文 章 信 息
基于商业化碳布的3D多功能负极载体用于高性能锂金属电池的研究
第一作者:成方
通讯作者:卢文
单位:云南大学
研 究 背 景
锂金属电池(LMB)作为极具应用前景的下一代高比能二次电池,近年来备受关注。然而,由于金属锂负极特殊的理化性质,导致 LMB在连续的充放电过程中会出现电解质的不断分解、不可控的锂枝晶生长和无限的锂体积变化等问题,极大地限制了LMB的开发应用。因此,需要对LMB的组成及结构进行合理的设计以解决上述问题。尽管现行的诸多改进策略(如电解质工程、界面改性优化、锂载体设计等)可以在一定程度上改善上述弊端并提升LMB的性能,但同时解决LMB存在的上述问题仍具有较大的挑战。
文 章 简 介
基于此,云南大学新型储能研究所卢文教授(通讯作者),成方博士(第一作者),在国际知名期刊J. Mater. Chem. A上发表题为“A 3D multifunctional host anode from commercial carbon cloth for lithium metal batteries”的高性能LMB研究成果。
该研究提出以商业化碳布(CC)载体取代锂负极,对LMB进行无锂负极设计(AFLMB)。通过一种简便高效的改性策略,同时对CC进行KOH蚀刻和氮掺杂,成功地制备了一种3D多功能锂载体负极(KNCC)用于高性能AFLMB。所制备的KNCC兼具较高的比表面积,丰富的介孔缺陷和氮掺杂活性位点,以及优异的亲锂特性。同时,其较高的催化活性能够催化电解质优先还原形成具有均匀锂成核位点的富含Li3N/LiF/N-O的固体电解质界面(SEI)膜。
上述多功能特性协同地降低了KNCC负极的锂成核过电位和表面局部电流密度,有效地引导锂均匀成核和无枝晶锂沉积/剥离,显著地抑制了长循环过程中的电解质分解、锂枝晶生长和锂体积变化,实现了LMB性能的巨大提升。更重要的是,该研究提出的KOH蚀刻/氮掺杂方法可以推广到制备其他金属电池的负极载体,以及用于其他电化学技术(如燃料电池和水分解系统)的高效电催化剂。
本 文 要 点
要点一:KOH刻蚀/氮掺杂改性实现CC比表面积/孔隙率和亲锂特性全面提升
图1:3D多功能KNCC负极载体的制备及作用机理示意图。
图2:KNCC负极载体的理化性质表征分析。(a) XRD, (b) Raman, (c) ~ (d) BET, (e) 氮结构和 (f) 总结合能。
如图1所示,采用一锅法,在水热反应过程中同时对CC(如图1a)进行KOH刻蚀造孔和氮掺杂,在CC纤维表面引入丰富的介孔结构和含氮位点,增加纤维表面活性缺陷,实现CC比表面积/孔隙率和亲锂特性的显著提升(如图1b和图2)。
要点二:KNCC高催化活性及丰富含氮活性位点诱导多功能SEI的形成
图3:KNCC负极载体在沉积不同面容量后的SEM图。
图4:KNCC负极载体成核过电位GCD曲线分析。
如图1c所示,KNCC的高催化活性及均匀分布的表面含氮亲锂活性位点能够催化电解质优先还原形成具有均匀锂成核位点的富Li3N/LiF/N-O功能化SEI膜。再结合3D KNCC的前述多功能特性,协同地降低了锂成核过电位(如图4)和电极表面局部电流密度,有效地引导锂均匀成核,实现无枝晶锂沉积/剥离(如图1d和图3)。
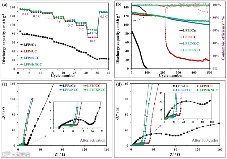
要点三:3D多功能KNCC负极载体实现半电池和全电池性能的全面提升
图5:Li//KNCC半电池电化学性能分析。
图6:LFP//KNCC全电池电化学性能分析。
3D KNCC负极载体的上述多功能特性(较高的比表面积、丰富的介孔缺陷和氮掺杂活性位点、优异的亲锂特性、高催化活性实现的富含Li3N/LiF/N-O的功能化 SEI膜),协同地降低了锂成核过电位(如图4)和电极表面局部电流密度,有效地引导锂均匀成核和无枝晶锂沉积/剥离(如图3),显著地抑制了长循环过程中的电解质分解、锂枝晶生长和锂体积变化,实现了半电池(如图5)和全电池(如图6)性能的全面提升。
基于KNCC负极和高负载商用LiFePO4正极(14 mg cm−2)的AFLMB(LFP||KNCC)全电池表现出优异的倍率性能(10 C/0.1 C容量保持率:65.5%)和循环寿命(1 C循环500次后容量保持率高达86.0%,平均库伦效率96.2%)。
文 章 链 接
Fang Cheng, Xiaoping Yang, Ou Ka, Lang Wen, Xiaoqu Wang, Wen Lu*, A 3D multifunctional host anode from commercial carbon cloth for lithium metal batteries. J. Mater. Chem. A, 2023,
https://doi.org/10.1039/D2TA09182H.
通 讯 作 者 简 介
Wen Lu is currently a professor and the Director of the Institute of Energy Storage Technologies at Yunnan University in China. He obtained his PhD from the University of Wollongong in Australia. His research activities have been focused on the applications of electrochemistry and advanced materials to energy conversion and storage devices, electrochromic devices, electrochemical sensors and biosensors, electromechanical actuators, and environmental remediation devices.
第 一 作 者 简 介
Fang Cheng is currently a postdoctoral research fellow in Institute of Energy Storage Technologies, Yunnan University, China. He received his PhD in 2020 from the School of Chemical Science and Engineering, Yunnan University. His current research interests cover the preparation, understanding and applications of novel electrode materials and electrolytes in energy storage technologies, including lithium-ion batteries, lithium-metal batteries and advanced supercapacitors.
课 题 组 介 绍
云南大学新型储能研究所致力于电化学储能新材料及器件(包括超级电容器、锂离子电池、金属锂电池)的研究及新产品开发。研究所由国家高层次领军人才卢文教授领衔,由国内外知名教授组成专家团队。团队成员的研究成果在Science、Nature等国际顶级期刊上发表论文多篇,应Wiley、CRC、Springer等国际著名出版社邀请编辑出版专著多部,获国际专利多项。研究所配备现代化研究设备,具备研发成果转化的产业化基地。
课 题 组 招 聘
长期招聘专职研究员、博士后研究员、研发工程师、博士研究生、硕士研究生。
科 学 材 料 站 招 聘 信 息
科学材料站招聘2023年电催化工程师(二氧化碳还原方向,硕士研究生)
同时招收其他方向研究生(电化学、电池、电镀、电解水、燃料电池、MEA开发等)、本科生(化材专业)、实习生等,详情请咨询!
添加官方微信 进群交流
SCI二氧化碳互助群
SCI催化材料交流群
SCI钠离子电池交流群
SCI离子交换膜经验交流群
SCI燃料电池交流群
SCI超级电容器交流群
SCI水系锌电池交流群
SCI水电解互助群
SCI气体扩散层经验交流群
备注【姓名-机构-研究方向】
投稿请联系contact@scimaterials.cn
点分享
点赞支持
点在看

