文 章 信 息
理性设计异质结构Ru团簇基催化剂应用于广谱pH析氢反应和高性能锌-水电池
第一作者:唐然然,杨钰
通讯作者:周亦彤*,遇鑫遥*
单位:安徽大学
研 究 背 景
电解水制氢被认为是最有前景的制氢技术之一。钌(Ru)基材料是一类非常有前景的析氢反应(HER)催化剂。将Ru的尺寸降低为团簇可以大大提高原子利用率,但会导致过强的Ru-H结合,使得氢气难以析出。另一方面,Ru团簇的水解离能力较差,导致其在碱性和中性中的HER活性不理想。此外,开发高效的pH通用型电催化剂可以降低生产成本。
文 章 简 介
近日,来自安徽大学的遇鑫遥教授团队,在国际知名期刊Advanced Functional Materials上发表题为“Rational Design of Heterostructured Ru Cluster-Based Catalyst for pH Universal Hydrogen Evolution Reaction and High-Performance Zn-H2O Battery”的观点文章。提出了一种通用的设计策略,即通过寻找具有高功函数和促进水解离动力学的载体来提高Ru团簇的广谱pH活性。所制备的Mo2C-Ru/C异质结构电催化剂表现出较好的广谱pH活性。在碱性电解液中,在电流密度为10 mA cm-2时的过电位仅为22 mV,Tafel斜率只有25 mV dec−1。在碱性海水、中性和酸性溶液中,Mo2C-Ru/C催化剂也表现出较好的HER活性和稳定性。
本 文 要 点
一、DFT理论预测表明,引入具有高功函数的Mo2C载体可以调节Ru团簇的局部电子结构,优化H的吸附并促进水解离动力学。
二、 制备的Mo2C-Ru/C催化剂具有优异的广谱pH活性,在碱性电解液、碱性海水、中性和酸性溶液中均具有较好的HER活性和稳定性。
三、将Mo2C-Ru/C催化剂用作阴极材料,组装成Zn-H2O电池以及Zn-H2O/Zn-O2 杂化电池,实现了用时发电和制取氢气,具有高功率密度和优异的稳定性。
图 文 解 析
理论计算研究表明,引入具有高功函数的Mo2C载体后可有效调节Ru团簇的局部电子环境,优化H*吸附的吉布斯自由能。Mo2C还可以促进H2O解离,并通过氢溢流增加Ru位点上的H覆盖率,确保Ru团簇在碱性和中性介质中的HER活性得到提升(图1)。
图1. 密度泛函理论计算
在DFT计算启发下所制备的Mo2C-Ru/C异质结催化剂呈现出花状微球结构,Mo2C纳米颗粒和Ru团簇锚定在碳纳米片。HAADF-STEM测试表明Ru、Mo、和C元素在Mo2C-Ru/C催化剂上均匀分布(图2)。
图2.Mo2C-Ru/C的表征分析
与Mo2C相比,Mo2C-Ru/C的Mo 3d XPS光谱向低能量端偏移。与Ru/C相比,Mo2C-Ru/C的Ru 3p XPS光谱向更高能量端偏移,表明电子从Ru向Mo2C转移。这种现象与DFT计算结论一致(图3)。
图3. Mo2C-Ru/C的XPS表征
Mo2C-Ru/C的电催化性能明显优于Ru/C和Mo2C/C,甚至优于商用Pt/C。在电流密度为10 mA cm-2时的过电位仅为22 mV,且具有较小的Tafel斜率(25 mV dec-1)。在过电位为100 mV时的质量活性为26.37 A mgRu-1,是商用Pt/C的22.9倍。同时,其电催化活性也优于大多数文献报道的Ru基催化剂。Mo2C-Ru/C与Ru/C和Mo2C/C相比显示了最低的电荷传递电阻,进一步证明了Mo2C-Ru/C具有较好的电荷转移动力学。同时,Mo2C-Ru/C也展现出色的电化学稳定性(图4)。
图4. Mo2C-Ru/C在碱性溶液中的HER性能
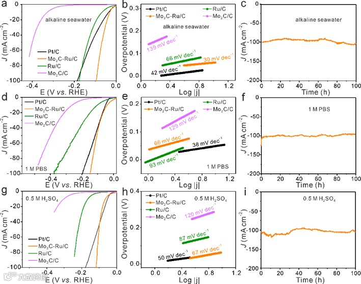
Mo2C-Ru/C在碱性海水、中性和酸性溶液中均表现出优异的HER活性以及较小的Tafel斜率。同时,在三种不同电解液中也表现出优异的稳定性(图5)。
图5. Mo2C-Ru/C在碱性海水、中性和酸性溶液中的HER性能
分别以Mo2C-Ru/C和Zn箔为阴极和阳极材料组装的碱性-酸性Zn-H2O电池具有较高的放电功率密度(54 mW cm-2)和放电容量(780 mAh g-1)。组装的Zn-H2O/Zn-O2杂化电池具有2.16 V的高开路电压, 峰值放电功率密度达280 mW cm-2,可以点亮一个LED灯。同时,Zn-H2O/Zn-O2杂化电池具有较好的放电稳定性(图6)。
图6. Zn-H2O电池示意图及性能
总 结 与 展 望
总之,本工作提出了一种通用的设计策略来提高Ru团簇广谱pH下的HER活性。通过选择Mo2C作为模型,DFT计算首先预测引入具有高功函数的Mo2C可有效调节Ru团簇的局部电子环境,优化H*的吸附。Mo2C还可以促进H2O解离,并通过氢溢流增加Ru位点上的H覆盖率,确保Ru团簇在碱性和中性介质中的HER活性得到提高。在理论计算的指导下,制备出异质结构Mo2C-Ru/C催化剂,在碱性、碱性海水、中性和酸性溶液中均表现出高活性和良好的稳定性。基于Mo2C-Ru/C的碱性-酸性Zn-H2O和Zn-H2O/Zn-O2杂化电池具有较高的放电功率密度以及优异的稳定性。选择具有适当功函数和促进水解离动力学的有效载体的概念为理性设计高性能pH通用型HER催化剂提供了新的思路。
文 章 链 接
Rational Design of Heterostructured Ru Cluster-Based Catalyst for pH Universal Hydrogen Evolution Reaction and High-Performance Zn-H2O Battery
https://doi.org/10.1002/adfm.202301925
通 讯 作 者 简 介
遇鑫遥 教授简介:安徽大学材料科学与工程学院教授,安徽省杰出青年基金获得者,“科睿唯安”全球高被引科学家(2019-2022),“爱思唯尔”中国高被引学者(2021、2022),《Rare Metals》青年编委。设计和开发了多种新型电催化剂,系统研究了电催化剂在合成氨、锌-空电池、电解水制氢、过氧化氢合成等领域中的应用,开发了多种原位电化学谱学表征手段和DFT理论计算方法。以第一或通讯作者(含共同)在Adv. Mater.、Matter、Angew. Chem. Int. Ed.、Energy Environ. Sci.、Adv. Energy Mater.、Adv. Funct. Mater.等国际重要期刊发表多篇论文。作为负责人主持和完成国家自然科学基金面上和青年项目、安徽省自然科学基金杰青项目等多项国家和省部级项目。
周亦彤 博士简介:安徽大学物质科学与信息技术研究院讲师。2021年博士毕业于吉林大学材料科学与工程学院,师从蒋青教授。主要以第一性原理计算为研究手段,与实验工作者合作进行新能源材料的设计与性能研究,在氢能源燃料电池催化催化剂,储氢材料催化剂、锂电池、超级电容器等领域开展了一系列的基础性研究。以第一作者/通讯作者(含共同)在Nat. Commun.、Research、Adv. Mater.、Adv. Energy Mater.等国际期刊发表多篇研究论文。作为负责人主持安徽省教育厅自然科学项目-重点项目1项。
第 一 作 者 简 介
唐然然 简介:现为安徽大学物质科学与信息技术研究院遇鑫遥教授课题组博士研究生,研究方向为电催化水分解制氢。
杨钰 简介:安徽大学文典学院大四本科生。
课 题 组 介 绍
课题组简介:主要研究方向包括电催化分解水制氢、O2还原合成H2O2、CO2还原、硝酸根还原合成氨、锌-空气电池、水系锌离子电池等。
https://www.x-mol.com/groups/yuxinyao
添加官方微信 进群交流
SCI二氧化碳互助群
SCI催化材料交流群
SCI钠离子电池交流群
SCI离子交换膜经验交流群
SCI燃料电池交流群
SCI超级电容器交流群
SCI水系锌电池交流群
SCI水电解互助群
SCI气体扩散层经验交流群
备注【姓名-机构-研究方向】
投稿请联系contact@scimaterials.cn
点分享
点赞支持
点在看

