文 章 信 息
原位生长碳纳米管以提高质子交换膜燃料电池中Co-N/C催化剂的性能
第一作者:瞿希铭,殷述虎
通讯作者:姜艳霞*,孙世刚*
单位:厦门大学
研 究 背 景
质子交换膜(PEM)燃料电池是高效,清洁的能源转换设备,需要高活性的催化剂才能在阴极进行氧还原反应(ORR)。铂族金属(PGMs)具有最高的ORR活性,目前被用作PEM燃料电池的阴极催化剂。在大规模生产中,它们约占PEM燃料电池总成本的一半,而高成本使其无法大规模应用。
过渡金属-氮/碳(M-N/C)是PGM催化剂的最有希望的替代品,其中Fe-N/C目前已达到可以媲美铂的催化性能,但是它们的耐用性不足以用于实际应用。Co-N/C具有较高的稳定性,然而其催化活性较差。因此,为克服Fe-N/C稳定性差以及Co-N/C活性差的问题,研究者们已经投入了相当大的努力。
文 章 简 介
基于此,厦门大学孙世刚教授、姜艳霞教授在国际知名期刊Chemical Engineering Journal上发表题为“In-situ growth of carbon nanotubes for improving the performance of Co-N/C catalysts in proton exchange membrane fuel cell”的研究文章。
孙世刚教授、姜艳霞教授团队通过精确调节金属-有机骨架前体中反应物的比例,在合成 Co-N/C 催化剂的过程中实现了块状碳纳米管 (CNT) 的原位生长。值得注意的是,致密变形的 Co-N4位点锚定在原位生长的碳纳米管上,改善了膜电极组件 (MEA) 的三相界面和电子电导率。优化的Co-N/C-1/4.4 催化剂具有优异的催化性能 (E1/2:0.781 V, H2-air:0.57 W cm-2) ,并且原位生长的具有高石墨化度的碳纳米管使得催化剂的稳定性显着提高(30,000 次循环后半波电位衰减 10 mV)。
本 文 要 点
要点一:碳纳米管的原位生长
通过控制前体溶液中2-MI的浓度,实现碳纳米管的原位生长 (图1)。前体溶液中2-MI浓度的增加导致在初始阶段形成更多的晶种,并且在随后的晶体生长过程中消耗更多的金属离子更快。然而,溶液中金属离子浓度的快速降低会抑制生成的ZIF晶体的进一步生长,从而减小生成的CoZn-ZIF前驱体的平均粒径。
当金属离子:2-MI达到1:4.4时,可以观察到一定比例的碳纳米管,平均直径约为40 nm,小的Co颗粒被封装在碳纳米管内, AC-HAADF-STEM在原子分辨率下观察到Co-N/C-1/4.4中部分Co-N位点分布在原位生长的碳纳米管上 (图2)。
图1 Co-N/C-1/4.4催化剂的合成示意图
图2 Co-N/C-1/4.4的形貌表征。(a) TEM, (b) EDX mapping, (c-d) HAADF-AC-STEM
要点二:原位生长的碳纳米管有助于锚定变形Co-N4位点
应用同步辐射X射线吸收光谱进一步表征了Co-N/C-1/4.4中Co的原子结构。Co的价态在0和+2之间,区趋于+2,表明其是Co金属和Co2+配位构型共存,且Co2+配位构型偏多。FT-EXAFS拟合结果显示了Co-N/C-1/4.4中Co-N和Co-Co路径的存在,这与AC-STEM的特征一致。
与平面结构的CoPc相比,Co-N/C-1/4.4的Co-N路径呈负偏移,拟合得到的Co-N的平均键长为1.88 Å,略小于CoPc(1.91 Å)。这是由于部分Co-N4位点锚定在碳纳米管上,而碳纳米管的表面具有一定的曲率,导致Co-N4配位构型变形,脱离平面化,使得Co-N键长缩短 (图3)。根据我们之前的研究发现,变形的Co-N4 位点可以增强 O2 吸附和活化,提升Co-N4位点本征催化性能。
图3 Co-N/C-1:4.4的配位环境。(a) XANES, (b) FT-EXAFS, (c)小波变换, (d) 平面对称Co-N4 结构和 (e) 变形的Co-N4结构
要点三:Co-N/C-1:4.4催化剂氧还原性能
Co-N/C-1:4.4催化剂在0.1M HClO4溶液中半波电位达到0.781 V,与未生长碳纳米管的Co-N/C-1:3.8催化剂相比,正移了40 mV,在催化剂热解过程中原位形成的碳纳米管不仅可以锚定部分 Co-N4位点,而且可以使原本平面对称的Co-N4 结构有一定的曲率,进一步提升了ORR活性。然而,该催化剂的H2O2产率较高,而高产率H2O2不仅会引发Nafion膜的降解,还会降低燃料电池效率,因此,如何降低Co-N/C催化剂双氧水产率需要进一步研究。
除活性外,原位生长的碳纳米管具有高的石墨化度,可以有效抑制ORR过程中碳载体的氧化。Co-N/C-1:4.4催化剂在30,000圈加速衰减测试中结构几乎没有改变,半波电位仅衰减10 mV,远低于未生长碳管的Co-N/C-1:3.8催化剂和报道的高性能Fe-N/C催化剂。
图4 Co-N/C-1:4.4催化剂氧还原性能
要点四:Co-N/C-1:4.4催化剂质子交换膜燃料电池性能
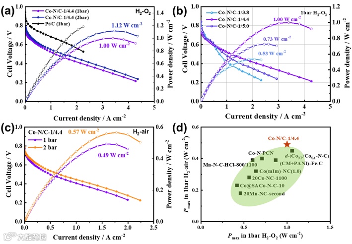
进一步组装膜电极以评估燃料电池性能。阴极Co-N/C催化剂载量为3.5 mg cm-2,2bar H2-O2燃料电池峰值功率密度达到1.12 W cm-2,2bar H2-air燃料电池峰值功率密度达到0.57 W cm-2,是目前Co基催化剂中燃料电池性能最高的催化剂。
显然,碳纳米管的形成可以显著提高Co-N/C催化剂的性能,这是由于致密的Co-N4位点锚定在碳纳米管上,不仅可以增强O2吸附活化,提高Co-N/C催化剂的PEMFC性能,还可以显着增加膜电极组件的三相界面和质子电子电导率,特别是在高电流区域,使得催化剂燃料电池性能达到最优状态。
但是该催化剂还面临着两个难题:一是催化剂本征活性相比于Fe-N/C催化剂较低,使得其在燃料电池开路电压不高,高电压几乎不放电;二是高的H2O2产率使得MEA在稳定性测试期间积累了高浓度H2O2,高浓度的H2O2具有强氧化性,可导致Nafion膜降解,导致稳定性衰减。
图5 Co-N/C-1:4.4催化剂质子交换膜燃料电池性能
要点五:总结
作者通过精确调节金属-有机骨架前体中反应物的比例,在合成 Co-N/C 催化剂的过程中实现了块状碳纳米管 (CNT) 的原位生长。值得注意的是,致密变形的 Co-N4位点锚定在原位生长的碳纳米管上,改善了膜电极组件 (MEA) 的三相界面和电子电导率。
优化的Co-N/C-1/4.4 催化剂具有优异的催化性能 (E1/2:0.781 V, H2-O2:1.12 W cm-2,H2-air:0.57 W cm-2) ,达到目前最高水平,超过了目前所有报道过的Co基催化剂。并且原位生长的具有高石墨化度的碳纳米管使得催化剂的稳定性显着提高(30,000 次循环后半波电位衰减10 mV)。这项工作加深了对含有变形Co-N4位点的CNTs在金属-氮-碳催化剂中重要性的理解,并可能指导未来质子交换膜燃料电池应用的催化剂设计。
文 章 链 接
“In-situ growth of carbon nanotubes for improving the performance of Co-N/C catalysts in proton exchange membrane fuel cell”
https://doi.org/10.1016/j.cej.2023.142054
通 讯 作 者 简 介
孙世刚,中国科学院院士,厦门大学教授,中国化学会副理事长。
中国科学院院士、厦门大学化学化工学院教授、博士生导师、国际电化学会会士、英国皇家化学会会士、获国家杰出青年科学基金、国家自然科学奖二等奖、教育部自然科学奖一等奖、国际电化学会Brian Conway奖章、中法化学讲座奖和中国电化学贡献奖;被评为全国优秀科技工作者、全国模范教师。
任固体表面物理化学国家重点实验室学术委员会主任,中国化学会副理事长。担任J. Electroanal. Chem.、Func. Mater. Lett.、ACS Energy Lett.、NSR、JMCA、EER、J Solid State Electrochem. 、《应用化学》和《高等学校化学学报》编委, Electrochimica Acta、《光谱学与光谱分析》、《化学学报》和《化学教育》副主编、《电化学》主编。研究兴趣包括电催化、表界面过程,能源电化学(燃料电池,锂离子电池),纳米材料电化学。以通讯作者在Science, J Am Chem Soc, Angew Chem Int Ed等期刊发表论文670余篇。
姜艳霞,教授,博士生导师。
厦门大学化学化工学院,教授,博士生导师。近年来研究工作侧重纳米材料、电催化和表面科学的交叉研究,致力于从原子排列结构层次和分子水平研究具有高活性的铂基合金电催化剂对有机小分子氧化和氧还原的反应过程和机理;以及碳基纳米电催化剂的对氧还原的性能,活性位和衰减机制。
主持自然科学基金面上项目5项、对外交流与合作项目1项、福建省自然科学基金项目1项;主持国家自然科学基金联合基金项目合作课题1项;主持国家重点研发计划项目子课题1项;做为骨干参与自然科学基金重点项目2项、“973项目”课题2项、国际(地区)合作与交流项目1项。已在包括Angew. Chem. Int. Ed.、J. Am. Chem. Soc.、Energy Environ. Sci, Applied Catalysis B: Environmental、Nano Energy、ACS Catalysis和Small等期刊上发表SCI收录文110余篇。
第 一 作 者 简 介
瞿希铭 博士研究生
2021年毕业于厦门大学,获得博士学位。师从孙世刚教授﹑姜艳霞教授。主要研究方向为铁基氧还原电催化剂的合成机制及反应机理研究。目前以第一作者身份在Appl. Catal. B Environ. 、ACS Appl. Mater. Interfaces、Chem. Eng. J等高水平学术期刊上发表多篇论文。
殷述虎 博士研究生
2020年毕业于厦门大学,获得硕士学位。现为厦门大学博士研究生,师从孙世刚教授﹑姜艳霞教授。主要研究方向为铁基氧还原电催化剂的合成机制及反应机理研究。目前以第一作者身份在Angew. Chem. Int. Ed.、Energy Environ. Sci.、Chem. Eng. J等高水平学术期刊上发表多篇论文。
课 题 组 介 绍
厦门大学化学化工学院孙世刚教授课题组主要从事电催化、谱学电化学和和能源电化学等研究,侧重原子排列层次的表面结构与性能,以及分子水平反应机理和反应动力学。
研究体系包括:
1、铂、钯、铑等金属单晶电极的电催化性能;
2、运用电化学原位红外反射光谱等从分子水平研究电催化反应机理;
3、高指数晶面/高表面能金属纳米催化剂的电化学控制合成及性能研究;
4、锂/钠离子电池电极材料的结构和性能调控;
5、燃料电池非贵金属催化剂,及生物电化学过程和机理研究。
迄今已在包括Science, J. Am. Chem. Soc., Angew. Chem. Int. Ed., Chem. Soc. Rev., Acc. Chem. Res. 等学术刊物上发表SCI论文500余篇,被他引1万8千多次。“电催化的表面结构效应、设计合成和反应机理研究”成果获2013年度国家自然科学奖二等奖。
科 学 材 料 站 招 聘 信 息
科学材料站招聘2023年电催化工程师(二氧化碳还原方向,硕士研究生)
同时招收其他方向研究生(电化学、电池、电镀、电解水、燃料电池、MEA开发等)、本科生(化材专业)、实习生等,详情请咨询!
添加官方微信 进群交流
SCI二氧化碳互助群
SCI催化材料交流群
SCI钠离子电池交流群
SCI离子交换膜经验交流群
SCI燃料电池交流群
SCI超级电容器交流群
SCI水系锌电池交流群
SCI水电解互助群
SCI气体扩散层经验交流群
备注【姓名-机构-研究方向】
投稿请联系contact@scimaterials.cn
点分享
点赞支持
点在看

