文 章 信 息
通过阴离子受体诱导晶体平面生长与均匀致密SEI实现稳定的水系锌电池
第一作者:王鑫钰
通讯作者:马龙涛*,黄海涛*
单位:华南理工大学,香港理工大学
研 究 背 景
尽管锌阳极和水电解质具有固有的安全性、丰富的资源和低廉的成本,但可充电水系锌电池仍然受到循环性不足和严重的寄生副反应的阻碍(即枝晶生长、析氢反应、腐蚀)。构建可靠的固-电解质界面(SEI)和/或控制晶体生长可以有效地提高锌阳极的可逆性和减轻副反应。本文提出了一种咪唑烷化尿素(IU)阴离子受体,该受体在一系列水溶液(即2 m ZnSO4、2 m Zn(OTf)2和2 m Zn(BF4)2)中同时控制双电层(EDL)吸附、Zn2+体溶剂化结构和氢键网络,以实现均匀的SEl和Zn(002)平面的优先生长。2 m的ZnSO4(IU)0.25水溶液电解质形成了层状结构、坚韧的SEI,内部为无机ZnCO3/ZnSx,外部为有机C-H/C-C组分。同时,它迫使Zn2+离子沉积在(002)平面上,形成一个平面致密的沉积层。ZnllZn对称电池表现出优异的可逆性和超过1500 h的长期稳定性。ZnllCu对称电池工作超过2000次循环,库仑效率>99%。更重要的是,高面积容量(~5.7 mAh cm-2)的ZnllBr2全电池在Zn利用率为84.03%的条件下,以~100%的库仑效率持续运行300次,容量保持率为94.6%。这项工作为提高锌金属阳极的可逆性和开发高性能水系锌电池提供了一条途径。
文 章 简 介
近日,来自华南理工大学马龙涛教授、香港理工大学黄海涛教授等人合作,在国际知名期刊Energy & Environmental Science上发表题为“Preferred Planar Crystal Growth and Uniform Solid Electrolyte Interface Enabled by Anion Receptor for Stable Aqueous Zn Batteries”的研究文章。该研究文章提出了一种咪唑烷基脲(IU)阴离子受体作为锌离子电池电解液添加剂,分析了IU分子对EDL电双层的吸附、Zn2+溶剂化结构的调控、电解液氢键网络的重构以及SEI的均匀生成,从而在高面容量的锌溴电池中展现优异循环性能。
构建动态EDL的机理和水基电解质的结构演变示意图。传统的H2O网络是由氢键连接的。加入IU分子后,由于IU与水之间的强相互作用,氢键网络被重构。
本 文 要 点
要点一:电解液的计算模拟
从分子动力学模拟结果可知,IU分子的加入调整了Zn2+的溶剂化结构,对H键的统计结果也表明自由水分子的活性受到了限制,氢键网络发生了重构,有效的抑制了副反应的发生。LSV结果验证了添加IU后,电化学稳定窗口被拓宽,锌离子迁移能力明显提升。
图1.(a) DFT计算的Zn2+与IU、H2O和IU与H2O、SO42-、OTf-、BF4-的结合能。插图是相应的结构。(b) [Zn(H2O)6]2+和[Zn(H2O)4(IU)]2+的HOMO-LUMO能级。插图显示HOMO和LUMO等面(等值:0.02 a.u.)。(c) [Zn(H2O)6]2+和[Zn(H2O)4(IU)]2+的ESP图。(d) ZnSO4(IU)0.25, (e) Zn(OTf)2(IU)0.25, (f) Zn(BF4)2(IU)0.25的MD模拟快照以及典型Zn2+溶剂化结构的相应放大视图。(g) ZnSO4(IU)0.25-H2O, (h) Zn(OTf)2(IU)0.25-H2O, (i) Zn(BF4)2(IU)0.25-H2O电解质Zn-O/Zn-F径向分布函数(RDF) g(r)(实线)和配位数n(r)(虚线)。(j)强氢键、弱氢键和非氢键的含量;(k) MD模拟中不同框架下水分子间氢键的平均数目;(l) ZnSO4、ZnSO4(IU)0.25、Zn(OTf)2、Zn(OTf)2(IU)0.25、Zn(BF4)2、Zn(BF4)2(IU)0.25电解质的电化学稳定性窗口和离子转移数。
要点二:高度可逆的沉积/剥离
利用Zn||Cu非对称电池的库伦效率来测试沉积/剥离性能,结果显示,添加IU分子后,锌离子沉积/剥离的可逆性与稳定获得大幅提升,并且Zn||Zn对称电池的恒电流长循环也表现出同样的稳定性。IU分子的引入,对析氢反应、枝晶生长等副反应进行了限制,诱导了Zn2+沿着(002)晶面沉积。
图2.(a) ZnǀǀCu非对称电池在ZnSO4、ZnSO4(IU)0.25、Zn(OTf)2、Zn(OTf)2(IU)0.25、Zn(BF4)2、Zn(BF4)2(IU)0.25电解质下镀/剥锌的库仑效率。采用(b) ZnSO4, ZnSO4(IU)0.25电解质,(c) Zn(OTf)2, Zn(OTf)2(IU)0.25电解质和(d) Zn(BF4)2, Zn(BF4)2(IU)0.25电解质在Zn|| Zn对称电池中进行恒流镀锌/剥离。(e) ZnSO4、ZnSO4(IU)0.25、Zn(OTf)2、Zn(OTf)2(IU)0.25、Zn(BF4)2、Zn(BF4)2(IU)0.25电解质在Zn|| Zn对称电池中沉积/剥离Zn后的HER电位、(f)腐蚀电流和(g) XRD图谱。
要点三:锌沉积的形貌与行为
通过SEM与原位光学显微镜的测试,发现IU分子的引入,使得沉积锌更加致密光滑,无腐蚀孔洞与枝晶的产生,这也归因于其促使Zn2+进行三维扩散,沿(002)晶面均匀沉积。
图3.(a) ZnSO4、ZnSO4(IU)0.25、Zn(OTf)2、Zn(OTf)2(IU)0.25、Zn(BF4)2、Zn(BF4)2(IU)0.25等电解质在-150mV过电位下Zn金属的计时电流图(CAs)。(b)不添加和添加IU的水电解质锌沉积示意图,表明IU在抑制副反应和SEI层形成中的作用。(c) ZnSO4, (d) ZnSO4(IU)0.25, (g) Zn(OTf)2, (h) Zn(OTf)2(IU)0.25, (k) Zn(BF4)2, (l) Zn(BF4)2(IU)0.25电解质沉积Zn的SEM图像。(e) ZnSO4, (f) ZnSO4(IU)0.25, (i) Zn(OTf)2的锌沉积截面图。在(o) ZnSO4和(p) ZnSO4(IU)0.25电解液中,在5 mA cm-2下,随电镀时间的变化,锌箔上锌沉积的横截面形貌的原位光学显微镜图像。标尺尺寸为100 μm。
要点四:SEI的相关成分表征
在Zn阳极上形成的致密SEI层,无机组分以ZnF2、ZnO、ZnCO3和ZnSx为代表,有机组分以C-H/C-C为代表。在2 m Zn(OTf)2(IU)0.25和2 m Zn(BF4)2(IU)0.25电解质中形成的SEI以ZnF2、ZnO和ZnCO3无机组分特征为为主,而C-H/C-C信号在整个溅射过程中保持较低的强度,在2 m ZnSO4(IU)0.25电解液中形成的SEI呈现出有机组分为主的特征,在所有溅射深度下,C-H/C-C均保持较高的强度,而ZnCO3和ZnSx均保持在较低的水平。
图4.(a) ZnSO4(IU)0.25、(b) Zn(OTf)2(IU)0.25和(c) Zn(BF4)2(IU)0.25电解质中SEI形成的TEM、HR-TEM图像和SAED。以ZnSO4(IU)0.25为电解液,在Zn阳极上进行Ar+溅射0、2、4和8 min后的(d) O 1s、C 1s和S 2p的高分辨XPS光谱。用(e) Zn(OTf)2(IU)0.25和(f) Zn(BF4)2(IU)0.25电解质在Zn阳极上溅射Ar+ 0、2、4和8 min后的F 1s、O 1s和C 1s的高分辨率XPS光谱。
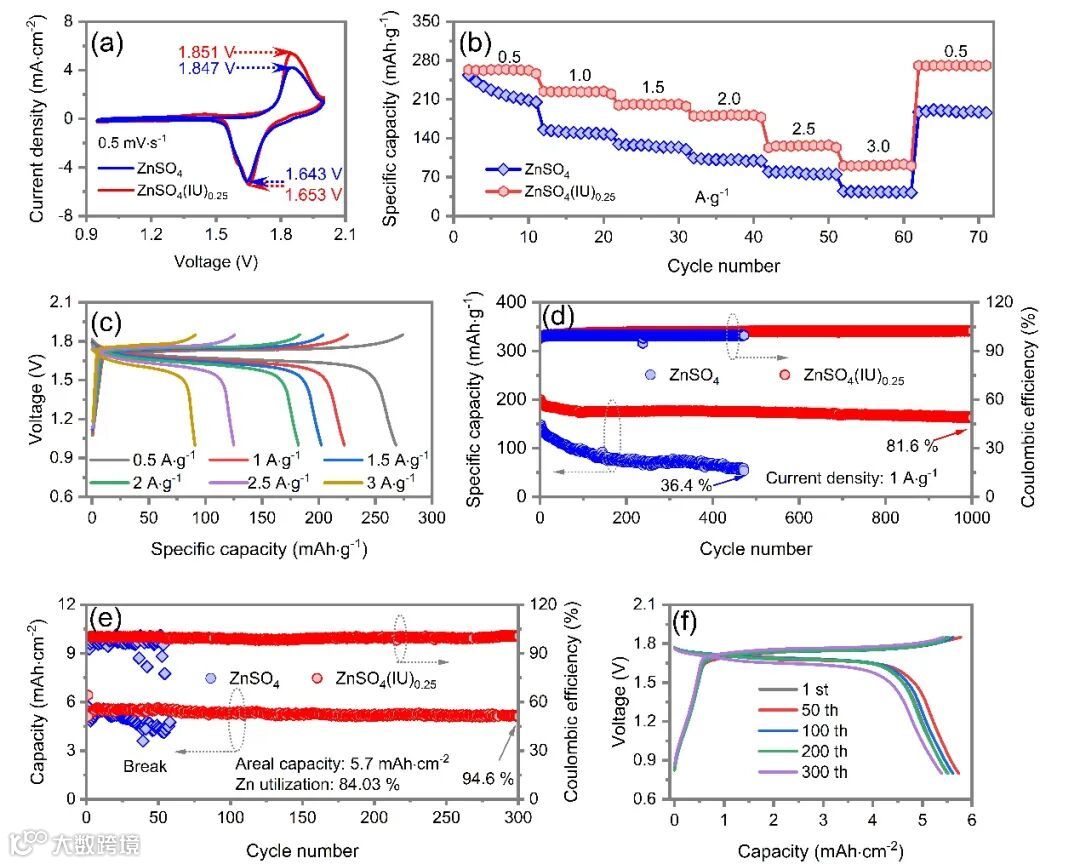
要点五:高面容量Zn||Br2全电池
CV曲线均显示两个氧化还原峰,对应于Br0→Br- (~1.65 V)和Br-→Br0 (~1.85 V)之间的转化反应。采用2 m ZnSO4(IU)0.25电解质,~5.7 mAh·cm-2高面积容量的ZnǀǀBr2软包电池,在84.03%的Zn利用率下,其使用寿命超过300次,仍保留了94.6%的初始容量。
图5.(a) 2 m ZnSO4和2 m ZnSO4(IU)0.25电解质下ZnǀǀBr2全电池的CV曲线和(b)倍率能力。(c) ZnǀǀBr2全电池在0.5、1、1.5、2、2.5和3 A·g-1不同电流密度下的恒流充放电曲线。(d)在电流密度为1 A·g-1时,使用2 m ZnSO4和2 m ZnSO4(IU)0.25电解质,ZnǀǀBr2全满电池的循环稳定性。(e) ZnǀǀBr2全电池在~5.3 mAh·cm-2高面容量条件下的循环稳定性,以及相应的第1、50、100、200、300次充放电曲线。
文 章 链 接
Preferred Planar Crystal Growth and Uniform Solid Electrolyte Interface Enabled by Anion Receptor for Stable Aqueous Zn Batteries
https://doi.org/10.1039/D3EE01580G
通 讯 作 者 简 介
马龙涛 教授,华南理工大学材料科学与工程学院博士生导师。2020年博士毕业于香港城市大学(导师:支春义教授),2023年加入华南理工大学,材料学院/广东省先进储能材料重点实验室。
马龙涛教授主要从事柔性电化学储能器件、水系电池、新型高安全电池和金属-气体电池方面研究,包括高性能电极材料、高安全液态电解质、固态电解质、电解质与电极材料界面、电池结构设计。近年来,在Energy Environ. sci., Adv. Mater., Angew. chem. int. ed.,Adv. Energy mater., Adv. Funct. mater. 等高水平期刊发表文章50余篇。其中,10篇论文被评为高被引论文,3篇论文被评为热点论文,论文总引用超过10000次,h-index为56. 申请发明专利6项。入选2022年科睿唯安高被引科学家,国际先进材料学会会士(iaam fellow),获陕西省高等学校自然科学一等奖,香港城市大学周亦卿研究奖,主持国家自然科学基金及省部级基金项目,担任e-Science, Nano-Micro Letter, Nano Research Energy期刊青年编委。
黄海涛 教授,香港理工大学应用物理系博士生导师。现任国际电化学能源科学院(IAOEES)理事、中国能源学会专家组成员和英国皇家化学会会士。至今发表包括Nature,Nature Photonics,Nature Communications, Joule和Chem等国际著名学术期刊论文300多篇。黄海涛教授课题组目前主要研究方向是电介质材料和具有新型低维纳米结构的新能源材料的设计合成、性能表征及其物理机制的研究。
课 题 组 招 聘
博士后1-2名, 欢迎具有材料学、能源材料以及电化学相关方向背景加入。
添加官方微信 进群交流
SCI二氧化碳互助群
SCI催化材料交流群
SCI钠离子电池交流群
SCI离子交换膜经验交流群
SCI燃料电池交流群
SCI超级电容器交流群
SCI水系锌电池交流群
SCI水电解互助群
SCI气体扩散层经验交流群
备注【姓名-机构-研究方向】
投稿请联系contact@scimaterials.cn
点分享
点赞支持
点在看


