文 章 信 息
轻质聚酰亚胺基负极助力高性能锌离子杂化超级电容器
第一作者:季发奇
通讯作者:刘博天*,黎晋良*
单位:桂林理工大学,暨南大学
研 究 背 景
杂化超级电容器(HSC)兼具超级电容器和电池的优点,被认为是一种有前途的储能系统。与单价金属HSC相比,多价HSC可以在氧化还原反应过程中提供多电子转移,从而获得更高的能量密度。其中,锌离子 HSC具有多种本质性优势。大部分的锌离子器件中,锌金属直接用作负极存在枝晶生长、副反应严重等缺点,限制了其实际应用。在此,我们使用新颖的轻质聚酰亚胺-基有机电极替代锌金属负极,从储能机理的角度避免锌金属所存在的问题。同时,显著降低了器件的整体重量,进而提高了其实际的能量密度。
文 章 简 介
近日,来自桂林理工大学的刘博天副研究员与暨南大学的黎晋良副研究员合作,在国际知名期刊Chemical Engineering Journal上发表题为“High-performance Zn-ion hybrid supercapacitor enabled by a lightweight polyimide-based anode”的研究文章。该文章报道了一种轻质聚酰亚胺-基负极去替代传统锌金属负极,且与锰-基正极(Na0.55MnO2)匹配构建了轻质锌离子器件,其实际能量密度和稳定性较传统锌离子器件均得到了显著提高。
本 文 要 点
要点一:聚酰亚胺-基有机电极的储能机理。
该新型聚酰亚胺-基有机负极储能机理是是羰基的可逆烯醇化,即羰基与锌离子发生吸附,并伴随着羰基与锌离子的配位过程。其与锌金属负极的沉积/剥离过程有本质区别避免了金属枝晶形成(图1)。
Figure 1. The storage mechanism of PNDIE/MWCNT anode (a) Voltage profiles of PNDIE/MWCNT anode at the current density of 0.7 A g-1. (b) FTIR spectra of PNDIE/MWCNT anodes recorded at different potentials as indicated in the charge/discharge profile shown in (a). (c) Possible electrochemical redox mechanism of PNDIE/MWCNT anodes.
要点二:新型聚酰亚胺-基有机电极从本质上抑制副反应产生
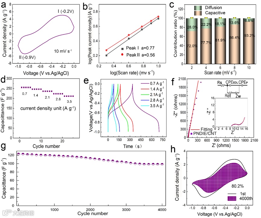
当下,锌离子器件大多直接以锌金属直接作为负极。然而,在热力学意义上的锌金属负极沉积/剥离电位和析氢反应 (HER)电位重叠,导致极易发生副反应。该聚酰亚胺-基有机负极还原电位远高于HER电位,本质上避免了副反应的发生。在不同电流密度下的恒流充放电曲线显示,最大容量高达255.5 F g-1(0.7A g-1),循环4000圈后,容量保持率为80.2%(图2)。
Figure 2. Electrochemical characterizations of PNDIE/MWCNT electrodes (a) CV curve of PNDIE/MWCNT electrodes at a scan rate of 10 mV s-1. (b) Plots of log (I) vs. log(v) at cathodic/anodic peaks (peak current: I; scan rate: v). (c) Percentages of pseudocapacitive contributions to charge storage in PNDIE//MWCNT electrodes at various scan rates ranging from 2 to 10 mV s-1.(d) Specific capacitance of the PNDIE/MWCNT electrode as a function of various current densities (0.7 to 3.5 A g-1). (e) GCD profiles of PNDIE/MWCNT electrodes at various current densities ranging from 0.7 to 3.5 A g-1. (f) EIS spectra of PNDIE/MWCNT electrodes (Inset: The enlarged view of EIS data and electrical equivalent circuit used for fitting EIS) (g) Cycling stability of the PNDIE/MWCNT electrodes at a scan rate of 5 mV s-1, (h) CV curves of PNDIE/MWCNT electrodes 1st and after 4000th, respectively.
要点三:器件轻量化设计
锌金属负极同时作为集流体和活性物质,通常都是极大过量的使用,增加了器件的实际重量,导致其实际能量密度低。该新型聚酰亚胺-基有机电极重量远低于锌金属负极,极大降低器件的实际重量,进而提高了其实际能量密度。该器件最大实际能量密度达到了10.7 Wh kg-1,且循环2000圈后,容量保持率为82.1%(图3)。
Figure 3. Electrochemical performance of Zn-ion HSC device (a) Comparative CV curves of PNDIE/MWCNT anode and PEDOT-Na0.55MnO2/CC hybrid cathode at a scan rate of 15 mV s-1, respectively. (b) CV curves of Zn-ion HSC device at various scan rates ranging from 5 to 50 mV s-1. (c) GCD profiles of Zn-ion HSC at various current densities ranging from 1.4 to 3.5 A g-1.(d) Specific capacitance of the Zn-ion HSC as a function of various scan rates.(e) EIS spectra of Zn-ion HSCs. Inset: The enlarged view of EIS data and electrical equivalent circuit used for fitting EIS. (f) Ragone plots related to energy and power densities of Zn-ion HSC compared to other Zn-ion devices. (g) Cycling performance of the Zn-ion HSCs device at a scan rate of 15 mV s-1. (h) CV curves of Zn-ion HSC device at 1st and 2000th.
要点四:前瞻
当前抑制锌金属负极枝晶和副反应已成为了研究热点,是实现锌离子器件规模化应用的关键问题之一。与传统锌金属负极改性比开发新型非金属负极能够本质上解决锌负极面临问题。其中,聚酰亚胺-基负极由于能够规避锌金属负极的问题是有前景的研究方向,且已应用于储能领域对推动锌离子储能器件的大规模应用有重要意义。
文 章 链 接
High-performance Zn-ion hybrid supercapacitor enabled by a lightweight polyimide-based anode
https://doi.org/10.1016/j.cej.2023.145786
通 讯 作 者 简 介
刘博天 副研究员简介:自2011年以来主要围绕高性能电化学能量存储器件展开了系统的研究。重点开展了电化学储能系统关键材料的功能导向设计、可控合成、反应调控等方面的工作:1)实现了电极的整体结构、活性材料占比、电子和离子输运能力的协同调控,提升了电极的有效比容量和器件能量密度;2)调控了金属Zn负极的电化学沉积与生长行为,抑制了其钝化形成和支晶生长的产生;3)构建了全新的正极材料,拓展了影响双离子能量存储系统性能的关键正极材料选择。以上相关研究近五年以第一作者/通讯作者先后在Nature Communications、 Advanced Science、 Chemical Engineering Journal、 Small、Journal of Colloid and Interface Science、Nanoscale、ISCIENCE等国际顶尖科研期刊发表SCI论文,并被 Nature Energy、Advanced Science、Advanced Materials、Energy & Environmental Science等权威期刊作为重要进展他引。
黎晋良 副研究员简介:暨南大学物理学系,博士,副研究员,从事碱金属离子电池电极材料开发与电解液设计方面进行深入研究,目前已取得阶段性研究成果。目前在相关领域以第一作者或通讯作者在Angew. Chem.、CCS Chem.、Adv. Energy Mater.等高水平期刊发表论文50余篇,论文引用超过4700次, H指数38。广东省自然科学奖二等奖、山西省科技进步奖二等奖、中国分析测试协会科学技术奖一等奖获得者;已授权中国发明专利6件,申请中国发明专利2件,主持1 项国家自然科学基金,1项科技部基金,2项中国博士后基金,2项广州市基础研究基金。入选2020年度中国博士后科学基金资助者选介。担任广东省材料研究学会青委会委员,国际学术期刊Batteries编委,中文期刊《材料研究与应用》青年编委,国际学术期刊Rare Metals青年编委。
添加官方微信 进群交流
SCI二氧化碳互助群
SCI催化材料交流群
SCI钠离子电池交流群
SCI离子交换膜经验交流群
SCI燃料电池交流群
SCI超级电容器交流群
SCI水系锌电池交流群
SCI水电解互助群
SCI气体扩散层经验交流群
备注【姓名-机构-研究方向】
投稿请联系contact@scimaterials.cn
点分享
点赞支持
点在看


