电催化剂在OER/ORR中的工作机制方面最令人兴奋的贡献尚未到来。尽管存在相关的挑战,该领域仍然处于早期阶段。
作 者 简 介
武斌,Helmholtz-Zentrum Berlin für Materialien und Energie博士研究生。2016年在中国重庆大学获得材料化学学士学位,2019年在中国科学院化学研究所获得材料工程硕士学位。他目前的研究兴趣集中在用于储能和转换的碳纳米材料的原位表征。
孙天啸,现于德国Helmholtz-Zentrum Berlin für Materialien und Energie的BESSY II同步辐射光源从事博士后研究,2021年于中国科学院上海应用物理研究所获得博士学位;目前主要研究方向是软X-射线扫描透射X-射线显微镜(STXM),X-射线吸收谱(XAS)、软X-射线扫描相干衍射成像(Ptychography)以及控制系统的开发等相关研究;参与上海同步辐射光源08U线站的新STXM开发,并为02B研制了新的高信噪比吸收谱测量系统。
此外,2020年在加拿大光源学习工作期间开发了Ptychography多功能重构软件PyPIE,目前主要负责BESSY II光源的 Ptychography技术的开发。已发表在PNAS.、 ACS nano、Nano Energy、J. Synchrotron Radiat.、Rev. Sci. Instrum.等SCI期刊上发表学术论文11篇。并以第一发明人身份获得国家专利授权1项。
尤雅, 武汉理工大学教授。于2015年7月获得中国科学院化学研究所物理化学博士学位。主要研究方向为锂离子电池、钠离子电池等电化学储能系统的材料设计。迄今已在Adv. Mater.(1篇)、Angew. Chem. Int. Ed.(3篇)、Chem(1篇)、Energy Environ. Sci.(1篇)、Adv. Energy. Mater.(5篇)、Nano Lett.(2篇)等国际高影响力的化学、材料学和能源类期刊上发表学术论文共计40余篇,其中第一作者(含共同一作)和通讯作者论文共计24篇,SCI被引2000余次,共10篇文章入选ESI高被引论文。
多篇论文入选封面论文、热点论文和VIP论文。获授权中国发明专利三项,合作撰写专著一部。承担国家自然科学基金、武汉理工大学高层次人才引进项目等多项课题,多次受邀在国内外学术会议上做邀请报告。任《Chinese Chemical Letters》、《Rare Metals》青年编委,并担任 Nano Energy、ACS Applied Materials & Interfaces、Nano Research、Solid State Ionics、RSC Advance等材料学和能源类期刊审稿人。
蒙海兵,太原理工大学化学学院副研究员。 2019年于中国科学院化学研究所获得物理化学博士;2019年9月至2021年9月在清华大学化工系从事博士后研究。他的研究兴趣集中在用于气体吸附与分离、电催化和光催化的纳米材料的设计和制备。
麦立强,武汉理工大学材料学科首席教授,博士生导师,国家重点研发计划“纳米科技”重点专项总体专家组成员,武汉理工大学材料科学与工程学院院长。长期从事纳米能源材料与器件研究,并发表SCI论文380余篇,包括Nature (1), Nature Nanotechnol (2), Chem Rev (3), Chem Soc Rev (2), Nature Commun (9), Adv Mater (19), Nano Lett (27), Joule (2), Chem (2), Acc Chem Res (1), PNAS (2), J Am Chem Soc (4), Angew Chem Int Ed (2), Energy Environ Sci (3)。76 篇ESI高被引论文和18篇ESI热点论文,。总引用23770次。
邰仁忠,研究员。中科院上海高等研究院副院长,上海光源科学中心常务副主任,上海高等研究院二氧化碳光子科学研究中心首席科学家,国家杰出青年科学基金获得者,国家重点研发计划项目首席科学家,上海领军人才。长期从事同步辐射技术及应用研究,主要研究方向为X射线相干性在纳米显微、纳米加工、以及纳米团簇结构动力学表征等领域的方法学研究及应用研究。
Tristan Petit,在Helmholtz-Zentrum Berlin für Materialien und Energie领导青年研究小组纳米级固-液界面。 他2010年于法国ISAE-Supaéro和瑞士苏黎世联邦理工学院获得硕士学位;2013年于法国ENS Cachan获得物理学博士学位。另外,他于2015年获得大众汽车基金会的 Freigeist 奖学金,并于2020年获得ERC启动资助。他的研究重点是碳纳米材料和MXenes的原位光谱在能量转换和存储应用中的应用。
科 学 材 料 站 招 聘 信 息
科学材料站招聘2023年电催化工程师(二氧化碳还原方向,硕士研究生)
同时招收其他方向研究生(电化学、电池、电镀、电解水、燃料电池、MEA开发等)、本科生(化材专业)、实习生等,详情请咨询!
添加官方微信 进群交流
SCI二氧化碳互助群
SCI催化材料交流群
SCI钠离子电池交流群
SCI离子交换膜经验交流群
SCI燃料电池交流群
SCI超级电容器交流群
SCI水系锌电池交流群
SCI水电解互助群
SCI气体扩散层经验交流群
备注【姓名-机构-研究方向】
投稿请联系contact@scimaterials.cn
点分享
点赞支持
点在看

