文 章 信 息
阴离子交换膜燃料电池阳极氢气氧化电催化剂的可靠评估方法
第一作者:高飞跃,王业华
通讯作者:高敏锐*
单位:中国科学技术大学
研 究 背 景
过去数十年中,质子交换膜燃料电池(PEMFCs)在汽车领域实现成功应用,但其大规模商业化仍然面临挑战。一个主要原因是酸性环境使得PEMFCs严重依赖铂族催化剂(PGMs)(例如,一辆丰田Mirai汽车含有约36克PGM),从而大幅提高了系统成本。相比之下,碱性膜燃料电池(AEMFC)由于其碱性环境允许使用廉价的非贵金属催化剂,因此成为一种PEMFC潜在的替代方案。然而,在碱性膜燃料电池阳极氢气氧化反应(HOR)端,催化剂的反应动力学速率比酸性条件下降低约两个数量级。
尽管存在挑战,近年来出现了多种高活性和稳定性的铂族金属和基于镍(Ni)的无铂族金属氢氧化反应催化剂。然而,目前文献中报道的HOR催化剂的扩散极限电流密度(jl)通常严重偏离由Levich方程计算出的理论值。此外,文献中通过不同测试方法获得的动力学电流密度(jk)和交换电流密度(j0)值,可能存在精度差的问题。对于无法实现电极旋转的块体催化剂,由于其线性扩散条件导致无法建立稳态条件,准确提取HOR动力学参数面临困难。显然,这些以前被忽视的问题可能会导致碱性HOR催化剂的不准确甚至错误的评估。
文 章 简 介
近日,中国科学技术大学高敏锐教授在国际知名期刊Nano Research上发表题为“Towards reliable assessment of hydrogen oxidation electrocatalysts for anion-exchange membrane fuel cells”的研究文章。该文章分析了jl值偏差的来源,并讨论了如何去除极化曲线中的虚假HOR电流,从而获得“真实”的HOR曲线。通过揭示从Bulter-Volmer方程获得Tafel曲线计算j0值时可能引起不确定性的几个要点,作者提倡使用微极化区域法获得HOR催化剂的j0值。对于不能旋转以建立明确扩散层的块体HOR催化剂,作者建议应用外部搅拌来提供一定程度的强制对流,并使用来自微极化区域法的j0值来比较不同催化剂的HOR活性。本文的分析方法有助于消除HOR催化剂动力学评估中的误差,从而促进高性能碱性HOR催化剂的设计与发展。
图1. HOR对流条件和动力学参数的比较。
本 文 要 点
要点一:平台电流低于理论jl的情况分析
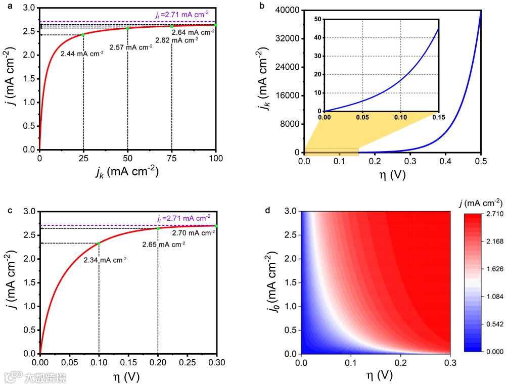
对于电流平台无法达到2.71 mA cm-2的情况,电流平台是由动力学和扩散共同控制,这些电流平台有时会在文献中被错误地归属为jl。图2(a)显示了基于K-L方程的j和jk之间的函数关系。如图所示,具有较大jk的高活性HOR催化剂更容易达到H2质量传输极限。一般来说,jk值由多种因素决定,包括j0、过电位(η)、传递系数和环境温度。对于特定的HOR催化剂,j0和传递系数是固定的,因此jk主要受η的影响。图2(b)展示了Pt催化剂的jk和η之间的函数曲线。图中显示jk与η呈指数关系,表明η对jk值有重要影响。然而,对于一些无PGM的HOR催化剂 (例如Ni基HOR催化剂),应用高η可能会导致表面氧化和催化剂失活。
图2. 平台电流低于理论jl的情况分析。
要点二:平台电流高于理论jl的情况分析
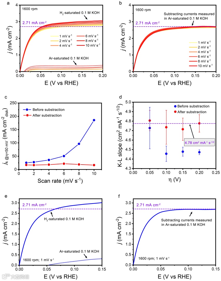
除了小于理论jl值的电流平台外,文献中还报道了一些电流平台高于理论jl值的催化剂。通过实验测试作者发现了两个可能导致这种现象的原因:(1)催化剂的双电层电容干扰,特别是对于具有碳载体的催化剂,可以在双电层中产生充放电电流;和(2)催化剂的表面氧化,从而产生在HOR极化曲线中额外的氧化电流。因此在HOR催化剂的动力学评估中,应当尽可能考虑到这两类情况,并尝试消除HOR虚假电流。
图3. 平台电流高于理论jl的情况分析。
要点三:块体HOR催化剂的动力学评估
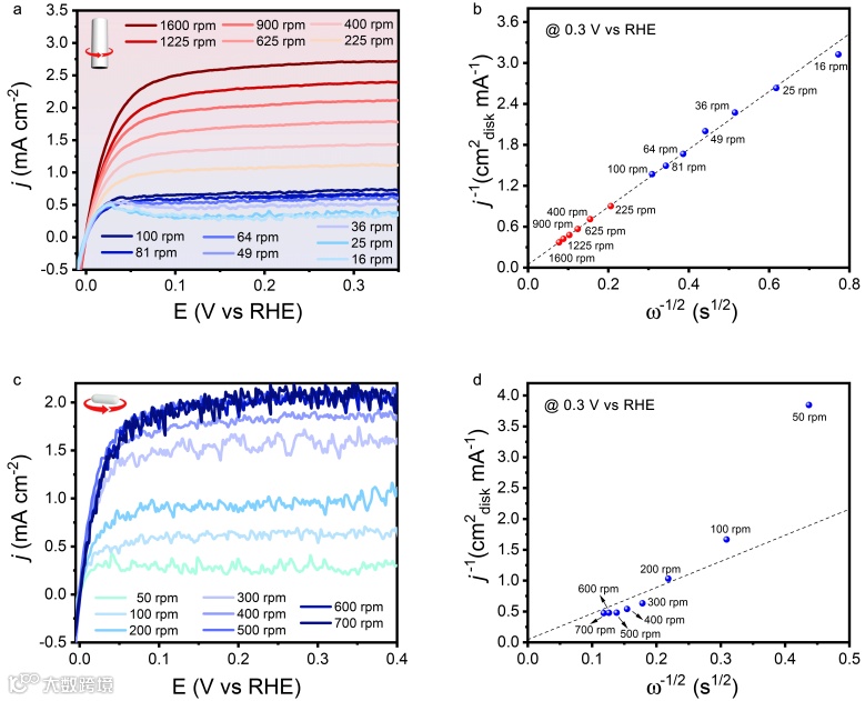
对于近年来出现的高性能块体碱性HER/HOR催化剂,由于无法转化为粉末,因此无法在玻碳电极上用于RDE测试。为了评估HOR性能,通常将块体催化剂直接浸入碱性溶液中作为工作电极进行测试。然而,在测量中缺乏强制对流条件会使得动力学参数的提取变得困难。作者使用铂圆盘电极进行测试,通过简单调整旋转速率可以提供不同程度的强制对流。在低旋转速率下(16到100 rpm),由于强制对流不足,铂圆盘电极表面消耗的H2不能及时补充,导致明显的电流扰动。作者绘制了η为0.3 V时j-1与ω-1/2的函数,通过拟合数据点以获得K-L斜率。作者发现在低旋转速率下获得的数据点严重偏离理论数值,表明在低旋转速率下提取的动力学参数应该是不准确的。
图4. 块体催化剂的动力学分析。
要点四:j0的准确提取
除了上面讨论的jk和jl之外,评估催化活性所用的另一个非常重要的动力学指标是j0,它反映了HOR催化剂的固有活性。j0值可以通过将HER/HOR的动力学电流拟合到Bulter-Volmer方程中来获得。通过在B-V方程获得的Tafel图的线性区域内绘制切线外推,可以确定j0值。然而从Tafel图中外推切线时,文献中选择线性区域非常随意,导致j0的不确定性。在Tafel图的HOR部分,存在明显的线性和非线性区域。具体来说,Pt/C催化剂的Tafel图在η < 0.1 V时呈现非线性曲线,这会导致计算的j0值偏差很大。而在更大的η下,可以获得较为可靠的线性区域。然而对于一些非贵金属Ni基HOR催化剂,表面氧化通常发生在大于0.1 V。因此,通过Tafel分析提取非贵金属催化剂的j0值是不可靠的。
为了准确获取j0数值,作者建议使用微极化区域方法,该方法涉及一个小电位范围内的极化曲线。通过该方法,上述不确定性可以完全避免。为了验证微极化区法的优势,作者测试了Pt/C催化剂在不同温度下的HOR极化曲线,比较使用Tafel分析和微极化区域方法的活化能。结果表明通过微极化区域方法得到的Pt/C催化剂的活化能为21.44 ± 0.46 kJ mol-1,接近文献值29.5 ± 4.0 kJ mol-1。相比之下,从Tafel分析中得到的活化能高达40.01 ± 2.71 kJ mol-1,反映了该方法的不确定性。基于上述讨论和实验结果,可以看出通过Tafel分析获取j0值常常会导致不准确性,作者认为在小过电位区域内,质量传递限制和催化剂氧化可以被最小化,因此微极化区域方法是获取催化剂j0值的可靠途径。
图5. 微极化区域法与Tafel分析法的比较。
要点五:总结
(1) 当电流平台位于理论jl上时,HOR极化曲线通常可能包含电容电流或氧化电流的贡献。可以通过扣除在Ar饱和电解质中测量的CV背景来消除假电流,从而提供“真实的”HOR极化曲线。当电流平台位于理论jl值之下时,它反映了动力学和扩散的共同控制。在这种情况下,由于催化剂缓慢的动力学速率,实际的扩散限制没有达到。
(2) 对于使用固定过电位下的jk值来比较催化剂的HOR活性时,在进行比较之前,应确保jl值的准确性,因为jl值直接影响到K-L方程中的jk值的准确性。同样地,如果研究者想要从K-L图中提取jk值,也应确保K-L斜率的准确性。
(3) 对于使用B-V方程获得HOR催化剂j0值,催化剂表面上的θH在HOR反应中迅速下降。然而,碱性环境中的HOR的B-V方程是基于θH在HOR过程中不会发生显著变化的假设。其次,在通过对Tafel曲线线性外推估算j0时,切点的选择对j0也有很大影响。
(4) 对于无法旋转以建立准确扩散层的新型块体HOR催化剂,准确提取动力学电流具有挑战性。作者建议提供外部搅拌以创建一定程度的强制对流,并使用微极化区域方法中的j0来比较其活性。考虑到块体催化剂的动力学分析的限制,作者还建议研究人员测量活化能来交叉验证催化剂的活性。
文 章 链 接
Towards reliable assessment of hydrogen oxidation electrocatalysts for anion-exchange membrane fuel cells
https://doi.org/10.1007/s12274-023-5792-x
通 讯 作 者 简 介
高敏锐,中国科学技术大学教授,国家杰出青年基金获得者。2012年在中国科学技术大学获博士学位,师从俞书宏院士。2012年至2016年先后在美国特拉华大学、阿贡国家实验室和德国马普协会胶体与界面研究所从事博士后研究。入选国家高层次人才计划青年项目(终期考核优秀)、科睿唯安(Clarivate)和爱思唯尔(Elsevier)中国高被引学者榜单。
高敏锐教授研究方向是基于无机纳米材料结构的可控合成及优化,实现可持续电能在洁净氢以及高附加值燃料分子中的高效、廉价存储及转换。参加工作以来已发表40余篇通讯作者论文,包含Chem. Soc. Rev.(1),Acc. Chem. Rev.(1),Nat. Catal.(1),Sci. Adv.(1),Nat. Commun.(8), Angew. Chem.(8)、JACS(6)、EES(3)和Adv. Mater.(2)等。曾获中国科大海外校友基金会青年教师事业奖(2021)、Energy & Fuels Rising Star(2021)、中国新锐科技人物(2020)、RSC JMCA emerging investigator(2020)、香港求是基金会“杰出青年学者奖”(2018)、中科院院长特别奖(2012)等奖励。现担任中国科协科技人才奖项评审专家(2023-2028)、中国青年科技工作者协会理事(2020)。
添加官方微信 进群交流
SCI二氧化碳互助群
SCI催化材料交流群
SCI钠离子电池交流群
SCI离子交换膜经验交流群
SCI燃料电池交流群
SCI超级电容器交流群
SCI水系锌电池交流群
SCI水电解互助群
SCI气体扩散层经验交流群
备注【姓名-机构-研究方向】
投稿请联系contact@scimaterials.cn
点分享
点赞支持
点在看

