文 章 信 息
亲锌活性位点调控微空间电场实现无枝晶锌负极
第一作者:范文杰
通讯作者:王焕磊*,吴敬一*,余桂华*
第一通讯单位:中国海洋大学
研 究 背 景
考虑到锂离子电池中有机电解液的安全性以及锂金属的成本问题,水系锌离子电池因其安全性高、经济效益好、环境友好等优点,被认为是下一代储能技术的重要候选者。但是,水系锌离子电池中锌负极/电解液界面存在的固有不均匀性所导致的不均匀的电场分布和形核能垒,加剧了锌负极表面的枝晶生长和副反应的发生,降低了电池系统的库伦效率和循环寿命,这严重阻碍了水系锌离子电池的商业化应用。所以,通过调节锌负极表面的微空间电场来促进均匀的锌金属沉积对于构建高性能金属锌负极是具有重要意义的。
文 章 简 介
近日,中国海洋大学吴敬一教授、王焕磊教授与美国德州大学奥斯汀分校余桂华教授合作,在国际知名期刊Advanced Materials上发表题为“Atomic Zincophilic Sites Regulating Microspace Electric Fields for Dendrite-Free Zinc Anode”的研究性文章。该研究报道了负载金属钴单原子的碳纳米片(CoSA/C)作为电解液添加剂,用于调节锌-电解液界面的微空间电场,以此构建了高性能的锌金属负极,本项工作为构建高性能水系锌离子电池提供了简单且高效的策略,同时该设计概念在其他金属电池中也具有潜在的应用前景。
本 文 要 点
要点一:具有原子级分散的Co-N3位点的CoSA/C添加剂的设计与合成
在柠檬酸铵和氯化钴的辅助下,通过两步热解合成了具有原子级分散的Co-N3位点的碳纳米片。预碳化过程同步形成了富含缺陷的碳纳米片和分散的Co单原子,其中钴盐催化了碳的石墨化过程,并且挥发的Co相被碳缺陷位点所捕获。随后的氨气气氛下退火使得单个Co原子转化为Co-N3活性位点。相关的材料表征证实了金属Co以原子级别的形式分散在碳基体中而并不是以纳米颗粒或者团簇,并且金属Co与氮进行配位形成了Co-N3活性位点 (图1)。
图1. 具有原子级分散的Co-N3活性位点的CoSA/C添加剂的材料表征
要点二:揭示原子级分散的亲锌位点对微空间电场的动态调控
密度泛函理论计算表明CoSA/C添加剂相较于H2O和Zn2+对锌金属表现出较强的亲和力,可以在锌金属沉积过程中优先吸附在锌负极表面。值得注意的是,在沉积过程中吸附在锌金属表面的CoSA/C添加剂在电位反转后可以重新分散到电解液中,从而实现了动态和可持续的调节过程。添加剂中原子分散地Co-N3活性位点具有良好的亲锌性和较强的电荷极化效应,COMSOL模拟结果表明Co-N3活性位点可以重新分配界面处的微空间电场和调节离子通量,从而诱导均匀的锌沉积。
图2 亲锌位点对微空间电场的动态调控的机理研究
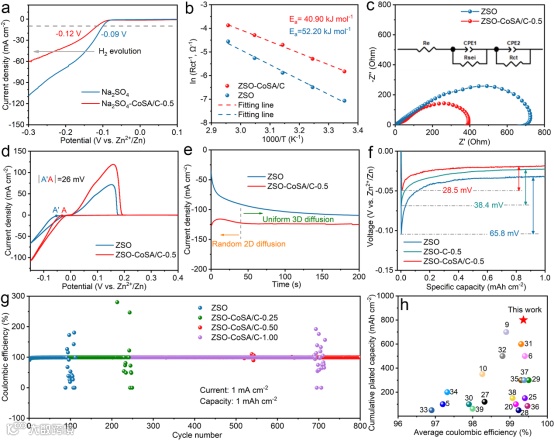
要点三:CoSA/C添加剂对锌沉积影响的实验验证
实验测试结果表明痕量CoSA/C添加剂的使用抑制了电解液中的水分解反应和锌金属的腐蚀行为,并且降低了Zn2+去溶剂化的活化能,促进了离子和电子的传输过程。因此,使用CoSA/C添加剂的Zn//Cu非对称电池在800个沉积/剥离循环中表现出99.42%的平均库伦效率,Zn//Zn对称电池在10 mA cm-2的高电流密度下可以稳定循环超过1600 h(累计沉积容量为 8 Ah cm-2),此性能与已有的文献对比也表现出良好的竞争力。结合理论计算和实验验证,原子分散的Co-N3位点表现出良好的亲锌性,有效地促进了形核和沉积动力学。此外,Co-N3位点的电荷极化效应有助于调节Zn-电解质界面的微空间电场,从而促进均匀沉积,所以,CoSA/C添加剂助力了高性能锌金属负极的构建。
图3 锌负极在不同电解质中的电化学行为表征
图4 锌负极在不同电解液中的电化学性能和形貌表征。
要点四:CoSA/C添加剂在实用水系锌基器件中的可行性评价
借助商用V2O5和活性炭作为正极,使用含有CoSA/C添加剂的电解液组装了水系锌基器件。电化学性能测试表明CoSA/C添加剂的使用给两种器件的倍率和循环性能均带来了提升,材料表征显示其明显地抑制了枝晶生长和副产物产生。此外,含有CoSA/C添加剂的Zn//V2O5袋状电池也表现出优异的可循环性,并可以为LED灯板或迷你风扇供电,表明了CoSA/C添加剂的实际应用潜力。
图5 使用含有CoSA/C添加剂电解液组装的Zn//V2O5和Zn//AC器件的电化学性能
文 章 链 接
“Atomic Zincophilic Sites Regulating Microspace Electric Fields for Dendrite-Free Zinc Anode”
https://onlinelibrary.wiley.com/doi/abs/10.1002/adma.202307219
通 讯 作 者 简 介
吴敬一 教授简介:山东省泰山学者青年专家。2019年获得华中科技大学博士学位。2019-2022年分别于华中科技大学和德州大学奥斯丁分校从事研究工作,2022年加入到中国海洋大学材料科学与工程学院。主要从事新型复合材料的设计及其在下一代二次电池中的应用,包括金属负极界面与结构设计、固态电解质与电解液优化、电极微结构调控等。
王焕磊 教授简介:山东省高等学校“人才引育”创新团队和山东省泰山学者青年专家。2011年博士毕业于中国科学院上海硅酸盐研究所,随后在加拿大阿尔伯塔大学从事博士后研究,2014年加入中国海洋大学。长期从事碳基材料制备及其电化学能量存储与转化方面应用研究,在超级电容器、二次电池、混合电容器、锌空电池等领域具备丰富的实践经验。
余桂华 教授简介:美国德克萨斯大学奥斯汀分校材料科学与工程系,机械系终身教授,美国材料研究学会会士(FMRS),英国皇家化学学会会士(FRSC)和皇家物理学会会士(FInstP)。余桂华教授团队的研究重点是新型功能化纳米材料的精确设计和绿色合成,尤其是对能源和环境凝胶材料的开创性研究,对其化学和物理性质的表征和探索,以及推广其在能源,环境和生命科学领域展现重要的技术应用。
添加官方微信 进群交流
SCI二氧化碳互助群
SCI催化材料交流群
SCI钠离子电池交流群
SCI离子交换膜经验交流群
SCI燃料电池交流群
SCI超级电容器交流群
SCI水系锌电池交流群
SCI水电解互助群
SCI气体扩散层经验交流群
备注【姓名-机构-研究方向】
投稿请联系contact@scimaterials.cn
点分享
点赞支持
点在看


