文 章 信 息
磷介导策略同步提升碳材料亲锌和亲水性促进锌离子混合超级电容器能量密度
第一作者:陆雯,谢斌斌
通讯作者:胡勇*
单位:浙江师范大学
研 究 背 景
锌离子混合超级电容器,具有储量丰富、氧化还原电位低(-0.76 V vs. SHE)、理论比容量高(820 mAh g-1和5855 mAh cm-3)等优点,被认为是下一代极具发展前景的储能器件之一。由于电容型阴极和锌阳极之间的容量和动力学不平衡,锌离子混合超级电容器的电化学性能远低于预期。碳材料作为一种重要的电极材料,在锌离子混合超级电容器中表现出了无与伦比的优势。但是,原始的碳材料,由于缺乏丰富的亲锌位点以及其自身疏水的表面,阻碍了它们的实际应用。因此,开发具有高容量和快速动力学的高效阴极是非常有必要的。
文 章 简 介
基于此,浙江师范大学胡勇教授课题组在国际知名期刊Small上发表题为“Phosphorus-Mediated Local Charge Distribution of N-Configuration Adsorption Sites with Enhanced Zincophilicity and Hydrophilicity for High-Energy-Density Zn-Ion Hybrid Supercapacitors”的研究论文。在该项工作中,研究人员提出了一种磷介导的策略来同时调控碳材料的亲锌性和亲水性,并结合理论和实验详细阐明了其提升机制。
构筑的N和P共掺杂中空多孔碳纳米纤维(N, P-HPCNFs)显示出优异的电化学性能,在0.2 A g-1条件下具有230.7 mAh g-1的高比容量并且在10000次循环后具有99.74%的循环稳定性。此外,在155.53 W kg-1的功率密度下,获得了高达196.10 Wh kg-1的能量密度,该性能优于大多数的碳基材料。密度泛函理论计算表明,P元素的引入会引起碳材料的局部电荷重新分布,增加吡啶-N的电负性,促进Zn2+的吸附。分子动力学模拟表明,P原子的引入提高了该碳材料的电负性,提供了一个更亲水的微环境,从而提高了电极和电解质界面的反应动力学。这项工作揭示了P物种对Zn2+存储的双重影响,对高性能碳材料的研发具有指导性意义。
本 文 要 点
要点一:N, P-HPCNFs的形貌分析
以SiO2为初始模板,三聚氰胺、植酸为额外氮源及磷源,通过静电纺丝,热解,刻蚀的方法制备了N, P-HPCNFs。通过扫描电子显微镜(SEM)和透射电子显微镜(TEM)对N, P-HPCNFs进行表征,证实了所制备的材料是中空多孔碳纳米纤维以及N和P元素的共同掺杂。
图1 (a) N, P-HPCNFs的合成过程示意图。N, P-HPCNFs的(b) SEM,(c) TEM,(d) HRTEM,(e) STEM,(f-h)元素分布图。
要点二:N, P-HPCNFs的结构及亲水性分析
通过X射线衍射(XRD)、拉曼(Raman)和X射线光电子能谱(XPS)对N, P-HPCNFs结构和价态进行表征,证实了P物种的引入会产生更多缺陷,并且P上的电子将会部分转移给N,改变材料的局部电荷分布。利用接触角测试证实,P物种的存在将会大大改善材料的亲水性。
图2 N, P-HPCNFs和N-HPCNFs的表征:(a) XRD,(b) 拉曼,(c) XPS总谱,(d) C 1s, (e) N 1s, (f) P 2p。(g) N, P-HPCNFs接触角和(h) N-HPCNFs接触角。
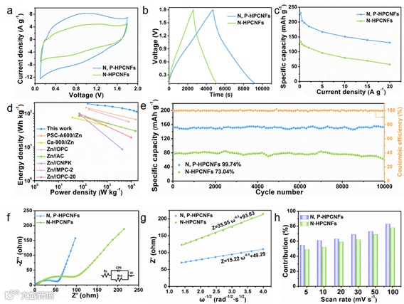
要点三:N, P-HPCNFs组装的锌离子混合超级电容器性能研究
通过电化学测试表明N, P-HPCNFs具有优异的锌离子储能性能。N, P-HPCNFs拥有更快的离子传输动力学,在0.2 A g-1条件下具有230.7 mAh g-1的高比容量并且在10000次循环后具有99.74%的循环稳定性。此外,在155.53 W kg-1的功率密度下,获得了高达196.10 Wh kg-1的能量密度。
图3 N, P-HPCNFs和N-HPCNFs的锌离子存储性能。(a) 30 mV s-1时的CV曲线。(b) 0.2 A g-1时的GCD曲线。(c)不同电流密度下的比容量。(d) Zn//N, P-HPCNFs与已报道的碳基ZHSCs的Ragone图。(e) 10 A g-1时的循环稳定性和库仑效率。(f) EIS。(g)阻抗实部与频率的关系。(h) N, P-HPCNFs和N-HPCNFs在不同扫描速率下的电容贡献。
要点四:增强N, P-HPCNFs的亲水及亲锌性的本质原因
密度泛函理论计算表明,P元素的引入会引起碳材料的局部电荷重新分布,增加吡啶-N的电负性,促进Zn2+的吸附。分子动力学模拟表明,P原子的引入提高了该碳材料的电负性,提供了一个更亲水的微环境,从而提高了电极和电解质界面的反应动力学。
图4 (a-f) 吡啶-N周围不同P位点的N, P-HPCNFs对锌离子吸附的理论计算模型及对应的∆Ea。(g, i) 吡啶-N和(h, l) 吡啶-N-P的电荷密度差分图。(k-m) 吡啶-N和吡啶-N-P对于水的动力学模拟。
要点五:N, P-HPCNFs的储能机理研究
通过非原位XRD、SEM、XPS以及原位阻抗证明其储能机理主要是离子的吸脱附过程且吡啶-N是有利于赝电容的主要N活性位点。
图5 (a) 1 A g-1时的GCD曲线。(b) Zn阳极和(c) N, P-HPCNFs阴极的非原位SEM图像。不同(d)放电和(e)充电过程的EIS。(f) (d)和(e)的Rct拟合结果。N, P-HPCNFs的非原位XPS (g) C 1s和(h) N 1s。(i) N、P-HPCNFs中吡啶-N、吡咯-N、石墨-N、氧化-N的含量。
文 章 链 接
Phosphorus-Mediated Local Charge Distribution of N-Configuration Adsorption Sites with Enhanced Zincophilicity and Hydrophilicity for High-Energy-Density Zn-Ion Hybrid Supercapacitors
https://onlinelibrary.wiley.com/doi/10.1002/smll.202302629
通 讯 作 者 简 介
胡勇教授简介:浙江师范大学二级教授、博士生导师,浙江省“万人计划”杰出人才,浙江省首批“万人计划”科技创新领军人才,浙江省有突出贡献中青年专家。主要从事于先进功能材料与无机合成化学的基础研究,在无机纳米复合结构的构筑方法、组装设计、基于微结构的性能表征、应用探索及协同增强效应等方面取得一定的研究进展。目前已发表SCI论文140余篇 (其中IF>10, 共56篇),ISI检索被他人论文引用10000余次,H因子55,入选科睿唯安2022年度全球“高被引科学家”。其中以通讯作者身份在化学、材料领域国际重要期刊,如:Nat. Commun., Angew. Chem. Int. Ed., Energy Environ. Sci., Adv. Energy Mater., Adv. Mater., Adv. Funct. Mater., Nano Energy, Small, J. Mater. Chem. A, Appl. Catal. B-Environ., Adv. Sci.等上面发表一系列文章,24篇入选ESI高被引论文,6篇入选热点论文,1篇入选2018年中国百篇最具影响国际学术论文,撰写英文著作章节3篇,以第一发明人获得授权发明专利15件,并推动1件专利产业化。主持并完成多项国家自然科学基金和浙江省杰出青年基金,作为第一完成人获浙江省自然科学二等奖2项、浙江省高等学校科研成果奖三等奖1项、中国产学研合作创新奖(个人)1项。作为第一指导教师获第十七届“挑战杯”全国大学生课外学术科技作品竞赛一等奖1项、浙江省第十七届“挑战杯”大学生课外学术科技作品竞赛特等奖1项。
添加官方微信 进群交流
SCI二氧化碳互助群
SCI催化材料交流群
SCI钠离子电池交流群
SCI离子交换膜经验交流群
SCI燃料电池交流群
SCI超级电容器交流群
SCI水系锌电池交流群
SCI水电解互助群
SCI气体扩散层经验交流群
备注【姓名-机构-研究方向】
点分享
点赞支持
点在看

