文 章 信 息
一石二鸟:石墨烯剥离酞菁基COF实现锂离子电池高离子电导率和快速反应动力学
第一作者:赵建军,周苗苗
通讯作者:陈军*,李玉涛*
单位:江西理工大学,中国科学院物理研究所
研 究 背 景
二维层状COFs具有用于电荷传输的功能π电子共轭系统和沿层堆叠方向的开放通道。然而,COFs的紧密堆积的2D层结构,尤其是在具有强π-π相互作用的重复堆积方式下,离子迁移将经历一条漫长的路径,沿着开放通道到达深埋内部的活动中心,即使在高电流密度下,锂离子也难以渗入深埋于层间内部的活性中心。这将不可避免地导致氧化还原活性位点的利用不足,从而降低2D COF的储锂容量。本篇观点展示了利用多活性有机共轭羰基增加活性位点,结合石墨烯提高复合材料的导电性,同时将石墨烯作为分散介质降低块状COF(PMDA-NiPc)的堆积程度从而获得小体积、少层的COF-G(PMDA-NiPc-G),缩短离子扩散路径,提高离子电导率、快速反应动力学从而实现高容量、大倍率。本文研究不仅为高性能有机负极的设计提供了宝贵的经验,而且为COF的功能化设计和开发提供思路。
文 章 简 介
近日,江西理工大学的陈军教授与中国科学院物理研究所的李玉涛研究员合作,在国际知名期刊Small上发表题为“Two Birds One Stone: Graphene Assisted Reaction Kinetics and Ionic Conductivity in Phthalocyanine-Based Covalent Organic Framework Anodes for Lithium-ion Batteries”的研究文章。该研究报道了一种“一石二鸟”的设计策略,同时实现离子电导率和反应动力学显著提高,并揭示了酞菁基COF作为锂离子电池电极材料的容量增强机制和锂存储机制,系统地阐明了PMDA-NiPc和石墨烯在复合材料中各自的容量贡献。研究团队利用石墨烯作为分散介质,减少大块COFs的堆积,获得小体积、少层的COFs,缩短离子迁移路径,提高锂离子在二维(2D)网格层状结构中的扩散速率。PMDA-NiPc-G的锂离子扩散系数(DLi+)为3.04 × 10−10 cm2 s−1,是PMDA-NiPc(0.84 × 10−10 cm2 s−1)的3.6倍。使得PMDA-NiPc-G在300次循环后可以实现1290 mAh g-1的高可逆容量,并且在接下来的300次循环中几乎没有容量衰减。该策略对于降低COFs的紧密堆积程度,提高活性位点利用率,促进有机电极材料的发展具有潜在的价值。
本 文 要 点
要点一:具有多羰基活性位点的小体积、少层酞菁基COF的设计
以酞菁的大π共轭体系为基础,在结构设计上引入多活性羰基和石墨烯,原位反应将Pc-COFs与石墨烯复合,制得PMDA-NiPc和PMDA-NiPc@G两种共价有机框架电极材料。利用多活性有机共轭羰基增加活性位点,结合石墨烯提高复合材料的导电性,同时将石墨烯作为分散介质降低块状共价有机框架材料的堆积程度从而获得小体积、少层的Pc-COFs,缩短离子扩散路径,提升锂离子在二维网格层状分子结构中的扩散速率来获得高容量、大倍率的电化学性能。合成的PMDA-NiPc具有3.2 nm介孔的骨架结构,有助于电解质扩散和进入其丰富的氧化还原羰基活性中心;PMDA-NiPc具有典型的二维网格层状AA堆积型结构,这种均匀的层层堆叠结构的的二维排列大大方便了载流子的运输和锂离子的分层存储。
石墨烯的原位复合参与了减弱有机材料的聚集效应,阻止了大块COF的形成,导致PMDA-NiPc趋向于更小,层状更少,比表面积增加。密度泛函理论(DFT)计算显示从石墨烯到PMDA-NiPc的部分电荷通过共轭结构与转移到PMDA-NiPc的最低未占据分子轨道,提高了PMDA-NiPc分子的稳定性,促进了PMDA-NiPc中的电子传导。分散的小体积PMDA-NiPc紧密附着在石墨烯表面,一些进入石墨烯层的内部。石墨烯层上的能谱(EDS)元素映射显示C、N、O和Ni元素分布均匀,证实了PMDA-NiPc在石墨烯表面的非均质成核和生成。强共轭相互作用使PMDA-NiPc与石墨烯层紧密结合,在石墨烯表面生长了少层或多层,从而使PMDA-NiPc分散。
图1. PMDA-NiPc和PMDA-NiPc@G的制备示意图及表征测试。
图2. PMDA-NiPc和PMDA-NiPc@G的DFT计算及XPS图谱。
图3. PMDA-NiPc和PMDA-NiPc@G的微观结构表征。
要点二:PMDA-NiPc和PMDA-NiPc@G的电化学性能
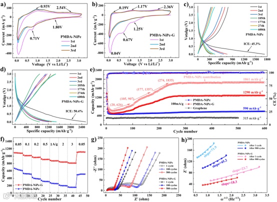
在剥离和分散PMDA-NiPc后,PMDA-NiPc- g获得了高比表面积和丰富的可用活性位点。有效减轻了SEI膜引起的不可逆容量损失,使PMDA-NiPc-G的ICE在PMDA-NiPc的基础上提高了5.1%。PMDA-NiPc-G的复合容量可以看作是PMDA-NiPc和石墨烯组分的共同贡献,石墨烯在长期循环中表现出≈315 mAh g−1的可逆容量,而不会出现实质性的容量衰减。因此,PMDA-NiPc在复合材料中的容量贡献可以通过PMDA-NiPc与石墨烯的重量比来计算。最终计算出PMDA-NiPc在600次循环后可以实现1861 mAh g−1的非常大的可逆容量贡献,比石墨的可逆容量高5倍。复合材料的高可逆容量贡献应主要归功于剥离和分散后结构中官能团的有效利用,它们充分参与了锂离子的储存。随着循环的进行,PMDA-NiPc和PMDA-NiPc@G都具有相同的较小Rct,表明电极在循环过程中逐渐激活。与PMDA-NiPc相比,PMDA-NiPc- g在任何状态下的Rct值都要低得多,这一显著优势可以被识别为石墨烯的分散、剥离效应,这使得离子转移路径更短,降低了电荷转移阻抗。PMDA-NiPc-G电极材料在1次循环和500次循环时的DLi+均远高于PMDA-NiP,且DLi+随着循环有逐渐增加的趋势,说明从合成工艺角度对材料结构进行合理设计,可以在一定程度上提高锂离子扩散系数。在设计全电池时N/P取1.1,将PMDA-NiPc-G负极与NCM-811和LiFePO4 (LFP)组装成全电池也表现出优异的电化学性能,其中负极面积密度可调整为≈3 mAh cm-2的面容量负载,特别是PMDANiPc-G/NCM-811全电池在50次循环后保持≈100%的容量。
图4. PMDA-NiPc和PMDA-NiPc@G的半电池电化学性能。
要点三:PMDA-NiPc@G的快速反应动力学
初始PMDA-NiPc-G电极的峰值电流与扫描速率的平方根呈线性关系,表明此时的氧化还原反应动力学受扩散控制。经过多次循环后,PMDA-NiPc-G电极的氧化还原反应动力学从最初的扩散控制转变为表面控制。这种过程转变的原因可能是活性物质的逐渐活化,在循环过程中容量逐渐增加。PMDA-NiPc-G初始和500次循环后电极的氧化还原峰b值分别为0.74、0.73和0.88、0.83,表明初始电极上的氧化还原反应动力学以法拉第型为主,而循环后电极上的氧化还原反应动力学以电容型为主。随着扫描速率的增加,循环前后两电极的电容贡献之比逐渐增大。此外,500次循环后电极的赝电容贡献远远大于相应的初始电极。从初始到250次循环后,PMDA-NiPc-G电极的电化学动力学行为从扩散控制为主转变为表面控制为主。赝电容贡献百分比越高,对锂离子扩散速率的贡献越显著,电极材料最终表现出优异的电化学性能,这是PMDA-NiPc-G优于PMDA-NiPc的循环性能和倍率能力的关键。
图5. PMDA-NiPc-G在不同扫描速率的CV曲线以及峰值电流与扫描速率或扫描速率平方根的对应线性拟合。
要点四:PMDA-NiPc的储锂机制及各组分容量贡献占比
利用XPS光谱研究了C、N、O元素在不同充放电状态下的价态变化,证实了中苯环的C=C、C=O、N=C参与了脱嵌锂反应并且具有良好的可逆性。通过密度泛函理论(DFT)计算,从理论上探讨了锂化-去锂机理。基于每个PMDA-NiPc单体的7步锂化-脱锂过程,共有52个的锂存储位点。52个锂离子存储可以大致分为7个步骤,从这些实验数据可以计算出每个锂离子的实验放电容量为47 mAh g−1。电负性最强的O原子首先与锂离子结合,而对于苯环与其相邻的C=N基团之间的共轭体系,吸电子的N基团更有利于与金属离子结合,导致锂优先插入C=N基团而不是苯环中。在2.8-1.18 V的电位窗口内,可以观察到第一阶段约256 mAh g-1的锂离子存储,这与活性羰基(C=O)上的8个锂离子存储(步骤一)相一致。因此,以下步骤(II - VII)可以大致归因于C=N基团和苯环上的渐进锂存储,6个锂存储(步骤二),16个锂存储(步骤三),8个锂存储(步骤四),8个锂存储(步骤五),在1.18 ~ 0.86、0.86 ~ 0.21、0.21 ~ 0.09、0.09 ~ 0.043、0.043 ~ 0.01 V电压窗内,分别出现了6个锂存储(步骤VI+VII),符合52个锂存储机制。
为了深入了解循环过程中C=N基团、活性羰基C=O和苯环上锂存储的容量贡献率,即在不同的循环阶段,不同类型的锂存储点的有效利用率,仔细研究图7 (b-d) 中循环容量变化临界点PMDA-NiPc贡献的放电曲线发现在不同阶段,尤其是低电位窗口,容量显著增加。在第274次、第177次、第20次循环中,苯环对储锂容量的贡献比例分别为约77.2%、76.6%、70.3%,表明容量增量的主要贡献也来自苯环上的储锂效应。在第274圈、177圈、第20圈循环中,PMDA-NiPc中C=N基团上的储锂容量贡献分别为253、185、87 mAh/g,分别相当于C=N基团上完整六个锂离子存储容量的约95.2%、69.6%、约32.7%;C=O基团上的储锂容量贡献分别为165、132、99 mAh/g,分别相当于C=O基团上完整四个锂离子存储容量的约93.1%、74.5%、约55.9%。上述结果表明,在反复的循环过程中,C=N基团、C=O基团和苯环都经历了一个逐渐激活的过程,这是循环过程中容量逐渐增大的直接原因。
图6 a) PMDA-NiPc单体锂化各阶段的HOMO-LUMO间隙。b) PMDA-NiPc单体锂化各阶段的反应自由能(ΔG)。c) PMDA-NiPc在放电和充电循环中逐渐锂化和衰减的示意图。
图7 PMDA-NiPc-G中PMDA-NiPc容量贡献的放电曲线:(a)第600圈,(b)第274圈,(c)第177圈,(d)第20圈循环。
文 章 链 接
Two Birds One Stone: Graphene Assisted Reaction Kinetics and Ionic Conductivity in Phthalocyanine-Based Covalent Organic Framework Anodes for Lithium-ion Batteries
https://doi.org/10.1002/smll.202303353
通 讯 作 者 简 介
陈军 教授简介:2009年毕业于中国科学院化学研究所,有机化学博士学位。2014年加入江西理工大学,现为材料科学与工程学院教授,江西理工大学“清江”拔尖人才,江西省赣鄱俊才支持计划-主要学科学术带头人领军人才培养对象。长期从事锂离子电池有机电极材料研究工作。以第一或通讯作者身份在Small, Chemical Engineering Journal, Journal of Power Sources, Science China Materials, ChemSusChem, Journal of Colloid and Interface Science, Nanoscale, Journal of Materials Chemistry C等学术刊物上发表论文60余篇,被引用1,100 余次,H因子22。
李玉涛 研究员简介:2013年博士毕业于清华大学材料学院,2013年-2022年,在美国德克萨斯大学奥斯汀分校从事博士后和助理研究员工作,师从”锂电之父“John B. Goodenough教授,2022年底加入中科院物理所,任特聘研究员,博士生导师。主持/参与多项全固态电池研发项目。主要研究内容包括新型固态电解质材料设计、导电机制分析、界面优化和全固态电池应用。相关工作以第一和通讯作者在J. Am. Chem. Soc.、PNAS、Angew. Chem. Int. Ed.、Sci. Adv.等期刊发表,ESI高被引论文25篇,总引用15200多次,获2021-2022年全球交叉学科高被引科学家。
第 一 作 者 简 介
赵建军,硕士毕业于江西理工大学,现为北京化工大学博士研究生;
周苗苗,硕士毕业于江西理工大学,现为中国矿业大学大学(北京)博士研究生。
添加官方微信 进群交流
SCI二氧化碳互助群
SCI催化材料交流群
SCI钠离子电池交流群
SCI离子交换膜经验交流群
SCI燃料电池交流群
SCI超级电容器交流群
SCI水系锌电池交流群
SCI水电解互助群
SCI气体扩散层经验交流群
备注【姓名-机构-研究方向】
投稿请联系contact@scimaterials.cn
点分享
点赞支持
点在看


