文 章 信 息
电化学诱导钒氧化物相变反应显著提高储锌能力
第一作者:莫立娥
通讯作者:李兆乾*,胡林华*
单位:中国科学院合肥物质院固体物理研究所,中国科学技术大学科学岛分院
研 究 背 景
聚水系锌离子电池具有理论比容量高、氧化还原电位低、安全可靠,环境友好等优点,是一种很有前途的规模化储能技术。钒氧化物因其丰富的价态和开阔的晶体结构可以可逆的存储Zn2+,但也存在一些不可忽视的问题,如层状结构不稳定、电子导电性低等,导致循环容量和稳定性不尽如人意。受限于不稳定的层状结构和较低的电子传导性,设计高容量和循环稳定性好的钒基材料仍然是一个挑战。
文 章 简 介
近日,来自中国科学院合肥物质院固体物理研究所的李兆乾副研究员、胡林华研究员团队在国际知名期刊ACS Nano上发表题为:“Electrochemically Induced Phase Transformation in Vanadium Oxide Boosts Zn-Ion Intercalation”的研究文章。研究人员利用电化学循环过程中原子的自组装特性,电化学诱导钒氧化物晶体结构重排,在充电过程中发生晶体结构自优化,形成最适宜锌离子嵌-脱的大层间距晶体结构。同时,通过相变反应减小了材料的带隙,提高了电导率,降低了Zn2+扩散能垒,使得诱导重排形成的V5O12·6H2O正极材料具有极高的Zn2+存储容量,并且由于大层间距结构吸收了锌离子嵌-脱引起的正极材料体积的收缩和膨胀,从而极大的提高了水系锌离子电池的循环稳定性。电化学诱导相变策略为高性能水系锌离子正极材料的开发提供了新的研究思路。
图1 电化学诱导相变反应示意图
本 文 要 点
要点一:V6O13结构表征
作者以商用V2O5为前驱体,采用水热法制备了隧道状单斜结构的V6O13。SEM显示制备的V6O13具有超薄纳米带形貌,这将有利于电解液与正极材料的接触以及离子的传输,有望获得高性能电池。TEM清晰地显示了(110)平面上的晶格条纹,其间距为0.351 nm。EPR和XPS测试进一步证实了V4+在V6O13中的存在。
图2 V6O13的结构与表征。(a) Rietveld精细化结构XRD谱图;(b)晶体结构图;(c) SEM;(d) HRTEM图,插图显示了V6O13沿(110)平面投影的结构。
要点二:电化学诱导隧道状V6O13到层状V5O12·6H2O相变过程
将这种纳米带V6O13材料作为水系锌离子电池的正极材料,从CV曲线可以看出,在第一次充电到1.59 V左右时出现了一个较大的氧化峰,但在第二次和第三次充电时消失,这就说明在1.59 V时发生了不可逆的电化学氧化过程。原位和非原位的正极材料XRD数据显示,在首次充电到1.59 V之前,正极材料的XRD图谱与V6O13 (JCPDS No. 71-2235)吻合良好,充电到1.59 V之后 XRD峰位与层状V5O12·6H2O (JCPDS No. 45-1401)吻合较好。这就明确了相转变反应的发生,隧道状的V6O13完全相变成了层状的V5O12·6H2O。
非原位的XPS测试表明,在充电到较高电压1.5V以上时,钒氧化物中存在的V4+被电化学氧化成了V5+,这就使放电时,可以有更多的V5+被还原,理论上电池可以提供更高的放电比容量。恒流充放电(GCD)曲线显示,正极材料在第一次放电时提供仅400 mAh g-1的比容量,但在随后的充电过程中经过充分的氧化(在1.5 V左右时有一个明显的平台),提供595 mAh g-1的高充电比容量,第5圈时放电比容量达到最高609 mAh g-1(基于原始V6O13质量),映证了电极材料的Zn2+的存储性能,在第一次充电过程后获得了明显的提升。
图3 V6O13正极材料的电化学诱导相变。(a) CV曲线。(b) 电池充放电曲线。(c) 正极材料原位XRD图谱。(d)电化学诱导相变反应机理图(仅显示主要组分)和Zn2+/H+储存机理。
要点三:电化学诱导相变反应对能带结构及Zn2+迁移能垒的影响
密度泛函理论(DFT)计算揭示了隧道-层状相变反应对锌离子动力学过程的内在影响。计算表明,V5O12·6H2O (0.0006 eV)的带隙比V6O13 (0.5010 eV)的更小,材料的导电性更好,更有利于氧化还原反应中的电子转移。电子态密度(PDOS)显示,V5O12·6H2O在费米能级处的电子态密度更大,其中V-d态和O-p态的贡献约为50%,它们是导电电子的主要来源,并且,在V5O12·6H2O的费米能级处还出现了一个中间能级,这为充放电过程中电子的转移提供了一个中间步骤,可以促进电子的传输动力学。通过对比,Zn2+在V6O13中沿b轴扩散其需要跨越的能垒也比V5O12·6H2O中的大得多,表明Zn2+在V5O12·6H2O中的扩散更加容易。
图4 V6O13和V5O12·6H2O的能带结构、带隙、态密度和扩散能垒的比较。a) V6O13和b) V5O12·6H2O的能带图和态密度图。c) V6O13中锌离子沿b隧道和V5O12·6H2O层间扩散路径示意图。d) (c)对应的Zn2+扩散能垒。
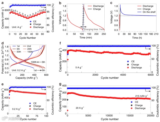
要点四:优异的电化学性能
相变反应的发生实际是正极材料结构上的一个自优化过程,相变后形成的V5O12·6H2O在拥有更大层间距的同时,还具有更小的带隙,更高的导电率以及更小的离子迁移能垒,因此,该电极材料在0.1 A g-1的电流密度下获得了609 mAh g-1的高放电比容量,卓越的倍率性能(20 A g-1时放电比容量依然达到300 mAh g-1),快速充电能力(465 mAh g-1充电7分钟),以及出色的循环稳定性,5 A g-1电流密度下循环5000次后,仍具有346 mAh g-1的可逆容量。
图5 相转变正极材料的电化学性能。(a)不同电流密度下电池的倍率性能;(b)快充慢放试验,5 A g-1充电,0.2 A g-1放电;(c)满充后电池的静置开路电压;(d) GCD曲线;(e) 0.2 A g-1、(f) 5 A g-1和(g) 20 A g-1电流密度下的循环稳定性试验以及相应的库仑效率。
文 章 链 接
Electrochemically Induced Phase Transformation in Vanadium Oxide Boosts Zn-Ion Intercalation
https://pubs.acs.org/doi/10.1021/acsnano.3c11217
第 一 作 者 简 介
莫立娥博士
中国科学院合肥物质科学研究院助理研究员,中国科学技术大学博士研究生,导师为胡林华研究员。近年来主要从事离子电池储能材料及器件相关研究,已在ACS Nano, Adv. Energy Mater., Adv. Funct. Mater.等国际期刊发表SCI论文40余篇,授权专利3项,作为负责人承担国家重点研发计划子课题,并作为骨干人员参与储能横向项目。
通 讯 作 者 简 介
李兆乾副研究员简介
现为中国科学院合肥物质科学研究院固体物理研究所副研究员
2013年毕业于南京大学化学化工学院,获化学博士学位。2013-2016中科院合肥物质科学研究院博士后,2017年入选首批国家留学基金委“国际清洁能源拔类创新人才培养项目”,2017.09-2017.12瑞典麦拉达仑大学访问学者,2018.12-2020.05美国华盛顿大学材料科学与工程系曹国忠教授课题组博士后。主要从事离子电池储能及钙钛矿太阳电池研究。在离子电池正极材料、电解液及钙钛矿太阳电池电荷传输材料和器件、及器件功效评估理论模型等方面,开展了前瞻性和特色性研究,并被国内外同行认可。近年来,在ACS Nano, Nano Lett, Adv. Funct. Mater., Progress in Materials Science等杂志发表SCI论文60余篇,其中4篇入选ESI高被引论文,1篇入选Hot paper热点论文。作为负责人承担国家重点研发计划子课题、安徽省自然科学基金等多项科研项目。
胡林华研究员简介
现为中国科学院合肥物质科学研究院固体物理研究所研究员,博士生导师。2014年在瑞士洛桑联邦理工学院进行工作访问。现任中国可再生能源学会光伏专委员会委员;中国硅酸盐学会薄膜与涂层分会理事和安徽省新能源协会理事;动力电池绿色制造安徽省重点实验室学委会委员。
主要研究纳米结构材料及其在薄膜太阳电池和储能器件中的应用。主持国家重点研发计划和“863计划”项目2项,主持国家基金青年、面上及国际合作项目5项。曾参加国家“973项目”和安徽省重大项目等。近几年在Adv. Energy Mater., ACS Energy. Letts., ACS Nano, Adv. Funct. Mater.等国际期刊发表论文80余篇,合作发表论文>200篇;在国内外学术会议上作邀请报告20余次;获授权发明专利6项;参与出版专著2部。曾荣获中国可再生能源学会科学技术二等奖。
添加官方微信 进群交流
SCI二氧化碳互助群
SCI催化材料交流群
SCI钠离子电池交流群
SCI离子交换膜经验交流群
SCI燃料电池交流群
SCI超级电容器交流群
SCI水系锌电池交流群
SCI水电解互助群
SCI气体扩散层经验交流群
备注【姓名-机构-研究方向】
投稿请联系contact@scimaterials.cn
点分享
点赞支持
点在看

