文 章 信 息
Mn掺杂Ni-Fe磷化物纳米花高效催化大电流密度电解碱性淡水/海水制氢
第一作者:罗远志,王攀
通讯作者:张改霞*,孙书会*,施志聪*
单位:广东工业大学,加拿大国立科学研究院,加拿大高等工程技术学院
研 究 背 景
电解水制氢是一种非常有潜力的制氢方式,而开发能够在高电流密度(≥500 mA cm-2)下具有优异活性和稳定性的电催化剂对电解水制氢技术的商业应用具有重要意义。另外,海水占据了地球总储水量的96.5%,因此使用海水替代淡水进行电解水制氢将不仅可以节约宝贵的淡水资源,还可以降低制氢成本。但是,在电解海水制氢的过程中,析氯反应(CER)与析氧反应(OER)会在阳极形成竞争,进而降低制氢效率。
此外,海水中的大量氯离子(Cl-)会对催化剂产生不可逆的刻蚀,从而降低催化剂的活性与稳定性。因此,开发能在大电流密度(≥500 mA cm-2)下具有优异活性和稳定性的电解海水催化剂变得非常重要。
文 章 简 介
基于此,来自广东工业大学施志聪教授、加拿大高等工程技术学院张改霞教授和加拿大国立科学研究院孙书会院士合作,在国际知名期刊Chemical Engineering Journal上发表题为“Mn-doped nickel-iron phosphide heterointerface nanoflowers for efficient alkaline freshwater/seawater splitting at high current densities”的研究文章。
该文章报道了利用Mn掺杂和异质界面策略制备Mn掺杂的Ni-Fe磷化物纳米花,其作为双功能催化剂,能够在大电流密度(≥500 mA cm-2)电解碱性淡水/海水制氢中表现出优异活性与稳定性。
图1 Mn掺杂和异质界面策略有效地协同增强Ni-Fe磷化物的电解碱性淡水/海水制氢活性与稳定性
图2 Mn-doped Ni2P/Fe2P 纳米花的SEM、TEM和mapping图
图3 Mn-doped Ni2P/Fe2P 、Ni2P/Fe2P 、Mn-doped Ni2P和Mn-doped Fe2P的XPS Ni 2p、Fe 2p和P 2p图谱
图4 Mn-doped Ni2P/Fe2P 、Ni2P/Fe2P 、Mn-doped Ni2P和Mn-doped Fe2P的XAFS Ni、Fe和Mn K-edge图谱
图5 Mn-doped Ni2P/Fe2P 、Ni2P/Fe2P 、Mn-doped Ni2P和Mn-doped Fe2P在碱性淡水中的析氧性能测试图
图6 Mn-doped Ni2P/Fe2P 、Ni2P/Fe2P 、Mn-doped Ni2P和Mn-doped Fe2P在碱性淡水中的析氢性能测试图
图7 Mn-doped Ni2P/Fe2P 、Ni2P/Fe2P 、Mn-doped Ni2P和Mn-doped Fe2P在碱性海水中的析氧和析氢性能测试图
图8 Mn-doped Ni2P/Fe2P 、Ni2P/Fe2P 、Mn-doped Ni2P和Mn-doped Fe2P在碱性淡水和海水中的全电解水性能测试图
本 文 要 点
要点一:Mn掺杂和Ni2P/Fe2P 异质界面通过优化催化的电子结构而增强催化剂的本征析氧和析氢活性
SEM和TEM图证实了Mn-doped Ni2P/Fe2P 纳米花形貌,并且Ni2P与Fe2P之间存在明显的异质界面。XPS和XAFS图谱证实了催化剂中的Mn是以+2价的离子状态进行掺杂,并且Ni2P与Fe2P在异质界面处产生了相互作用。Mn和Ni峰位置的正偏移以及Fe峰位置的负偏移表明了Mn掺杂和Ni2P/Fe2P 异质界面能够有效地修饰Mn-doped Ni2P/Fe2P 的电子结构,从而通过调节析氢和析氧过程中反应中间体在活性位的吸附/脱附能,有效地增强了催化剂的本征催化活性。
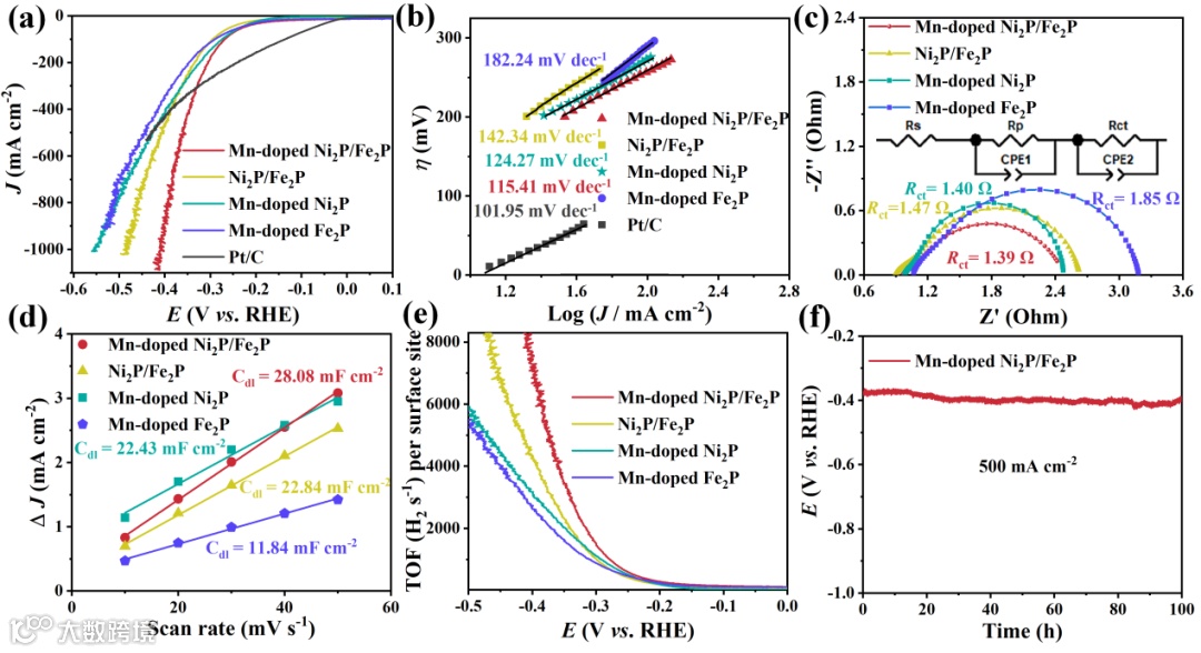
图5a、6a、7a和7b表明了Mn-doped Ni2P/Fe2P 在碱性淡水和海水中均拥有优异的析氧和析氢活性。图5c、5d、6b和6c是催化剂的Tafel图和阻抗图,表明了Mn-doped Ni2P/Fe2P 拥有最好的反应动力学。另外,图5f和6e是催化剂的TOF图,证实了Mn-doped Ni2P/Fe2P 拥有最高的本征析氧和析氢活性。以上数据证实了Mn掺杂和Ni2P/Fe2P 异质界面通过优化催化的电子结构而增强催化剂的本征析氧和析氢活性。
要点二:Mn掺杂和Ni2P/Fe2P 异质界面能够增加催化剂的电化学活性面积
图5e和6d是催化剂的电化学活性面积图(ECSA),表明:相比Ni2P/Fe2P 、Mn-doped Ni2P和Mn-doped Fe2P,Mn-doped Ni2P/Fe2P 拥有最大的ECSA,证明Mn掺杂和Ni2P/Fe2P 异质界面能够协同增加催化剂的ECSA。
要点三:Mn掺杂Ni-Fe磷化物在大电流密度下表现出了优异的析氧、析氢和全电解水活性与稳定性
Mn-doped Ni2P/Fe2P 在碱性淡水中获得1000 mA cm-2的析氧和析氢电流密度,分别仅需335和405 mV的过电势;在碱性海水中获得1000 mA cm-2的析氧和析氢电流密度,分别仅需358和470 mV的过电势,表现出了优异的电解水双功能活性。此外,Mn-doped Ni2P/Fe2P 在碱性海水的500 mA cm-2的高析氧电流密度下稳定运行200小时。
在全电解碱性海水中,Mn-doped Ni2P/Fe2P 仅需2.02 V的池电压就能获得500 mA cm-2的电流密度,并且在该电流密度下能够稳定运行120小时。如此优异的性能归因如下:
(1)三维纳米花结构暴露了丰富的活性位点;
(2)Mn掺杂和Ni2P/Fe2P 异质界面不仅通过优化催化剂的电子结构而增强催化剂的析氧、析氢本征活性,还产生了更多的活性位点;
(3)Ni-Fe磷化物的高抗刻蚀能力给与了催化剂优异的稳定性。
要点四:分析催化剂具有高活性和稳定性的原因
通过分析催化剂在进行500 mA cm-2的析氧和析氢反应稳定性测试后的形貌和组成,探究催化剂的稳定性和活性来源。SEM图证实了稳定性测试后依然保留着纳米花形貌,证实了催化剂具有优异的结构稳定性。XRD和XPS图谱表明:稳定性测试后,Mn2+未发生变化,而Ni2P/Fe2P 在阳极电势下被转化为MOx/MOOH (M=Ni、Fe),在阴极电势下被转化为M(OH)2 (M=Ni、Fe)。
因此,在高的析氧和析氢电势下,Mn-doped Ni2P/Fe2P 能保留它的纳米花结构,但是它的表面组分被分别转化成相应的析氧(Mn-doped MOx/MOOH)和析氢(Mn-doped M(OH)2)活性相(M=Ni、Fe)。
文 章 链 接
Mn-doped nickel-iron phosphide heterointerface nanoflowers for efficient alkaline freshwater/seawater splitting at high current densities
https://www.sciencedirect.com/science/article/abs/pii/S1385894722055413
https://doi.org/10.1016/j.cej.2022.140061
通 讯 作 者 简 介
施志聪教授
主要研究领域:新能源材料、化学电源、电化学测试技术
简介:广东工业大学“百人计划”特聘教授、博士生导师(https://orcid.org/0000-0003-2360-7668),研究方向主要包括:
(1) 新能源材料:石墨烯复合材料,制氢电催化剂,泡沫金属电极等;
(2) 化学电源:锂离子电池,钠离子电池,锂硫电池,固态电池,金属空气电池,镁海水电池,燃料电池等关键材料和技术;
(3) 电化学测试技术:电化学阻抗谱,循环伏安技术,原位电化学-拉曼光谱,原位电化学-红外光谱等。
施教授有多项兼职,是广东省新能源材料与器件工程技术研究中心主任、国际电化学会会员、中国化学会会员、中国化学与物理电源协会专家委员会委员、中国储能与动力电池及其材料专业委员会委员、中国科技部和广东省科技厅“新能源汽车”领域项目咨询和评审专家。
其主持或参与多个纵向和横向项目,例如中国科技部国家重点研发计划项目、国家自然科学基金面上项目、广东省科技厅国际合作项目、广东省科技厅产学研重大专项等,在Advanced Materials、Nano Energy、Energy Storage Materials 、Journal of Materials Chemistry A等著名期刊发表120多篇论文,授权中国发明专利26项。
课题组网页:http://shizhicong.mysxl.cn/
Email: zhicong@gdut.edu.cn
张改霞教授
主要研究领域:新能源转化与存储技术,例如氢能、锂电池、锌空电池、燃料电池等。
简介:加拿大高等工程技术学院Marcelle-Gauvreau 讲席教授,其研究方向包括:
(1) 纳米材料:石墨烯、纳米碳管、氧化物、氮化物、复合材料,非铂和低铂催化剂等;
(2) 清洁能源器件与系统:燃料电池、锂电池、金属空气电池,电解水制氢等;
(3) 原位表征技术:原位同步辐射、原位红外光谱、电化学阻抗等;
(4) 理论计算:DFT, Thermodynamic modeling。
在Energy Environmental Science, Advanced Materials, Advanced Energy Materials, Angew. Chem. Int. Ed, ACS Energy Letters等国际著名期刊上发表论文140余篇,书籍章节10章,同时获得多个美国专利。
课题组网页:
https://www.etsmtl.ca/en/research/professors/gzhang/
Email: gaixia.zhang@etsmtl.ca
【招聘】
课题组目前招收电化学能源(储能电池、燃料电池、氢能等)相关领域的博士生,要求申请者具有材料、化学、或电化学等相关专业背景。
孙书会教授
主要研究领域:功能纳米材料、燃料电池、储能电池、绿色氢能、二氧化碳还原
简介:加拿大工程院院士、加拿大国立科学研究院,能源、材料与通讯研究所教授(终身)、加拿大皇家科学院青年院士;现任国际电化学能源科学院(IAOEES)副总裁、Springer-Nature 旗下期刊Electrochemical Energy Reviews (影响因子为32.8)执行主编,SusMat 副主编,及10余种国际学术期刊的编委。长期致力于功能纳米材料的开发及其在清洁能源存储与转化技术与环境中的应用,包括氢能燃料电池、绿色氢能、金属空气电池、锂金属电池、锂/钠/锌离子电池、二氧化碳转换、及水处理等。
在Nature Communications, Sciences Advances, Advanced Materials, Energy Environmental Science, Advanced Energy Materials, J. Am. Chem. Soc., Angew. Chem. Int. Ed等国际著名期刊上发表论文260余篇,研究成果多次被Nature Nanotechnology, Advanced Energy Materials等期刊选为封面论文或亮点报道。主编专著3部,章节15章,同时获得多个美国专利。
近年来先后荣获国际氢能学会Research Award(2021)、加拿大化学会催化Lectureship Award(2020)、美国电化学会-丰田汽车青年科学家(2017)等。担任加拿大自然科学基金委和欧盟能源项目评审人,中国科学院海外评审专家,中国国家自然科学奖海外评审专家等。
课题组网页:
https://inrs.ca/en/research/professors/shuhui-sun/
Email: shuhui.sun@inrs.ca
第 一 作 者 简 介
罗远志
简介:2020年于广东工业大学材料与能源学院获得工学学士学位。目前在广东工业大学施志聪教授课题组攻读工学硕士学位,主要研究领域为过渡金属基电解水催化剂的制备。
王攀博士
主要研究领域:清洁可再生能源转化与存储,例如电解水制氢、氢燃料电池、锌空电池等。
简介:在2020年获得大连理工大学工学博士学位,随后前往广东工业大学施志聪教授课题组和加拿大国立科学院孙书会教授课题组进行博士后研究。目前已经在Small、Nano-Micro Letters、Chemical Engineering Journal等国际著名期刊发表一作及通讯作者论文多篇,并且获得广东省青年科学基金、广东省青年优秀科研人才国际培养计划博士后项目、广东省燃料电池技术重点实验室开放基金等项目资助。
添加官方微信 进群交流
SCI二氧化碳互助群
SCI催化材料交流群
SCI钠离子电池交流群
SCI离子交换膜经验交流群
SCI燃料电池交流群
SCI超级电容器交流群
SCI水系锌电池交流群
SCI水电解互助群
SCI气体扩散层经验交流群
备注【姓名-机构-研究方向】
投稿请联系contact@scimaterials.cn
点分享
点赞支持
点在看

