文 章 信 息
基于共聚物模板的TiO2电子传输层自愈式钙钛矿太阳能电池
第一作者:Nakisa Lalpour
通讯作者:Valiollah Mirkhani*,Reza Keshavarzi*,Peng Gao*
单位:伊朗伊斯法罕大学,中科院福建物质结构研究所
研 究 背 景
铅卤化物钙钛矿材料易受环境湿度影响,在潮湿环境中易溶解和降解,如下方反应所示。
文 章 简 介
近日,来自伊朗伊斯法罕大学的Keshavarzi教授与中科院福建物质结构研究所的Peng Gao研究员合作,在国际知名期刊Scientific Reports上发表题为“Self-healing perovskite solar cells based on copolymer-templated TiO2 electron transport layer”的文章。
研究人员指出,无机空穴传输材料(HTMs),如硫化铜铟(CIS),已被应用于钙钛矿太阳能电池(PSCs)中,以改善传统螺旋结构PSCs的稳定性差的问题。然而,CIS-PSC的主要缺点是效率低于Spiro-PSCs。本研究使用聚合物模板的TiO2(CT-TiO2)结构作为电子传输层(ETL),以提高CIS-PSC的光电流密度和效率。与传统的随机多孔TiO2 ETL相比,具有较低折射率的聚合物模板TiO2 ETL可提高光线进入电池的透射率,从而增强光伏性能。有趣的是,CT-TiO2表面上的大量羟基团在钙钛矿中产生了自愈合效应,从而在CIS-PSC中提供了更好的稳定性。制备的CIS-PSC在100mW/cm2下,0.09cm2装置面积下,呈现出11.08%的转化效率(Jsc = 23.35 mA/cm2,Voc = 0.995,FF = 0.477)。此外,这些未密封的CIS-PSC在常温环境下老化90天后,其性能仍保持100%,甚至由于自愈合特性从11.08升至11.27。
图1. (a) 模板化TiO2表面自修复机制 (b) 在修复测试中的钙钛矿膜
本 文 要 点
研究人员发现这种不可逆反应可以通过表面-OH基团和氢键的自愈合逆转。模板TiO2表面的-OH基团可以与甲胺氮上的另一侧和铅卤化物的一侧结合,有助于将甲胺和铅卤化物靠近并再生钙钛矿组分。在远离水蒸气的情况下,薄膜中的PbI2与附近的MAI反应,再生钙钛矿。这与二步合成方法非常相似,解释了快速的自愈合过程。
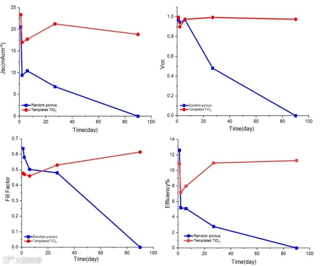
在图1a、b中观察到了钙钛矿在模板TiO2表面的自愈合机制,显示了自愈治疗中钙钛矿膜的图像。从图中观察到,在水喷射和自然干燥之后,钙钛矿膜及其相应器件可以迅速恢复其原始状态和性能。由于其自愈合性能,未密封的CIS-PSC基于CT-ETL在常温环境下老化90天后仍然保持100%的效率,并随着时间的推移从11.08%提高至11.27%。
图2. 在常温环境(25-30°C,相对湿度30%至45%)下,在90天内测量标准TiO2和模板TiO2基CIS-PSCs的光伏参数稳定性。显示Jsc,Voc,FF和效率的演变。
研究通讯作者Reza Keshavarzi表示,具有更多氧空位的模板TiO2层有很大的潜力作为高效且易于制备的ETLs,以诱导PSCs中不稳定铅钙钛矿材料的自愈合性能。
文 章 链 接
Self-healing perovskite solar cells based on copolymer-templated TiO2 electron transport layer
https://www.nature.com/articles/s41598-023-33473-9
通 讯 作 者 简 介
Reza Keshavarzi 教授简介:Reza Keshavarz教授i是来自伊朗伊斯法罕大学的学者。他于2014年在伊斯法罕大学获得化学工程博士学位。目前,他在同一所大学的化学工程系担任助理教授。Keshavarzi博士的研究重点是开发和应用新型材料用于能量转换和存储系统,尤其是在太阳能转换领域。他在Solar RRL、Journal of Materials Chemistry A、Scientific Reports 和Advanced Functional Materials等高影响力期刊上发表了大量的研究论文。他最近的一些研究工作包括开发高效的钙钛矿太阳能电池和利用新型纳米材料用于能量转换和存储应用的研究。除了研究工作外,Keshavarzi博士还涉及到本科和研究生的教学和指导工作。他在伊斯法罕大学的化学工程和可再生能源相关课程中做出了贡献。
Peng Gao 研究员简介:中科院福建物构所研究员,博士生导师,海外gaocengci人才引进计划青年项目入选者。于2010年毕业于德国马普高分子研究所并获得化学博士学位。2011-2015年于洛桑联邦理工学院从事博士后工作,专注于近红外吸收染料及杂化钙钛矿材料设计合成;现任期刊Chemistry of Inorganic Materials 客座编辑,担任期刊“结构化学”青年编委,国际期刊Inorganics编委,担任“厦门市先进半导体镀膜技术研发与应用重点实验室”学术委员会委员。
Peng Gao研究员2017年1月筹建先进功能材料实验室(LAFM),担任研究员和课题组长,专注于用化学手段与稀土元素相结合制备新型半导体材料并应用于能源转换器件。持续获得厦门市双百人才计划,福建省bairen计划,福建省引进海外gaocengci人才B类等人才项目资助。累计发表SCI期刊原创性论文与综述190多篇,受邀撰写书章节6部。其中部分研究成果以第一/通讯作者身份发表在J. Am. Chem. Soc.、Adv. Mater.、Energy Environ. Sci.、Adv. Energy Mater.、Chem. Soc. Rev.、Nature Commu.等权威期刊,多篇论文被选为期刊封面或热点论文。截止目前根据google scholar统计,个人SCI H-index为68, 文章总引用37000余次。2018年-2022年连续五年获评Clarivate Analytics全球交叉学科领域“高被引科学家”。现在拥有20个成员的研究团队。
课 题 组 介 绍
先进功能材料实验室(LAFM)专注能源转换半导体材料的合成及相关器件的制备,致力于解决人类在低碳排放背景下的能源获取技术。
课 题 组 招 聘
先进功能材料实验室(LAFM)长期招聘有科研热情和半导体材料合成表征经验(太阳电池,发光晶体管,热电等)的博士后,有仪器搭建经验者优先。我们的信条是“探索未知,突破极限,艺术科学”。联系邮箱peng.gao@fjirsm.ac.cn.
添加官方微信 进群交流
SCI二氧化碳互助群
SCI催化材料交流群
SCI钠离子电池交流群
SCI离子交换膜经验交流群
SCI燃料电池交流群
SCI超级电容器交流群
SCI水系锌电池交流群
SCI水电解互助群
SCI气体扩散层经验交流群
备注【姓名-机构-研究方向】
投稿请联系contact@scimaterials.cn
点分享
点赞支持
点在看

