研 究 背 景
便携移动设备和电动汽车的快速发展对储能装置提出了新的要求,研究工作者对新型储能装置的探索从未止步(镁离子,锌离子,铝离子电池),但是具有高能量密度和工作电压的锂离子电池目前在市场上依然占据主导地位。
传统的锂离子电池使用的主要是醚类和酯类等有机液体电解质,存在电化学稳定性低,界面副反应严重,易燃、易爆、易泄漏等问题。使用具有高热稳定性的固态电解质代替有机液态电解质可以很好的解决这些问题。此外,固态电解质允许直接使用高理论比容量(3860 mAh g−1)的锂金属代替石墨负极,进一步提高电池的能量密度而无需担心锂枝晶的困扰。
3D打印在储能领域的应用为扩展制造多维/多尺度复杂结构和高性能柔性可穿戴设备提供了新的机遇。在各种3D打印方法中,直接墨水书写技术(DIW) 是一种基于挤出的印刷技术,由于其简单的打印机制和低成本的制造工艺而引起了广泛的关注。与传统的铸造方法相比,DIW技术具有广泛的材料选择,制造的电池更灵活,对不同尺寸的电池具有更好的兼容性。基于聚合物的电解质具有高粘度和低熔点,这使其成为DIW墨水的理想候选者。
基于此,中国地质大学(武汉)夏帆,董轶凡和田晓聪课题组提出了室温3D打印制备PEO-MOF复合固态电解质的通用策略,3D打印制备的复合固态电解质具有显著的锂枝晶抑制效果和优异的电化学性能,为探索新一代固态电池提供了新的灵感。
研 究 工 作 介 绍
Figure 1. Schematic illustration of the universal RT-3DP strategy towards dendrite-free SLMBs.
通用复合固态电解质(HSSE)油墨配方由PEO基体、MOF填料和LiTFSI锂盐组成。墨水由3D打印机按照预设程序打印出来。在PEO基体中引入MOF填料可有效增强Li+的迁移,抑制锂枝晶,提高循环稳定性。纯PEO膜不能抑制枝晶生长,电池循环稳定性较差。
Figure 2. (a) Optical photos of 3D printed electrolytes with different shapes: circular shape, rectangle shape, loop shape, square shape. (b) SEM images of 3D printed PEO/L HSSEs. (c) Cross-sectional SEM image of 3D printed PEO/L HSSEs. (d-f) SEM images of 3D printed PEO/L-5Z HSSEs. (g) Optical photos of 3D printed PEO/L and PEO/L-5Z HSSEs placed at different temperatures for 1 h. (h) Cross-sectional SEM image of 3D printed PEO/L-5Z HSSEs. (i) EDS mapping obtained from Figure (c). (j) EDS mapping obtained from Figure (f). (k) EDS mapping obtained from Figure (h).
图2显示了3D打印的不同形状(圆形、矩形、环形、方形)的复合固态电解质(HSSE)光学照片。与传统涂覆方法相比,3D打印技术可以灵活实现HSSE几何形状的自由定制,为制造复杂、小型化的储能器件结构提供了技术可行性。此外,通过调整挤压压力也可以很容易地制备不同厚度的HSSE。
Figure 3. (a) XRD patterns of ZIF-67 powder and 3D printed HSSEs. (b-c) FTIR spectra of 3D printed HSSEs. (d) TG curves and (e) DSC curves of 3D printed PEO/L and PEO/L-5Z. (f) stress-strain curves of 3D printed PEO/L and PEO/L-5Z electrolytes. (g) Arrhenius plots of 3D printed HSSEs at 25-60 ℃. (h) electrochemical stability of 3D printed PEO/L and PEO/L-5Z. (i) Chronoamperometry of Li//PEO/L-5Z//Li symmetrical cells at 10 mV at 60 ℃. Insets: impedance spectra of corresponding cells before and after polarization. (j) Time/voltage profile Li//PEO/L-5Z//Li symmetrical cell at current densities of 0.1 mA cm−2 under 60 ℃. (k) Magnified Time/voltage profile of Figure d at 692-706 h.
图3是3D打印制备的HSSE的物理和化学表征,包括XRD,红外,热重,DSC, 拉力,离子电导率,LSV,锂迁移数,锂对称电池循环测试。含有5wt% ZIF-67的PEO/L-5Z与不添加MOF材料的PEO/L相比,具有较高的热稳定性,较好的离子电导率(在60 ℃时为2.94×10-4 S cm-1),宽电压窗口(5.0 V)和与锂的良好界面稳定性(在0.1 mA cm-2时,Li//Li对称电池循环超过950小时没有短路)。
Figure 4. (a-c) Surface and cross-sectional SEM images of 3DP PEO/L electrolyte and Li anode after cycling Li//PEO/L//Li symmetric cell for different times. (d-f) Surface and cross-sectional SEM images of 3DP PEO/L-5Z electrolyte and Li anode after cycling Li//PEO/L-5Z//Li symmetric cell for different times.
众所周知,锂枝晶是导致电池短路的主要原因,也是影响锂离子电池安全性和稳定性的严重问题之一,为了研究PEO/L和PEO/L-5Z对锂枝晶的抑制效果,拆解了锂对称电池并通过SEM观察了循环不同时间的锂片和电解质。循环后的PEO/L电解质膜出现明显的裂痕,表面光洁度变差,循环200 h后,PEO/L变得更加粗糙不平整。通过锂片的SEM可以看到明显的锂枝晶生长。而循环后的PEO/L-5Z电解质和循环后的锂片与原始的相差不大,表面稍微粗糙,没有观察到枝晶的生长,表明加入ZIF-67填料可以有效抑制锂枝晶,提高电解质与锂截面的稳定性。
Figure 5. XPS spectrum of 3D printed PEO/L-5Z electrolyte before (a) C 1s (b) O 1s (c) F 1s and after cycling 200 h (d) C 1s (e) O 1s (f) F 1s. Schematic diagram of (g) lithium dendrite growth in PEO/L electrolyte and (h) inhibition in PEO/L-5Z electrolyte.
进一步对循环(200 h)的PEO/L- 5Z和PEO/L(支撑材料)电解质进行XPS测测。循环PEO/L-5Z 电解质的C峰和O峰来自PEO,F峰来自LiTFSI盐。循环200 h后,C 1s谱中288.49 eV出现C-OCO3Li的新峰, O 1s谱中532.15 eV处出现ROLi的峰, F 1s谱中684.20 eV出现LiF的峰。含锂化合物如C-OCO3Li、ROLi和LiF的中间相的形成有助于3D打印PEO/L-5Z HSSE与Li之间的界面稳定。
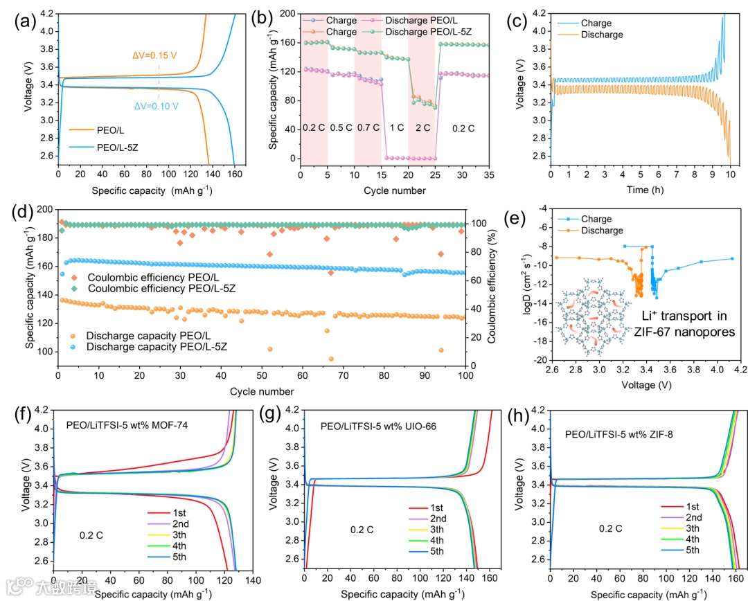
Figure 6. (a) Initial charge/discharge curves of LFP//PEO/L//Li and LFP//PEO/L-5Z//Li cells at 0.2 C under 60 oC. (b) Rate performances and (d) cycling performance of LFP//PEO/L//Li and LFP//PEO/L-5Z//Li cells. (c) Galvanostatic Intermittent Titration Technique curves of LFP//PEO/L-5Z//Li cell tested at 0.2 C (e) diffusion coefficients of Li+ calculated from GITT curve. Charge/discharge curves of (f) LFP//PEO/L-5M//Li, (g) LFP//PEO/L-5U//Li and (h) LFP//PEO/L-5Z8//Li cells.
图6显示了制备的固态电解质与磷酸铁锂组装电池的性能。电池在0.2 C、60 ℃条件下的初始充放电曲线表现出稳定的充放电平台,但PEO/L-5Z的放电容量高于PEO/L(159.5 mAh g-1 vs. 136.4 mAh g-1),且前者极化电压更小(0.10 V vs. 0.15 V)。
图6d为0.2 C下组装电池的循环性能对比,在循环过程中,PEO/L- 5Z的库仑效率始终接近100%,100次循环后比放电容量保持在155.6 mAh g-1,容量保持率为95%。为了证明我们3D打印策略的通用性,还制备了PEO/MOF-74, PEO/UIO-66, PEO/ZIF-8复合固态电解质,电化学性能如图6f-h所示。
综上所述,我们通过通用的室温3D打印策略构建了能够有效抑制枝晶的PEO/MOFs复合固态电解质。室温3D打印平台可灵活实现固态电解质形状、厚度和功能的定制,为未来小型化、柔性可穿戴电子设备的设计提供新的灵感。3D打印的PEO/ZIF-67 固态电解质具有突出的枝晶抑制性能,5.0 V的电压窗口, Li//Li对称电池循环超过950 h,Li//PEO/L-5Z//LiFePO4电池0.2 C下循环100次后容量保持率95%,为探索下一代固态电池提供了新的灵感。
文 章 链 接
Changgang Li, Shuolei Deng, Wenhao Feng, Yaowen Cao, Jiaxuan Bai, Xiaocong Tian*, Yifan Dong*, Fan Xia*, A Universal Room-Temperature 3D Printing Approach Towards porous MOF Based Dendrites Inhibition Hybrid Solid-State Electrolytes, Small, (2023),
https://doi.org/10.1002/smll.202300066
科 学 材 料 站 招 聘 信 息
科学材料站招聘2023年电催化工程师(二氧化碳还原方向,硕士研究生)
同时招收其他方向研究生(电化学、电池、电镀、电解水、燃料电池、MEA开发等)、本科生(化材专业)、实习生等,详情请咨询!
添加官方微信 进群交流
SCI二氧化碳互助群
SCI催化材料交流群
SCI钠离子电池交流群
SCI离子交换膜经验交流群
SCI燃料电池交流群
SCI超级电容器交流群
SCI水系锌电池交流群
SCI水电解互助群
SCI气体扩散层经验交流群
备注【姓名-机构-研究方向】
投稿请联系contact@scimaterials.cn
点分享
点赞支持
点在看

