文 章 信 息
具有原子混合占位、富Mn表面和孪晶缺陷的高活性、高稳定性钴锰尖晶石氧电极双功能催化剂
第一作者:李静
通讯作者:杨帆*,章俊良*
单位:上海交通大学
研 究 背 景
氧还原反应(ORR)和氧析出反应(OER)是可充电锌-空气电池(RZAB)氧电极上的核心反应。高活性、高稳定性、低成本的双功能催化剂是实现该类电化学能源器件商业化的关键之一。非贵金属钴锰尖晶石氧化物由于其灵活可调的结构和价态、丰富的功能性、低廉的价格等优势,吸引了研究者的广泛关注,在氧电极双功能催化方面表现出极大潜力。
近年来,针对钴锰尖晶石(CoxMn3-xO4, 0 ≤ x ≤ 3)双功能催化材料的研究取得了一定进展,揭示了晶体结构、活性元素分布等因素对ORR/OER催化活性的影响规律。根据之前的研究报道,结构中的八面体CoO6和MnO6中心分别在OER、ORR中起主导作用。提高Co含量有利于OER活性和稳定性,但同时导致Mn活性位点减少,不利于ORR催化性能;反之亦然。为提升Co/Mn基尖晶石的双功能催化活性,掺杂、原子级表面工程、缺陷设计和活性元素分布调控等方法被广泛研究。然而,如何在保证Co2MnO4优异OER性能的同时提升其ORR性能,仍是一个具有挑战性的问题。
文 章 简 介
基于此,来自上海交通大学机械与动力工程学院燃料电池研究所的杨帆副教授和章俊良教授,在国际知名期刊Chemical Engineering Journal上发表了题为“Superior bifunctional oxygen electrocatalysts based on Co2MnO4 with mixed site occupancy, Mn-rich surfaces and twin defects”的研究论文。论文第一作者为博士生李静。
该工作通过共沉淀法结合后续热处理制备了具有富Mn表面和大量孪晶缺陷的Co2MnO4(C2M)纳米片。在碱性体系中,C2M表现出优异的ORR活性(E1/2 = 0.830 V)和双功能催化活性(ΔE = E10 mA/cm2- E1/2= 0.767 V)。使用该材料组装的RZAB具有136 mW/cm2的峰值能量密度以及809.4 mAh/gZn的比容量。并进一步通过酸处理提高材料的双功能催化活性,将ΔE降至 0.750 V,且大幅度提升了ORR耐久性。
结合XRD结构精修、原位拉曼光谱以及密度泛函理论(DFT)计算等多种研究手段,发现C2M的富Mn表面更有利于O2的桥式吸附,进而促进ORR中的4电子反应路径;此外,Co、Mn在晶体结构中的混合占位诱导了Mn/Co-O轨道杂化,形成的杂质能级可促进反应过程中的电荷转移。同时,酸处理能够抑制活性位点Mn在反应过程中的流失,从而显著提高了ORR耐久性。
该工作不但在钴锰尖晶石中获得了优异的双功能催化活性和耐久性,而且提供了一种同时调节晶体结构中原子占位、表面活性元素分布并引入孪晶缺陷的简单的合成和后处理方法,为开发其它过渡金属氧化物催化剂提供了材料设计和制备的新思路。
本 文 要 点
要点一:Co2MnO4的晶体结构、颗粒形貌以及表面成分和缺陷
采用共沉淀和溶胶凝胶法制备Co2MnO4纳米粉末,分别命名为C2M和C2M-sg。对C2M进行3小时酸处理,命名为C2M-A3。XRD图谱和Rietveld结构精修结果表明C2M-sg、C2M和C2M-A3均为立方相尖晶石结构,但Co、Mn在尖晶石结构中的原子占位存在明显差异:C2M-sg中Co和Mn分别占据八面体和四面体中心,而C2M和C2M-A3中的八面体和四面体中心由Co和Mn共同占据,并且酸处理后材料出现大量的阳离子空位。
高分辨TEM及其FFT衍射光斑进一步证实了以上三种材料的尖晶石结构,并且在C2M和C2M-A3中观察到明显的孪晶界面特征。EDS面扫描结果显示C2M-sg颗粒中元素分布均匀,而C2M以及C2M-A3在颗粒表面和孪晶界面上都有明显的Mn富集。C2M表面区域的Co/Mn比(C/M)约为1,颗粒内部的C/M约为2.38,孪晶界面附近的C/M也明显较低。C2M-A3也展示出类似特征,表面C/M约为1.17。
图1 C2M-sg,C2M和C2M-A3的晶体结构:(a) XRD谱图以及Rietveld精修结果,(b) Co、Mn和阳离子空位在晶体不同位置的占比,(c) 晶胞体积大小。
图2 C2M-sg,C2M和C2M-A3 的HRTEM图像和FFT衍射花样。
图3 HADDF-STEM图像、EDS面扫描图和Co/Mn的原子比:(a1-2) C2M-sg,(b1-2) C2M,(c1-2) C2M-A3。
要点二:优异的双功能催化活性、耐久性以及锌-空气电池性能
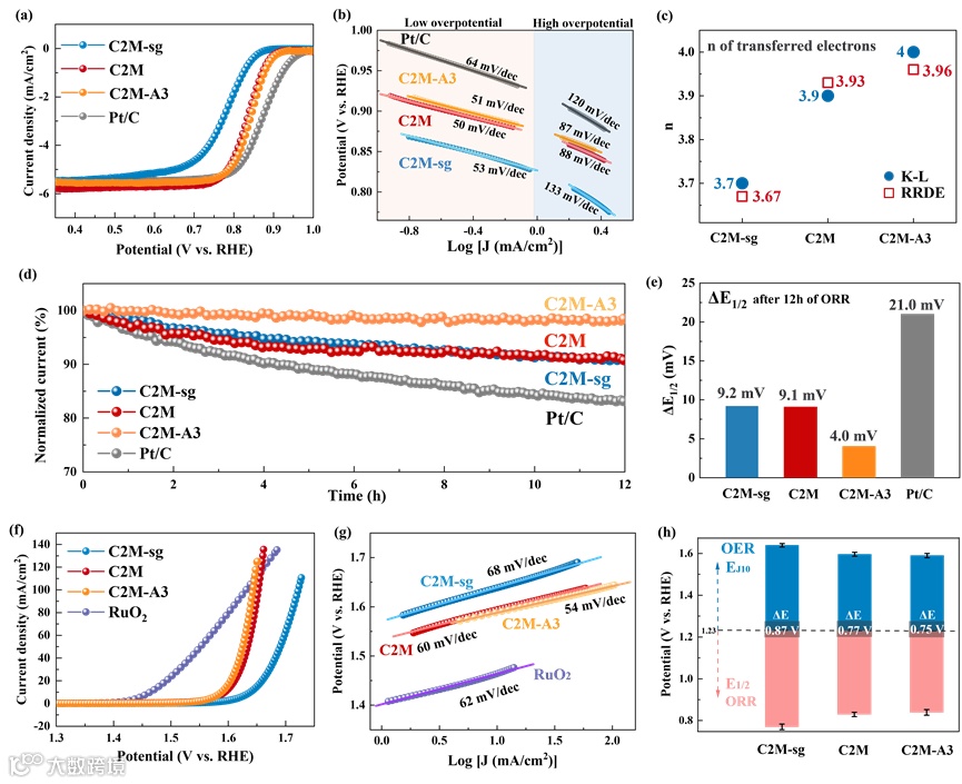
首先,使用旋转圆盘电极(RDE)评估了C2M-sg、C2M和C2M-A3的电催化活性,C2M和C2M-A3的ORR、OER催化性能明显优于C2M-sg。ORR反应中,Koutechy-Levich(K-L)曲线和旋转环盘电极(RRDE)测试结果均表明C2M和C2M-A3更利于4电子反应路径,而C2M-sg则存在着部分2电子反应路径。三种催化剂中,C2M-A3具有最佳的耐久性。在锌-空气电池性能测试中发现,使用C2M和C2M-A3的RZAB展示出更高的最大功率密度、更低的充电电压、更小的充电/放电电压间隙,以及更高的比容量,因此,C2M和C2M-A3具有较好的应用潜力。
图4 C2M-sg、C2M和C2M-A3的电化学性能:(a) ORR极化曲线; (b) ORR的 Tafel曲线; (c) 根据K-L图和RRDE测试计算的ORR的电子转移数; (d) 在0.45 V vs RHE恒压下的ORR稳定性测试;(e) ORR耐久性测试后E1/2的变化; (f) OER极化曲线; (g) OER的Tafel曲线; (h) 双功能电催化性能。
图5 使用C2M、C2M-A3和Pt/C + RuO2作为阴极催化剂的RZAB性能:(a)功率密度图,(b)充-放电极化曲线,(c)不同电流密度的放电曲线,(d)比容量,(e)充放电循环测试曲线。
要点三:催化过程中的表面演化和DFT理论计算
采用原位拉曼光谱追踪了C2M在ORR、OER反应过程中的表面结构演化,结果表明:1)MnO6和CoO6八面体中心在双功能催化过程作为主要的活性位点;2)C2M的富Mn表面有利于ORR反应中的4电子反应路径。
进一步,采用DFT计算揭示了Mn、Co在晶体结构中混合占位的重要作用:1)八面体中心的Mn在电催化过程中不仅可降低O2的表面吸附能,更促进了O2的桥位吸附从而增强ORR反应中的4电子路径;2)Mn和Co的混合占位可在费米能级附近产生杂质能级,从而改善C2M的电子传导。
图6 C2M催化过程的原位拉曼测试:(a) OER和ORR交替反应的原位拉曼光谱 (OER电压: 1.51V vs RHE, ORR电压: 0.26V vs RHE);(b) 原位拉曼光谱(a)的局域放大图;(c) A1g特征峰的偏;(d)原位拉曼光谱 (OER电压: 1.63V vs RHE, ORR电压: 0.26V vs RHE)。
图7 C2M-sg和C2M的DFT计算:(a) C2M-sg表面的O2桥式吸附;(b1)和(b2) C2M表面的O2桥式吸附;(c), (d) C2M、C2M-sg的态密度图;(e) C2M在Fermi面附近局部放大的态密度图。
要点四:酸处理增强C2M的ORR耐久性
电化学性能测试结果表明,酸处理后的C2M具有最佳的ORR耐久性,12小时后电流仅衰减1.5%。稳定性测试过程中对电解液所含Co、Mn离子浓度进行测试,发现:1)在ORR测试过程中,主要活性位点Mn存在明显的浸出;2)与C2M相比,C2M-A3的Mn浸出情况明显减弱。这表明酸处理缓解了ORR过程中活性元素Mn的流失,从而实现了优异的ORR稳定性。
图8 0.45 V vs RHE 恒电位ORR测试中,C2M和C2M-A3对应的KOH电解液中Co、Mn离子的浓度变化。
本工作得到国家自然科学基金(22002089)等项目支持。
通 讯 作 者 简 介
杨帆副教授简介:杨帆,上海交通大学机械与动力工程学院副教授,博士生导师。博士毕业于英国曼彻斯特大学,其后在曼彻斯特大学、谢菲尔德大学从事博士后研究,2018年底加入章俊良教授课题组。主要研究方向为功能氧化物的电学、电催化性能和电化学能源器件。主持Guojia自然科学基金3项、Guojia重点实验室、上海市浦江计划和企业合作项目各1项。在Chem Eng J、J Mater Chem A、Adv Funct Mater、Chem Mater、Acta Mater等权威期刊发表SCI论文80余篇,包括两篇邀请综述,两篇JMCA热点文章,1篇Editor’s choice。2018年入选英国皇家化学学会“100位女性材料科学家”特刊及谢菲尔德大学突出贡献奖,2019年入选上海市浦江人才计划。
章俊良教授简介:章俊良,上海交通大学“致远”讲席教授,致远学院常务副院长、机械与动力工程学院燃料电池研究所所长,国家级专家、上海市“东方学者”特聘教授。于上海交通大学获得学士和硕士学位、美国纽约州立大学石溪分校获得博士学位。在美国 Brookhaven 国家实验室、美国通用汽车公司和上海交通大学从事燃料电池基础及应用研发二十余年。
主要从事界面电化学、电催化、燃料电池、能源纳米材料以及电化学能源系统中的传热传质等研究,相关成果发表于 Science、J. Am. Chem. Soc.、Angew. Chem. Int. Ed.、Energy Environ. Sci.、Joule、Prog. Energy Combust. Sci.、Adv. Energy Mater.、ACS Nano、ACS Catal.、Appl. Catal. B Environ.、J. Mater. Chem. A、Chem. Eng. J.、Nano Res.、Chin. J. Catal.、J. Phys. Chem. Lett.、Appl. Energy 等期刊共计 170 余篇,总引用 15600 余次,申请美国及国际专利 20 余项,中国专利50余项,撰写中英文著作 2 部。近年主持项目包括国家自然科学基金重点和面上项目、科技部国家重点研发计划“氢能技术”专项项目和“新能源汽车”专项课题、上海市科委“碳达峰碳中和”专项项目等,相关成果获评 2020 年上海市技术发明一等奖。担任 Fuel Cells 副主编以及 Acta Physico-Chimica Sinica 和 Frontiers in Energy 等期刊编委。担任中国燃料电池汽车产业联盟理事、上海电化学能源器件工程技术研究中心副主任。
第 一 作 者 简 介
李静简介:李静,上海交通大学机械与动力工程学院20级博士生。2016年、2019年毕业于华中科技大学获得学士、硕士学位。主要研究方向:非贵金属氧化物电催化材料的成分、结构、缺陷设计及其催化机理研究。
文 章 链 接
Superior bifunctional oxygen electrocatalysts based on Co2MnO4 with mixed site occupancy, Mn-rich surfaces and twin defects
https://www.sciencedirect.com/science/article/pii/S1385894723049148?via%3Dihub
添加官方微信 进群交流
SCI二氧化碳互助群
SCI催化材料交流群
SCI钠离子电池交流群
SCI离子交换膜经验交流群
SCI燃料电池交流群
SCI超级电容器交流群
SCI水系锌电池交流群
SCI水电解互助群
SCI气体扩散层经验交流群
备注【姓名-机构-研究方向】
投稿请联系contact@scimaterials.cn
点分享
点赞支持
点在看

