文 章 信 息
具有高耐铬性的A位Sr缺陷中熵Sr1-xCo0.5Fe0.2Ti0.1Ta0.1Nb0.1O3-δ固体氧化物燃料电池阴极
第一作者:高源
通讯作者:凌意瀚*,魏波*
单位:中国矿业大学,哈尔滨工业大学
研 究 背 景
固体氧化物燃料电池(SOFC)作为一种环境友好的能源转换装置,可以直接将储存在燃料中的化学能转换成电能。然而,SOFC单体受热力学基本原理的限制,通常采用连接体将多个单体互联组装才可投入实际应用。SOFC高温操作的限制使得连接体通常采用含Cr的金属连接体,且实际操作时含Cr连接体表面会形成Cr2O3氧化层,由于生成的Cr2O3(s)热力学不稳定,其会和O2、H2O在氧分压较高的阴极端发生反应,生成CrO3(g)、CrO2(OH)2(g)等气态物质。这些物质随空气气流进入阴极,从而导致了阴极的Cr中毒。因此,开发具有高性能和耐Cr毒化的新型阴极材料对于加速SOFC阴极抗Cr中毒领域的研究及实际应用具有重要意义。
文 章 简 介
近日,来自中国矿业大学的凌意瀚教授与哈尔滨工业大学的魏波副教授合作,在国际知名期刊Chemical Engineering Journal上发表题为“Sr-deficient medium-entropy Sr1-xCo0.5Fe0.2Ti0.1Ta0.1Nb0.1O3-δ cathodes with high Cr tolerance for solid oxide fuel cells”的研究论文。该文章系统探究了A位Sr缺陷对中熵材料SrCo0.5Fe0.2Ti0.1Ta0.1Nb0.1O3-δ结构、组分及电化学性能的影响机制。研究发现,引入A位Sr缺陷,能够提高材料的氧空位含量,有利于促进材料的氧表面交换动力学,进而提高阴极的活性。更为重要的是,A位Sr缺陷有利于缓解材料表面的Sr偏析及Cr中毒现象,大幅提高阴极的稳定性。
图1. 含Cr气氛下,单电池的性能及Raman-mapping结果
本 文 要 点
要点一:A位Sr缺陷提高材料内氧空位含量
给出了合成后SCFTTN和S0.95CFTTN材料的XPS结果(图2),可以看出S0.95CFTTN材料具有较低的Srsur组分,有利于提高其稳定性;引入Sr缺陷后,Co3+的比例提高,有利于促进Co3+-O2--Co4+导电网络的形成,提高中熵材料的电导率(图3)。此外,可以观察到S0.95CFTTN材料中晶格氧(Olat)比例下降,表明其具有更高的氧空位含量。
图2:SCFTTN和S0.95CFTTN材料的XPS对比
图3给出了SCFTTN和S0.95CFTTN材料的同步辐射、热重结果和电导率对比。从图中可以看出,在引入Sr缺陷后,S0.95CFTTN材料的Co L边向更低的能量方向移动,证实其化合价降低。通过室温碘滴定及热重测试同样表明,S0.95CFTTN材料在测试温度范围内,都有更高的氧空位含量。电导率测试结果表明,随着A位Sr缺陷含量的增加,电导率呈现出先增大后减小的趋势。其中,S0.95CFTTN材料表现出最高的电导率。
图3:SCFTTN和S0.95CFTTN材料的同步辐射、热重及电导率对比
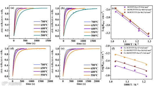
要点二:更高的氧空位含量有利于材料的氧表面交换过程
在含Cr气氛下处理前后的电导弛豫结果表明:将A位Sr缺陷引入后,由于具有更高的氧空位含量,材料表现出更大的氧表面交换系数。此外,在含Cr气氛下处理后,材料的氧表面交换速度均降低。其中,S0.95CFTTN具有更大的氧表面交换系数,表明S0.95CFTTN材料的氧表面交换过程具有更强的耐Cr性,有利于提高阴极的稳定性。
图4:在含Cr气氛下处理前后,S1-xCFTTN材料的电导弛豫对比
要点三:全电池的性能及含Cr气氛下的稳定性
全电池的电化学性能及相应表征:图5a为全电池的扫描电镜横截面图;图4b-c为7000~800℃湿H2 (3% H2O) 条件下SCFTTN和S0.95CFTTN的I-V-P(电流-电压-功率)图,可以看出缺陷中熵材料具有更大的峰值功率密度。图4d为700 °C时SCFTTN和S0.95CFTTN在含Cr条件下的稳定性对比, 图4e-f为测试后单电池的EIS对比,可以看出,引入A位Sr缺陷可以缓解单电池的Cr中毒现象。
图5:单电池的电化学性能和稳定性评估
文 章 链 接
Sr-deficient medium-entropy Sr1-xCo0.5Fe0.2Ti0.1Ta0.1Nb0.1O3-δ cathodes with high Cr tolerance for solid oxide fuel cells
https://www.sciencedirect.com/science/article/pii/S1385894723063970
通 讯 作 者 简 介
凌意瀚 教授简介 教授、博士生导师、洪堡学者、JSPS外国人特别研究员、江苏省双创团队核心、中国矿业大学青年骨干教师、Journal of Advanced Ceramics(SCI收录)编委,《无机材料学报》青年编委、中国硅酸盐学会矿物材料分会青年理事、矿大第八批优秀创新青年团队及江苏省高效储能技术与装备工程实验室骨干成员。主要从事科学研究工作包括:(1)固态电池(固体氧化物燃料电池/电解池、全固态锂、钠离子电池);(2)环境、能源功能陶瓷材料与产品研究开发(陶瓷膜反应器、面向水处理的多孔陶瓷膜制备与应用技术、高温陶瓷气体分离膜)。先后主持国家重点研发计划政府间国际创新合作项目、国家重点研发计划“催化专项”青年科学家课题任务、德国洪堡基金、国家自然科学基金、江苏省自然科学基金、江苏省双创团队子课题负责人、博士后特别资助及面上项目等10多项科学研究项目。指导两项国家级和一项校级重点大学生创新项目及一项省创新工程(江苏省研究生实际创新计划),以第一作者/通讯作者在Adv. Funct. Mater., Appl. Catal. B: Environ., Matter,Applied Energy,J. Mater. Chem. A、ACS Appl. Mater. Inter., J.Power Sources等能源与材料领域权威期刊发表100余篇,其中本科生为第一作者发表SCI文章5篇。
魏波 副教授简介:博士生导师, 德国“洪堡学者”。研究方向为固体氧化物燃料电池及电解池、高效电解水等。近年来在电子-离子混合导体电极的高温物性和电极表面 Cr 沉积等方面取得了多项研究成果。现已在 Appl. Cata. B、Chem. Eng. J.、ACS Appl. Mater Interface、JMCA、J. Power Sources 和 J. Am. Ceram. Soc. 等国际知名杂志发表 SCI 论文110 余篇,已被 SCI 他引>3200 次,3 篇入选 ESI 高引用论文,H 因子为 27,参与编写 英国CRC 出版社图书章节 1 章。先后主持国家自然科学基金面上和青年基金、黑龙江省自然科学基金、中国博士后特别资助、哈工大基础研究杰出人才培育计划等项目10余项。详见个人主页:http://homepage.hit.edu.cn/weibo
第 一 作 者 简 介
高源,中国矿业大学材料与物理学院博士后,合作导师凌意瀚教授,博士毕业于哈尔滨工业大学物理学院,导师魏波副教授。
添加官方微信 进群交流
SCI二氧化碳互助群
SCI催化材料交流群
SCI钠离子电池交流群
SCI离子交换膜经验交流群
SCI燃料电池交流群
SCI超级电容器交流群
SCI水系锌电池交流群
SCI水电解互助群
SCI气体扩散层经验交流群
备注【姓名-机构-研究方向】
投稿请联系contact@scimaterials.cn
点分享
点赞支持
点在看

