文 章 信 息
硫酸根柱撑金属-有机框架的孔道环境工程调控用于创纪录的C2H2/CO2高效选择性分离
第一作者:刘星
通讯作者:王珺
通讯单位:南昌大学
研 究 背 景
高纯度乙炔(> 99%)是生产乙烯类和丙烯酸酯类聚合物等化工产品的重要原料。在工业上,乙炔(C2H2)通常是采用甲烷部分燃烧或碳氢化合物热裂解而产生的,其中二氧化碳(CO2)不可避免地共存,严重影响了后续的利用效率。目前从C2H2/CO2混合气体中分离C2H2主要依赖于低温精馏,由于它们极为相似的沸点(C2H2, 189.3 K; CO2, 194.7 K),因此需要消耗极大的能量。
相比之下,采用多孔吸附剂的吸附技术是用于二者分离的一种绿色低能耗的替代方案。然而由于二者具有相似的动力学直径和分子极化率,设计制备同时具有高C2H2吸附容量和C2H2/CO2选择性的MOF吸附剂一直是目前研究中的一个巨大挑战。
文 章 简 介
基于此,王珺教授课题组基于前期的工作积累(J. Am. Chem. Soc., 2020, 142, 9744;Science Advances, 2022, 8, eabn9231;Nat. Commun, 2022, 13, 200;Nat. Commun, 2022, 13, 5515;AIChE Journal, 2023. e17937等);在期刊Advanced Materials (IF: 32.086) 上发表了题为“Engineering Pore Environments of Sulfate-pillared Metal-Organic Framework for Efficient C2H2/CO2 Separation with Record Selectivity”的研究论文。
该研究利用孔道工程调控和电性匹配策略,使用具有较高电负性乙烯键的1,1,2,2-四(吡啶-4-基)乙烯 (TEPE) 和孔径尺寸控制设计制备了具有高负电性孔环境的新型硫酸根盐柱撑超微孔MOFs材料SOFOUR-TEPE-Zn。IAST计算表明SOFOUR-TEPE-Zn在298 K时表现出创记录的分离选择性,为目前报道的最高值 (16833)。动态突破实验进一步证实了其应用的可行性和在不同流量下的良好循环性能。同时,适中的C2H2吸附热有利于吸附剂的高效解吸再生。
在解吸循环中,通过分级吹扫和温和加热,可回收纯度99.5 %的C2H2 (60.1cm3 g-1)或纯度99.99 % 的C2H2 (33.2 cm3 g-1)。模拟变压吸附过程表明,逆流吹扫过程可生产纯度高达99.5+ %的 C2H2 (75.5 cm3 g-1),气体回收率为99.82 %。晶体建模模拟研究揭示了C2H2在晶体孔道中的四个有利吸附位置和致密堆积。
本 文 要 点
要点一:利用孔道工程调控和电性匹配策略构建致密电负性孔环境
利用孔道工程调控和电性匹配策略,使用具有较高电负性乙烯键的1,1,2,2-四(吡啶-4-基)乙烯 (TEPE) 和孔径尺寸控制设计制备了具有高负电性孔环境的新型硫酸根盐柱撑超微孔吸附剂材料SOFOUR-TEPE-Zn。配体取代后,SOFOUR-TEPE-Zn中的C=C部分由于其较高的电负性,在X轴上比SOFOUR-1-Zn中的苯环吸引更多的电子(图1d和1e)。
同时,沿着Z轴,与苯环上暴露的带正电的H原子形成对比(图1g),乙烯键上暴露在孔表面的是带负电的C原子(图1i)。因此,被有机配体夹在中间的层间区域也显示出了电负性的孔表面。结合较小的孔尺寸,成功地在SOFOUR-TEPE-Zn中构建了一个致密的电负性孔环境。
图1. SOFOUR-1-Zn与SOFOUR-TEPE-Zn的结构及孔径尺寸和孔道环境示意图。
要点二:在适中C2H2吸附热条件下,实现平衡的选择性和吸附容量
与SOFOUR-1-Zn相比,SOFOUR-TEPE-Zn在低压区域表现出更高的C2H2吸附,其吸附总量也更高 (图2)。但对二氧化碳的吸附容量却远低于SOFOUR-1-Zn。IAST计算表明SOFOUR-TEPE-Zn在298 K时表现出创记录的分离选择性,为目前报道的最高值 (16833)。同时,适中的吸附热有利于吸附剂的高效解析再生。
图2. SOFOUR-TEPE-Zn的气体吸附行为及选择性和吸附热对比。
要点三:晶体建模模拟揭示C2H2的选择性吸附和致密堆积
模拟研究表明C2H2在框架中有着致密的堆积并显示了四个明显的吸附位置 (图3)。其中,位点Ⅰ-Ⅲ上的C2H2都通过C-H···O键被硫酸根上的氧原子牢牢捕获。同时由于C2H2的致密堆积,在孔隙中观察到了客体之间的相互作用。而框架只能与CO2形成弱的O-C···H范德华相互作用,且由于电性排斥没有发现的CO2有效堆积。明显的主客体电荷转移进一步表明了SOFOUR-TEPE-Zn对C2H2的选择性高效吸附。
图3. SOFOUR-TEPE-Zn上C2H2堆积方式、结合位点以及负载后的框架差分电荷密度。
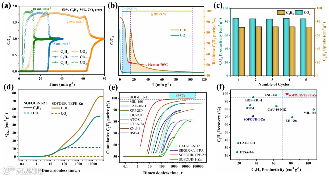
要点四:动态突破实验证实其应用的可行性和良好循环性能
动态突破实验进一步证实了其应用的可行性和在不同流量下的良好循环性能。在不同的流量下进行C2H2/CO2 (50/50,v/v) 混合气体动态突破实验,均未发现分离时间的明显降低,表现出良好的循环性能。在解吸循环中,通过分级吹扫和温和加热,可回收纯度99.5 %的C2H2 (60.1 cm3 g-1)或纯度99.99 % 的C2H2 (33.2 cm3 g-1)。模拟变压吸附过程表明,逆流吹扫过程可生产纯度高达99.5+ %的 C2H2 (75.5 cm3 g-1),气体回收率为99.82 %。
图4. SOFOUR-TEPE-Zn的实际动态突破实验和模拟变压吸附实验。
文 章 链 接
Engineering Pore Environments of Sulfate-pillared Metal-Organic Framework for Efficient C2H2/CO2 Separation with Record Selectivity
https://doi.org/10.1002/adma.202210415
通 讯 作 者 简 介
王珺,南昌大学化学化工学院教授,博士生导师,副院长,江西省“双千计划”入选者,江西省杰青,南昌大学化学工程与技术学科方向带头人。主持国家自然科学基金、江西省自然科学基金等多项项目。从事新型多孔材料的设计和制备,并应用于气体吸附分离、气体光/电高值利用和电化学储能系统研究。
以第一或通讯作者在Adv. Mater., Nat. Commun., Sci. Adv., J. Am. Chem. Soc.,AIChE J., Energy Stor. Mater.,Appl Catal B-Envrion., J. Mater. Chem. A.,Chem. Eng. J.,等高水平杂志上发表SCI论文70篇,其中高被引论文10篇;授权中国发明专利16项,转让并中试实施1项。担任中国化工学会分子识别分离工程专委会委员、Separation and Purification Technology和Chemical Engineering Journal Advances 青年编委;江西省化学化工学会天然产物专业委员会委员和江西省林学会林产化工专业委员会委员。
科 学 材 料 站 招 聘 信 息
科学材料站招聘2023年电催化工程师(二氧化碳还原方向,硕士研究生)
同时招收其他方向研究生(电化学、电池、电镀、电解水、燃料电池、MEA开发等)、本科生(化材专业)、实习生等,详情请咨询!
添加官方微信 进群交流
SCI二氧化碳互助群
SCI催化材料交流群
SCI钠离子电池交流群
SCI离子交换膜经验交流群
SCI燃料电池交流群
SCI超级电容器交流群
SCI水系锌电池交流群
SCI水电解互助群
SCI气体扩散层经验交流群
备注【姓名-机构-研究方向】
投稿请联系contact@scimaterials.cn
点分享
点赞支持
点在看

