文 章 信 息
离子/电子双层导电界面结构实现无枝晶固态锂电池
第一作者:张蕾
通讯作者:庄全超*,孙宏宇*,刘延国*
单位:东北大学,东北大学秦皇岛分校,中国矿业大学
研 究 背 景
石榴石型Li6.4La3Zr1.4Ta0.6O12(LLZTO)固态电解质在离子电导率、化学稳定性、电化学稳定性和安全性方面具有显著的优势,因此被认为是非常有吸引力的下一代电解质材料。但是,越来越多的研究表明,LLZTO与锂负极之间的界面接触不良和严重的锂枝晶生长会阻碍其实际应用。理论上,离子/电子(类)双层导电界面的设计是一种有效的解决方案,并且还可以弥补电子导电界面(电子泄漏)、离子导电界面(憎锂、高过电位)和均匀混合离子/电子导电界面的不足。其中,近LLZTO电解质侧的离子导电层提供Li+传输通道并防止电子泄漏,近锂负极侧的电子导电层增强界面接触和均匀锂沉积。因此,设计一种离子/电子(类)双层导电界面以解决界面接触不良和锂枝晶生长问题具有重要意义。然而,这类界面的设计仍然是一个挑战,而且缺乏指导设计准则。
文 章 简 介
近日,中国矿业大学的庄全超教授与东北大学的刘延国教授合作,在国际知名期刊Nano Energy上发表题为“Ion/Electron Conductive Layer with Double-Layer-Like Structure for Dendrite-Free Solid-State Lithium Metal Batteries”的文章。该文章简单的通过在熔融锂中引入ZnF2构建了一个多功能复合锂阳极(LZnF)。LZnF/LLZTO界面呈现出由富LiF层(近LLZTO侧)和富LiZn层(近体锂侧)组成的离子/电子类双层导电结构,实现了界面的紧密接触、稳定的离子/电子传输通道、均匀的锂沉积和锂枝晶的抑制。此外,参考Li-CoF2(LCoF)和Li-CF0.75(LCF)复合锂阳极,进一步提出了离子/电子类双层导电界面的设计准则。这项工作为固态锂电池(SSLMB)的实际应用奠定了基础。
本 文 要 点
本研究采用一种简便的策略,通过在熔融锂中引入ZnF2来构建具有离子/电子导电网络的高性能复合锂阳极。LZnF/LLZTO界面呈现出由LiF(近LLZTO侧)和LiZn合金(近体锂侧)构成的离子/电子类双层导电结构,富LiF层抑制了锂枝晶的形成并确保Li+的传输,富LiZn层增强了界面接触和均匀了锂沉积。基于此,对称电池显示出11.3 Ω cm2的低面积比电阻(ASR),1.3 mA cm−2的高极限电流密度(CCD),以及在0.1 mA cm−2下2000小时或0.4 mA cm−2下1350小时(25 ℃)的优异循环性能。与LiFePO4(LFP)和LiNi0.5Co0.2Mn0.3O2(NCM523)正极匹配的SSLMB显示出出色的电化学性能。在对照实验(LCoF和LCF)的基础上,提出了通过Li−MFx(M=Zn、Co、C、Al等)复合锂阳极形成离子/电子类双层导电界面的设计准则。
要点一:类双层结构的形成
向熔融锂中添加ZnF2粉末构建了LZnF多功能复合锂阳极,采用第一性原理计算、XRD、XPS证实了LZnF由Li、LiF和LiZn组成。相比于纯Li阳极,LZnF改善了对LLZTO的润湿能力,实现了LZnF/LLZTO界面的紧密接触(图1)。
图1. (a) Li-Zn-
体系的三元相图。(b) Li和ZnF2之间的反应能。(c) Li箔、熔融Li、ZnF2粉末和LZnF的XRD。(d) LZnF的F 1s精细谱。(e) 纯Li和LZnF对LLZTO的界面润湿性和接触角的数码照片。(f-i) Li和LZnF与LLZTO的截面SEM图像。
要点二:类双层结构的确定
利用FIB-SEM研究了界面元素的分布,采用理论模拟研究了LZnF中各成分与LLZTO的界面形成能(Ef),并结合TOF-SIMS分析了界面正/负离子的分布,从而确定了LZnF/LLZTO界面呈现出由富LiF层(近LLZTO侧)和富LiZn层(近体锂侧)构成的离子/电子类双层导电结构(图2)。
图2. (a) LZnF与LLZTO的截面FIB-SEM图像。(b-f) 界面元素分布。(g) LiZn和LLZTO的原子结构,以及二者之间的Ef。(h, i) LZnF/LLZTO界面TOF-SIMS正/负离子图。
要点三:对称电池的电化学性能
富LiF层抑制锂枝晶的形成和确保Li+的输运,富LiZn层增强界面接触和均匀锂沉积。因此,LZnF/LLZTO界面实现局部电流密度的均匀分布和Li+在界面和电极内部的高效传输,从而确保均匀的锂沉积和抑制锂枝晶的生长。相比于匹配纯Li的对称电池,匹配LZnF的对称电池表现出低的ASR(11.3 Ω cm2)、高的CCD(1.3 mA cm−2)和优异的Li沉积/剥离性能(0.1 mA cm−2循环2000 h和0.4 mA cm−2循环1350 h)(图3)。
图3. 对称电池在25 ℃下的电化学性能。
要点四:类双层结构的设计准则
在对照实验(LCoF和LCF)的基础上,提出了通过Li−MFx(M=Zn、Co、C、Al等)复合锂阳极形成离子/电子类双层导电界面的设计准则:(1)MFx可以与熔融锂反应,即反应能显著小于0;(2)MFx中的元素M与Li形成合金而不是化合物或纯金属。Li−M合金能够提高对LLZTO的润湿能力和增强Li+的传输动力学;(3)Li−M合金/LLZTO的Ef需高于LiF/LLZTO的Ef。否则,若二者Ef相近,倾向于形成Li−M和LiF随机分布的混合离子/电子导电层;若Li−M合金/LLZTO的Ef远高于LiF/LLZTO的Ef,倾向于形成LiF主导的离子导电层,这两种情况均不能保持长时间的Li沉积/剥离行为(图4)。
图4. 纯锂或复合阳极(LCoF、LCF和LZnF)/LLZTO界面的演变示意图。
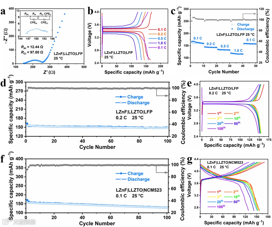
要点五:SSLMB性能
得益于LZnF/LLZTO界面的离子/电子类双层导电结构,匹配LFP正极的SSLMB表现出低的总电阻、高的放电容量、出色的倍率性能和优异的长循环性能(在0.2 C的电流下稳定循环100圈后容量保持率为95%)。同时,匹配NCM523正极的SSLMB的循环性能(在0.1 C的电流下稳定循环100圈后容量保持率为81%)也十分优异(图5)。
图5. LFP和NCM523全电池在25 ℃下的电化学性能。
综上所述,采用一种无需特定设备的简便策略,即通过在熔融锂中引入ZnF2设计一种具有离子/电子传导网络的高性能复合锂负极。ZnF2的加入增强了Li对LLZTO的润湿能力,实现了界面的紧密接触。LZnF/LLZTO界面呈现出由富LiF层(近LLZTO侧)和富LiZn层(近体锂侧)构成的离子/电子类双层导电结构双层结构,实现了均匀的局部电流密度分布和界面或电极内部有效的Li+传输,确保了Li的均匀沉积并抑制了锂枝晶的生长。
正如预期的那样,匹配LZnF的对称电池显示出11.3 Ω cm2的低ASR和1.3mA cm−2的高CCD,并且显示出优异循环稳定性,在0.1 mA cm−2下持续2000小时,在0.4 mA cm−2下持续1350小时。匹配LFP正极的SSLMB在0.1 C具有165.6 mAh g−1的高放电比容量,以及出色的循环性能,在0.2 C循环100圈后容量保持率为95%。此外,匹配NCM523正极的SSLMB在0.1 C稳定运行100圈,容量保持率为81%。更重要的是,参考LCoF和LCF阳极,通过Li−MFx复合锂阳极形成离子/电子类双层导电界面的设计准则。这些准则也有助于设计含有其它转化型无机物包括氧化物(MOx)、硫化物(MSx)、氮化物(MNx)或氯化物(MClx)的复合阳极。这项工作为开发高性能的复合阳极提供了宝贵的参考,以促进SSLMB的实际进展。
文 章 链 接
Ion/Electron Conductive Layer with Double-Layer-Like Structure for Dendrite-Free Solid-State Lithium Metal Batteries
https://doi.org/10.1016/j.nanoen.2023.108573
通 讯 作 者 简 介
庄全超,中国矿业大学材料与物理学院教授,主要致力于锂离子电池和特殊用途锂原电池的电极界面反应机理的电化学阻抗谱研究。先后主持了20多个项目,包括设备预研项目、NSAF联合基金重点项目、NSAF联合基金孵化项目等。主编一本英文专著,持有20多项授权发明专利,发表130多篇SCI论文。
孙宏宇,东北大学秦皇岛分校客座教授,研究兴趣包括能源材料、原位/外围电子显微镜、微加工和可控合成。是美国显微镜协会Robert P. Apkarian奖(物理科学,2018)的获得者。
刘延国,东北大学材料科学与工程学院教授,研究兴趣包括功能性纳米结构和能源科学。发表50多篇论文,并拥有15项储能材料的专利。
第 一 作 者 简 介
张蕾,东北大学材料科学与工程学院博士生。主要研究方向为固态锂电池。以第一作者在Nano Energy、Energy Storage Materials、Materials Horizons期刊发表论文3篇。
添加官方微信 进群交流
SCI二氧化碳互助群
SCI催化材料交流群
SCI钠离子电池交流群
SCI离子交换膜经验交流群
SCI燃料电池交流群
SCI超级电容器交流群
SCI水系锌电池交流群
SCI水电解互助群
SCI气体扩散层经验交流群
备注【姓名-机构-研究方向】
投稿请联系contact@scimaterials.cn
点分享
点赞支持
点在看

