研 究 背 景
缓慢的析氧反应(OER)和氧还原反应(ORR)动力学严重阻碍了高性能锌空气电池(ZABs)的发展。在各种催化剂中,过渡金属氧化物(TMO)由于其价格低廉和资源丰富,在OER/ORR中显示出巨大的潜在应用。但与贵金属催化剂相比,TMO的整体催化性能仍需进一步提升。
最近的研究表明,金属-氧键,特别是TMO中的结构,密切影响OER/ORR中间体的吸附和解吸,并进一步确定反应动力学,从而对催化性能起着关键作用。例如,理论计算表明,金属-氧键的长度和共价性不仅可以改变电子分布和转移(例如,从氧到金属),还可以调节反应物的结合能,从而控制反应动力学。因此,优化金属-氧键的结构可以提高与氧物种有关的催化活性并进一步促进ZAB的发展,但仍存在重大挑战。
根据经典催化理论,金属-氧共价性和离子性之间的竞争极大影响了催化剂的能带结构以及与中间体的相关化学吸附,这可以由金属-氧键的结构控制。例如,较弱的金属-氧键强度使得化学键趋于共价,从而降低了反应中间体的吸附能,促进了它们的解吸。这些理论表明,金属-氧键的优化涉及催化剂的结构变化,可以通过设计合理的催化剂结构(如晶体结构)进行调整。
研究表明,纳米材料的结晶度在很大程度上与具有柔性结构的长程原子排列有关。非晶态TMOs具有长程无序和各向同性,丰富的随机取向键和缺陷,具有优越的弹性应变空间和更灵活的结构,从而为金属-氧键的可控调节提供了潜在的基础。
此外,具有长程有序特征的晶相可以促进电子转移,我们认为如果将其与非晶态相结合,可能有希望裁剪出独特的金属-氧键结构。因此,从晶体调节的角度来看,结合晶体相的高导电性和非晶相丰富的不饱和配位的非晶/晶异质结构设计,是一种很有潜力的金属-氧键裁剪结构,但仍有待探索。
工 作 介 绍
基于此,同济大学潘争辉教授和华南理工大学丘勇才教授等人(第一作者为博士生叶常春)报道了一种通过合理设计非晶/晶体异质结构裁剪金属-氧键的简易策略,并通过将非晶态CoSnO3-y立方体置于FeCl3乙醇溶液中进行离子交换来进行证明。离子交换过程强化了Sn-O键并削弱了Co-O键强度,并产生额外的Fe-O键,伴随丰富的Co缺陷和适当的氧缺陷浓度,最终形成了具有独特电子结构和配位环境的Fe掺杂非晶/晶体异质结构纳米催化剂(Co1-xSnO3-y-Fe0.021-A/C)。
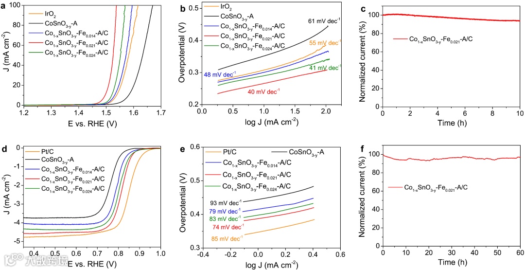
通过对比实验,发现金属-氧键结构的优化以晶体结构的引入为主,而Fe-O键和丰富Co缺陷的引入进一步促进了金属-氧键结构的优化。电化学测试表明,与初始无定形CoSnO3-y相比,Co1-xSnO3-y-Fe0.021-A/C催化剂的OER和ORR过电位分别显著降低84 mV (10 mA cm-1)和63 mV(半波电位)。此外,以Co1-xSnO3-y-Fe0.021-A/C为正极组装的锌-空气电池具有优异的输出功率密度、循环性能和灵活性。
相关成果以“Tailoring metal-oxygen bonds boosts oxygen reaction kinetics for high-performance zinc-air batteries”为题在国际知名期刊Nano Lett. 上发表。
研 究 亮 点
(1) 提出了一种通过简单离子交换实现非晶/晶体异质结构来调整金属-氧键结构的新策略。与之前报道的策略(掺杂、缺陷等)相比,这项工作是首次从晶体调节的角度来剪裁金属-氧键结构,具有简单、方便和大规模应用的优点。
(2) 揭示了金属-氧键结构的调控机制。非晶态CoSnO3中晶体结构的引入主导了金属-氧键结构的剪裁,而Fe-O键和丰富钴缺陷的引入进一步促进了这一裁剪过程。
(3) 通过调整金属-氧键结构显著促进了OER/ORR的催化活性
图 文 导 读
Figure 1: Synthesis and structural characterization of different electrocatalysts. (a) Schematic illustration for the synthesis of Co1-xSnO3-y-Fez-A/C. (b) XRD patterns of the CoSnO3-y-A and Co1-xSnO3-y-Fez-A/C. TEM image of (c) CoSnO3-y-A and (d) Co1-xSnO3-y-Fe0.021-A/C. (e) High resolution TEM (HRTEM) image of Co1-xSnO3-y-Fe0.021-A/C sample, and the corresponding FFT patterns of the selected regions marked by the (f) blue and (g) yellow squares, respectively. (h) STEM image and the corresponding energy-dispersive X-ray spectroscopy (EDS) elemental mappings of Co1-xSnO3-y-Fe0.021-A/C sample.
Figure 2: Characterization of the electronic structure of the catalyst surface interface. (a) Raman spectra for the prepared catalysts. XPS spectra of prepared catalysts: (b) Co 2p, (c) Sn 3d and (d) O1s. Normalized (e) Co K-edge and (f) Fe K-edge XANES spectra of CoSnO3-y-A, Co1-xSnO3-y-Fe0.021-A/C and selected reference materials.
Figure 3: OER/ORR activities. (a) OER polarization curves and (b) Tafel curves for different catalysts. (c) The chronoamperometric response at a constant overpotential of 265 mV versus standard hydrogen potential. (d) ORR polarization curves and (e) Tafel curves at scanning rate of 5 mV s-1 and rotation rate of 1600 rpm. (f) The chronoamperometric response at a constant overpotential of 580 mV versus standard hydrogen potential.
Figure 4: zinc-air battery performance. (a) Schematic of rechargeable liquid Zn-air battery configuration. (b) Polarization and power density curves of Co1-xSnO3-y-Fe0.021-A/C compared with Pt/C+IrO2 catalyst. (c) Galvanostatic discharge curve of the battery based on Co1-xSnO3-y-Fe0.021-A/C at 5 mA cm-2. (d) Cyclic stability of Zn-air battery at 5 mA cm-2. (e) Demonstration of two liquid ZABs in series to power a fan. (f) Schematic of flexible solid-state Zn-air battery. (g) Galvanostatic charge and discharge profiles under different bending angles at 2 mA cm-2. (h) Photograph of a flexible battery to drive LED lights.
结论
作者报道了一种在FeCl3乙醇溶液中进行离子交换实现非晶/结晶异质结来精确裁剪金属-氧键的简单策略。详细的表征证实,离子交换诱导的非晶/晶体结构增强了Sn-O键,并削弱了Co-O键强度,还引入了额外的Fe-O键,伴随着丰富的钴缺陷和最佳的氧缺陷,具有较大的孔隙结构和比表面积。金属-氧键结构的优化以晶体结构的引入为主,而Fe-O键和丰富Co缺陷的引入进一步促进了金属-氧键结构的优化。因此,Co1-xSnO3-y-Fe0.021-A/C的OER和ORR过电位分别比原始无定形CoSnO3-y显著降低了84 mV (10 mA cm-1)和63 mV(半波电位)。
深入研究发现,由非晶/晶体异质结构诱导的金属-氧键结构的优化(包括键强度的调整和Fe-O键的引入)提高了固有催化性能,而比表面积的增加进一步增加了活性位点的数量,同时Fe-O键的引入与原有的Co位点共同构建了双活性中心,这些因素协同促进了OER/ORR催化性能。基于Co1-xSnO3-y-Fe0.021-A/C的锌空气电池表现出优异的输出功率密度、循环性能和灵活性。这项工作为调控金属-氧键结构提供了新的启示,加深了对金属-氧键结构与催化活性关系的认识。
文 章 链 接
Ye, Changchun, et al. "Tailoring Metal–Oxygen Bonds Boosts Oxygen Reaction Kinetics for High-Performance Zinc–Air Batteries." Nano Letters (2023).
https://doi.org/10.1021/acs.nanolett.3c00053
科 学 材 料 站 招 聘 信 息
科学材料站招聘2023年电催化工程师(二氧化碳还原方向,硕士研究生)
同时招收其他方向研究生(电化学、电池、电镀、电解水、燃料电池、MEA开发等)、本科生(化材专业)、实习生等,详情请咨询!
添加官方微信 进群交流
SCI二氧化碳互助群
SCI催化材料交流群
SCI钠离子电池交流群
SCI离子交换膜经验交流群
SCI燃料电池交流群
SCI超级电容器交流群
SCI水系锌电池交流群
SCI水电解互助群
SCI气体扩散层经验交流群
备注【姓名-机构-研究方向】
投稿请联系contact@scimaterials.cn
点分享
点赞支持
点在看

