研 究 背 景
过渡金属硫化物由于其多尺度存储机制(插入、转化、合金化反应和赝电容电荷存储过程)具有较高的理论容量,是钠离子电池负极材料的研究热点之一。然而,缓慢的反应动力学、较差的离子扩散速率和体积膨胀等带来的技术问题阻碍了其实际应用。半导体异质结构可以通过内建电场效应来增强界面反应动力学,不同组分的协同效应也可以避免在电化学过程中产生金属纳米颗粒的聚集,同时异质结型负极材料在充放电过程中通常会形成反应中间体,化学活性较低的中间体将减缓化学活性较高的材料体积变化,并提升材料的循环稳定性。但是目前制备高质量的异质结构过渡金属硫化物通常会涉及到繁琐的工艺或特殊地成产设备,导致成本的增加且不适合大规模生产。因此,开发一种简单、环保的方法来制备的异质结构材料,符合当前绿色化学、降低能耗和成本的生产理念。
研 究 方 法
我们创新性地提出了一种利用电子废弃物中的合金黄铜作为异质结原材料的合成策略,通过简单的一步水热法成功合成了具有大面积、均匀分布雪花状结构的Cu1.94S/ZnS异质结构材料,并对Cu1.94S/ZnS异质结材料进行了全面的储钠性能表征和密度泛函理论计算。
文 章 简 介
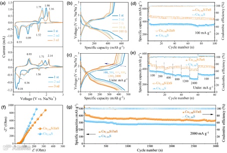
得益于Cu1.94S/ZnS异质结构界面处的协同耦合作用,异质结构中的电荷再分布诱导了内部电场,从而促进了电荷转移,增强了表面反应动力学。此外,放电阶段异质结构的演变可以促进ZnS的完全合金化反应,从而提高电极的可逆容量。基于该Cu1.94S/ZnS负极的电池表现出优异的电化学性能,在100 mA g-1的电流密度下放电容量为440 mAh g-1,在2000 mA g-1的电流密度下循环3000次后放电容量仍有335 mAh g-1。因此,这种制备异质结构的合成方法为寻找高性能钠离子电池负极提供了一种新的绿色和可持续的途径。
图 文 分 析
图1. Cu1.94S/ZnS的制备和结构表征
图2.Cu1.94S/ZnS和Cu1.94S的储钠性能表征
图3. Cu1.94S/ZnS的密度泛函理论计算
通 讯 作 者 简 介
张秋禹 教授:西北工业大学化学与化工学院院长,国家级领军人才。
主要研究方向为多孔聚合物材料、微纳米有机/无机材料杂化材料,仿生智能与功能性高分子材料等。作为课题负责人先后承担国家自然科学基金重点项目、面上项目、973前期课题、863重大专项课题、国防基础科研、国防技术基础、多项军品型号配套项目、陕西省自然基金、陕西省科技计划项目、航空基金、航天基金等多项课题的研究。在Science、Nat. Commun.、Angew、Nano Res.等国内外重要刊物上发表SCI论文450余篇,授权专利80余项。曾获国家科技进步二等奖、国防科技进步一等奖、全国巾帼建功标兵、冯德新高分子奖及陕西省科技一等奖等奖励。
王天帅 副教授:2021年毕业于北京航空航天大学,获工学博士学位,师从张千帆教授;2021年-2022年在香港科技大学机械及航空航天工程系从事访问学者及博士后研究,师从赵天寿院士;2022年8月全职加入西北工业大学化学与化工学院;2023年入选“陕西省科协青年人才托举计划”,担任The Innovation、Nano Materials Science、Exploration、Battery Energy、EcoEnergy、Tungsten和Microstructures等国际期刊青年编委。主要研究方向为高比能电池电极材料及CO2电催化材料的理论设计,目前已发表SCI论文50余篇,其中以(含共同)第一作者及通讯作者在Nat. Catal.、PNAS、Angew、Adv. Mater.、Nano Res.等高影响力国际期刊发表论文30篇。
添加官方微信 进群交流
SCI二氧化碳互助群
SCI催化材料交流群
SCI钠离子电池交流群
SCI离子交换膜经验交流群
SCI燃料电池交流群
SCI超级电容器交流群
SCI水系锌电池交流群
SCI水电解互助群
SCI气体扩散层经验交流群
备注【姓名-机构-研究方向】
投稿请联系contact@scimaterials.cn
点分享
点赞支持
点在看


