文 章 信 息
高效钙钛矿太阳电池D-A型分子的界面偶极管理
第一作者:王鸿泽、王俊博、何青云
通讯作者:王芳芳*
单位:南京工业大学
研 究 背 景
有机-无机金属卤化物钙钛矿太阳能电池(PSC)已成为光伏领域引人注目的研究前沿。尽管PSC的功率转换效率(PCE)已达到令人印象深刻的26.1%,这些多晶薄膜器件的光伏性能面临着由于不可避免的缺陷而带来的严峻挑战,这些缺陷作为非辐射复合中心,大大降低了PCE和PSC的运行稳定性。值得注意的是,据报道,钙钛矿薄膜表面的缺陷密度远高于体内的缺陷密度,其中大部分是深能级陷阱。此外,界面处的能级不匹配会加剧载流子复合损失,从而严重限制PSC的整体效率。界面工程是在追求高性能 PSC 的过程中最大限度地减少界面缺陷的有效策略。
文 章 简 介
近日,来自南京工业大学的王芳芳副教授在国际知名期刊Angewandte Chemie International Edition上发表题为“Interface Dipole Management of D-A-Type Molecules for Efficient Perovskite Solar Cells”的观点文章。该观点文章分析了现在常用的聚合物固态电解质与电池各个组件(正极、负极、陶瓷填充物)之间界面的不稳定性,同时汇总了近期在研究此类界面不稳定性问题上的进展。该观点文章通过结合空穴传输和不同的锚定基团,成功设计了三种新型D-A型界面偶极分子,同时分析了偶极分子对钙钛矿的钝化以及对器件光伏性能的改善,为界面偶极子在增强器件性能方面的作用提供了有价值的见解。
方案1. 钙钛矿太阳能电池的D-A型偶极分子管理策略
本 文 要 点
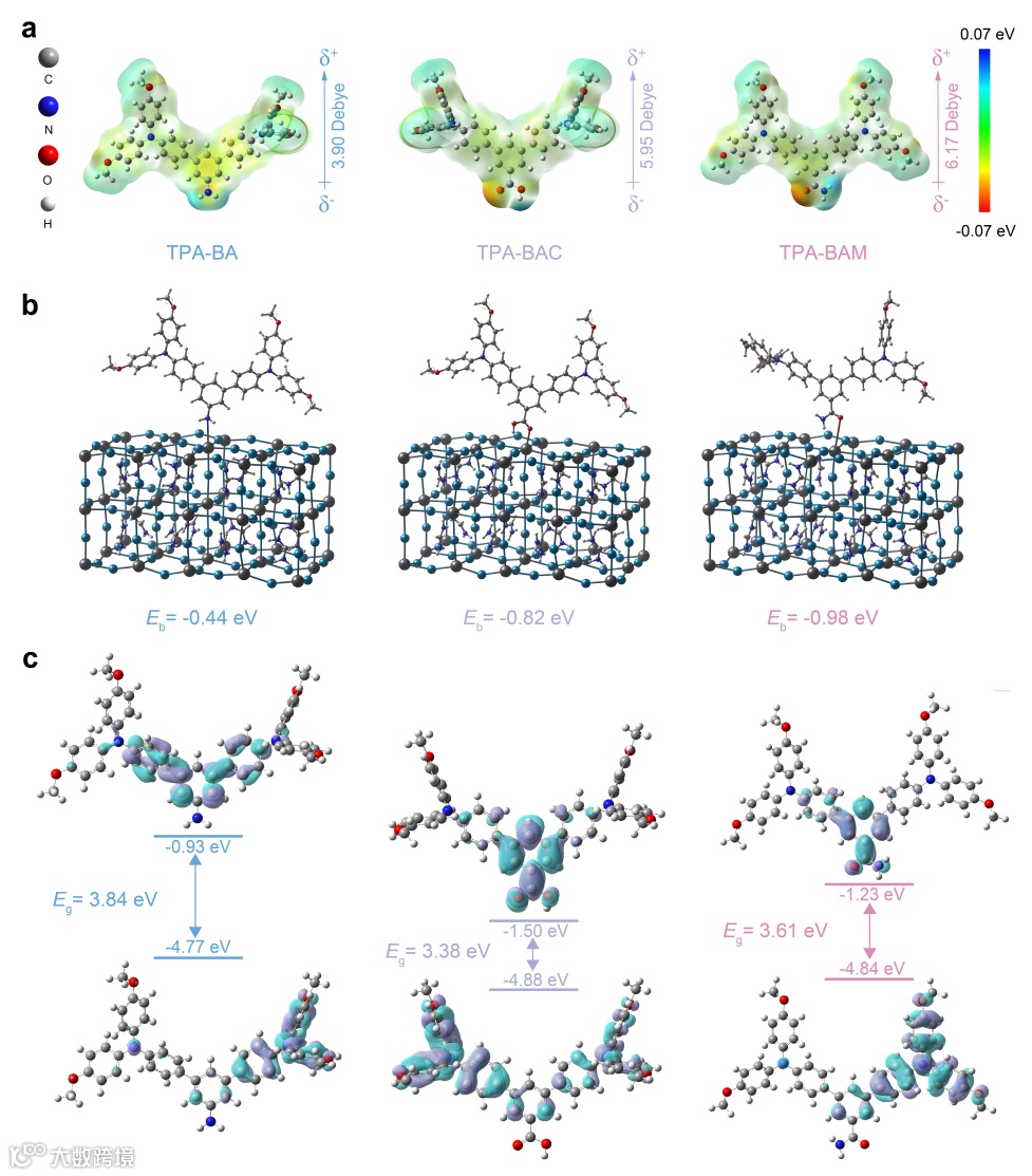
要点一:分子理论计算
计算静电表面电位(ESP)以研究TPA-BA、TPA-BAC和TPA-BAM的静电电位分布。如图 1a 所示,主要的正ESP(蓝色区域)集中在三苯胺单元和氨基上,而负ESP(红色区域)则在羧酸和酰胺基团中的电负性氧原子上离域。与仅具有给电子或吸电子基团的TPA-BA 和TPA-BAC 相比,TPA-BAM 酰胺基团中的羰基由于邻近胺的强给电子性质而表现出增强的电负性。此外,与TPA-BA(3.90 D)和TPA-BAC(5.95 D)相比,TPA-BAM表现出最大的偶极矩(6.17 D),这源于最大的电负性差异。如图1b所示,计算了钙钛矿PbI6骨架中DAID分子与未配位Pb2+缺陷之间的结合能(Eb)。与TPA-BA(Eb = -0.44 eV)和TPA-BAC(Eb = -0.82 eV)相比,TPA-BAM与钙钛矿的结合能(Eb = -0.98 eV)更强,这表明具有酰胺锚定基团的TPA-BAM可以对钙钛矿表面提供更有效的钝化效果。值得注意的是,当DAID分子通过与未配位的Pb2+配位有序地组装在钙钛矿表面时,强相互作用会产生永久偶极矩。
此外,这些偶极层会由于电偶极效应在局域真空能级上引起台阶,最终影响钙钛矿的表观功函数。还计算了DAID分子的电子分布,如图1c所示。由于三苯胺具有较强的给电子能力,三种DAID分子的最高占据分子轨道(HOMO)主要位于三苯胺单元上。TPA-BAC和TPA-BAM的最低未占据分子轨道(LUMO)主要分布在锚定基团和相邻的苯基单元上,这归因于羧酸和酰胺的吸电子能力。相反,TPA-BA的锚定基团上没有电子分布,这是因为胺基缺乏吸电子能力。TPA-BAC 和 TPA-BAM的HOMO和LUMO之间明显不同的分离可以诱导从三苯胺单元到锚定基团的强烈分子内电荷转移,从而促进空穴从 DAID 分子到 HTL 的传输。
图1. DAID分子的理论计算
要点二:偶极分子与钙钛矿组分之间的相互作用
为了深入了解DAID分子与钙钛矿之间的化学相互作用,我们采用了各种分析技术。X射线光电子能谱(XPS)(图2a)显示,与PbI2的Pb 4f5/2峰相比,经过TPA-BAM处理的薄膜比TPA-BAM处理的薄膜表现出更明显的结合能下移(0.27 eV)。BA (0.11 eV)和TPA-BAC(0.22 eV) 处理的薄膜,这归因于酰胺基团与PbI2之间最强的路易斯碱配位。所有经DAID分子处理的PbI2薄膜均导致Pb0峰消失。此外,由于TPA-BAM和Pb2+的配位更强,Pb-I键减弱,导致碘周围的电子云密度增加,从而表现出I 3d3/2峰的结合能向下移动,如如图2b所示。此外,TPA-BAM处理的钙钛矿薄膜的Pb 4f和I 3d峰也表现出更明显的结合能下移(图S7),与TPA-BAM处理的PbI2薄膜中观察到的相似,表明钝化DAID分子对钙钛矿表面的影响。
我们进一步对PbI2和 DAID 分子/PbI2复合薄膜进行了 X 射线衍射 (XRD) 和紫外可见 (UV-vis) 吸收分析。如图 2c 所示,由 TPABAM/ PbI2溶液制备的PbI2在 12.8° 处的 XRD 峰消失,表明有效抑制了PbI2结晶。然而,由 TPA-BA/PbI2和 TPA-BAC/PbI2溶液制备的另外两个样品仍然含有少量PbI2。图2d和图S8中的UV-vis吸收结果表明,与TPA-BA和TPA-BAC相比,TPA-BAM显着降低了PbI2的吸收峰。这些发现共同表明,TPA-BAM由于其优越的路易斯碱配位能力,有效抑制了PbI2微晶的形成。在图2e中,傅里叶变换红外光谱(FTIR)表明,与PbI2结合后,TPA-BAC和TPA-BAM的羰基伸缩振动峰均发生显着蓝移,位移分别为16 cm-1和25 cm-1,分别表示强烈的路易斯酸碱相互作用。对于TPA-BA,其幅度稍小,表明胺基和PbI2之间的相互作用相对较弱。
图2. DAID分子和原始PbI2之间的化学相互作用表征
要点三:偶极分子对钙钛矿薄膜表面形貌的影响
通过扫描电子显微镜(SEM)和X射线衍射 (XRD) 研究了对照和DAID处理的钙钛矿薄膜的形态和结构分析。如图 3a 所示,在对照、TPA-BA和TPA-BAC处理的薄膜中清晰地观察到白色的PbI2相,以蓝色圆圈标记。相反,在 TPA-BAM 处理的钙钛矿薄膜中,PbI2相消失了。XRD 分析进一步验证了这一观察结果,如图 S10 所示。与对照钙钛矿薄膜相比,在用 DAID 分子处理的薄膜的 X 射线图案中没有观察到新的峰。此外,在 TPABAM处理的钙钛矿薄膜中,12.8° 处的PbI2衍射峰消失,证实了TPA-BAM可作为一种有效的表面缺陷钝化材料,而不会改变钙钛矿的晶体结构。PbI2的消失是因为TPA-BAM中的酰胺基团与PbI2表现出最强的配位相互作用,这已通过上述理论计算、XPS、XRD、UV-vis 和FTIR得到证实。
进行了掠入射广角 X 射线散射 (GIWAXS) 测量(图 3b)以评估钙钛矿薄膜表面的结构和晶体特性。在对照钙钛矿薄膜的 GIWAXS 图案中,观察到对应于 δ-FAPbI3、PbI2和中间4H 相的明显峰,位置为 qz = 0.8、0.9、0.93、Å−1。并且在旋涂 HTL Spiro-OMeTAD 后这些峰仍然存在。值得注意的是,采用TPA-BAM作为钙钛矿与空穴传输材料(HTM)的界面层后,钙钛矿薄膜呈现纯α相。GIWAXS图样中杂信号的消失进一步证实TPA-BAM不仅钝化了缺陷,而且在一定程度上抑制了钙钛矿杂质的产生。利用光致发光(PL)强度映射获得了有和没有DAID分子夹层的PSK/HTM薄膜的荧光特性。如图3c所示,与对照膜相比,PSK/DAID分子/HTM复合薄膜的PL强度显著降低,这表明DAID分子可以有效促进载流子提取。此外,经TPA-BAM处理的样品的PL分布比其他样品更均匀,表明TPA-BAM有效钝化了常常作为非辐射复合中心的界面缺陷。
图3. 对照钙钛矿 (PSK)、DAID 分子处理的钙钛矿薄膜或涂有 Spiro-OMeTAD 作为空穴传输材料 (HTM) 的结构和形态分析
要点四:偶极分子对器件能级的调控
进行稳态光致发光(PL)和时间分辨光致发光(TRPL)测量来评估空穴提取能力并比较 DAID 分子的钝化效果。如图 4a 所示,与TPA-BA (49%) 和 TPA-BAC(24%)处理的薄膜相比,经过TPA-BAM 处理的钙钛矿薄膜表现出最强的PL强度猝灭,达到原始薄膜的11%,这表明该薄膜的效率更高。从钙钛矿到TPA-BAM 的空穴提取。此外,经过TPA-BAM和TPABAC处理的钙钛矿薄膜的PL发射峰与原始薄膜相比表现出蓝移,这证实了其对钙钛矿薄膜表面深陷阱的有效钝化。这是因为与陷阱相关的辐射复合发射的光子能量低于带边复合。钝化这些陷阱态可以使钙钛矿薄膜的 PL 峰蓝移。此外,平均荧光寿命 (τave)通过拟合 TRPL曲线来确定(图 4b)。与对照膜(τave = 268.01 ns)、TPA-BA(τave = 127.13 ns)和TPA-BAC(τave = 98.83 ns)处理膜相比,TPA-BAM 显示出最短的τave值,为82.12 ns。这种更快的衰减表明TPA-BAM 的电荷载流子提取更有效,与PL结果一致。使用空间电荷限制电流(SCLC)方法计算陷阱态密度(Nt),如图4c所示。经过TPA-BAM处理的钙钛矿薄膜表现出最低的Nt。
鉴于界面偶极子会对钙钛矿材料的功函数(WF)产生重大影响,我们采用紫外光电子能谱(UPS)来研究DAID分子如何影响钙钛矿薄膜的能级参数(图4d)。详细参数显示在器件的能级方案中(图4e)。经过TPA-BA、TPA-BAC和TPA-BAM表面处理后,裸钙钛矿的WF值分别从4.81下降到4.63、4.60和4.58 eV。功函数的降低归因于钙钛矿和 HTL 界面之间 DAID 分子形成分子偶极层。由于偶极子夹层的存在,钙钛矿界面电子能带的真空能级(Evac)发生了显着的变化,可以用Δ = 𝑛𝑒𝑝⃗/𝜀0𝜀 来描述,其中n是电偶极子的密度,p⃗⃗为偶极矩,ε和ε0分别表示偶极材料的介电常数和真空介电常数。如图4e所示,界面偶极子的负端指向钙钛矿层,而正端指向空穴传输层。负偶极子引起局部真空能级向下移动,从而导致钙钛矿表面的功函数降低。
此外,TPA-BA、TPA-BAC、经计算,与对照(-5.50 eV)相比,经过 TPABAM和TPABAM 处理的钙钛矿薄膜分别上移至-5.40、-5.28和-5.25 eV。一般来说,理想的HOMO能级偏移,即活性材料的HOMO与HTL之间的能级差,需要略大于激子结合能。这通过促进光生空穴载流子从活性材料转移到 HTL 来确保有效的电荷分离,同时最大限度地减少由于不利的能级失准而导致的活性层内的复合损失。[30]由于钙钛矿的激子结合能极低,理想的条件是最小化 HOMO 能级偏移。[27a] 与对照相比,经过 TPA-BAM 处理的钙钛矿在 DAID 分子中显示出最小的 HOMO 能级偏移(0.05 eV) (0.53 eV),由于增强的能级排列,促进了从钙钛矿层到 HTL 的有利空穴转移。这也意味着,通过 DAID 处理,钙钛矿导带最小值(CBM)和HTL HOMO从1.02 eV(对照)增加到1.30 eV (TPA-BA)、1.45 eV (TPA-BAC) 和 1.50 eV (TPA-BAM),导致 PSC VOC升高。因此,DAID分子的引入导致了钙钛矿薄膜中更有利的梯度能级排列,有效抑制非辐射复合并增强空穴提取,具有提高器件效率的潜力。
图4. 对照和 DAID 分子处理的钙钛矿薄膜的光电特性
要点五:偶极分子对器件能级的调控
最终我们获得对照器件的PCE为22.72%,VOC为 1.139 V,JSC为25.00 mA cm-2,FF为79.80%。与对照器件相比,经TPABA处理的器件的PCE略有提高,为23.49%。TPA-BAC处理过的器件的PCE进一步增加到 24.22%,同时开路电压 (VOC)也更高,达到1.165 V。最显著的结果出现在 TPA-BAM 处理过的器件中,其PCE最高达到25.29%。这一显著的增强可以归因于FF大幅增加84.34% 和VOC更高(1.174 V),这源于能级排列改善、电荷提取和钙钛矿界面缺陷钝化。PSC 的入射光子转换效率(IPCE) 测量(图 5b)得出的积分JSC与J-V结果的误差在 5% 以内。如图 5c 所示,基于每种20个器件的光伏参数对四种PSC进行的统计分析显示出良好的重复性。
值得注意的是,与对照(22.24%)、TPA-BA(23.07%)和TPABAC处理(23.74%)器件相比,TPA-BAM 处理的PSC显示出最高的平均PCE,为24.68%。为了了解DAID分子对 PSC 的VOC的影响,进行了Mott-Schottky测量以确定内置电位(Vbi),如图 5d 所示。与Vbi为 0.74 V 的对照PSC相比,TPA-BAM处理的PSC显示出最高的Vbi值,为0.89 V,这归因于界面偶极子放大了器件内的实际内置电场。通过分析 1/C2 与 V 图计算出空间电荷耗尽宽度(W)。值得注意的是,与基于对照 (57.6 nm)、TPA-BA (78.9 nm)、TPA-BAC (83.6 nm) 的 PSC 相比,经 TPA-BAM 处理的 PSC 显示出最大的90.8 nm W 值。因此,经TPA-BAM处理的PSC表现出更高的内建电位和更宽的W,从而促进有效的电荷分离并抑制载流子复合,最终有助于提高 PSC 中的VOC。
我们进一步研究了未封装 PSC 在各种测试条件下的长期稳定性。在 23±3°C 和 40±10% RH(相对湿度)的环境空气中放置1500小时后,TPA-BAM处理的PSC仍保持初始 PCE 的90%。TPA-BA 和TPA-BAC 处理的 PSC 分别保持初始PCE的81% 和76%,而对照PSC降至初始PCE的 26%(图 5e)。湿度稳定性的提高源于疏水性的增强,这可以通过水的接触角的增加得到证实(见图 5e 中的插入图片)。TPA-BAM具有最高的结合能,在钙钛矿表面表现出最均匀的覆盖,从而产生最强的疏水性,因此具有最高的水接触角。图 3c 中讨论的PL映射图像可以证明表面覆盖率的差异。如图5f所示,在氮气环境中,在25±2 °C的温度下模拟太阳光照射 1250 小时后,TPABAM和TPA-BAC处理的PSC分别保持了初始 PCE 的90%和83%。然而,对照和TPA-BA处理的器件的PCE在老化仅500 小时和800 小时后分别降至初始值的 54% 和 67%。
图5. 对照和 DAID 分子处理的 PSC 的光伏性能和器件稳定性
文 章 链 接
Interface Dipole Management of D-A-Type Molecules for Efficient Perovskite Solar Cells
https://onlinelibrary.wiley.com/doi/10.1002/anie.202404289
通 讯 作 者 简 介
王芳芳副教授简介:2009年博士毕业于吉林大学超分子国家重点实验室,师从马於光院士,同年进入中科院长春应用化学研究所工作,2017年8月正式加入南京工业大学先进材料研究院从事教学科研工作。以通讯作者身份在Nature Communications, Adv. Mater. Angew. Chem. Int. Ed., Adv. Funct. Mater.等学术刊物上发表多篇研究论文。
添加官方微信 进群交流
SCI二氧化碳互助群
SCI催化材料交流群
SCI钠离子电池交流群
SCI离子交换膜经验交流群
SCI燃料电池交流群
SCI超级电容器交流群
SCI水系锌电池交流群
SCI水电解互助群
SCI气体扩散层经验交流群
备注【姓名-机构-研究方向】
投稿请联系contact@scimaterials.cn
点分享
点赞支持
点在看

