文 章 信 息
有机阳离子插层和空位工程显著提升MnPS3负极的储钠能力
第一作者:钟隆盛
通讯作者:雷水金*
单位:南昌大学
研 究 背 景
近年来,二维过渡金属磷硫化合物(2D MPS3)因其丰富的组成和独特的层状结构而被认为有望成为高性能钠离子电池(SIB)负极材料。然而,在储钠过程中,MPS3负极存在着低电导率和充放电过程中易粉碎的固有缺陷。传统的解决方法主要包括与碳材料复合和降低MPS3材料的尺寸。这些改性方法虽然取得了一些进展,但所获得的比容量仍然远远低于理论值。这主要是因为这些方法忽略了对层状MPS3材料内部空间的充分利用。因此,通过插层化学的手段来提升MPS3基负极储钠性能显得至关重要。本研究展示了有机阳离子插层对于MnPS3负极储钠性能的有效提升,并为改善MPS3材料的储能性能提供了一种有效的策略。
文 章 简 介
近日,来自南昌大学的雷水金教授,在国际权威期刊Chemical Engineering Journal上发表题为“Intercalation and Defect Engineering of Layered MnPS3 for Greatly Enhanced Capacity and Stability in Sodium-Ion Batteries”的研究文章。该研究采用了简单的液相反应,分别将三种有机阳离子(吡啶氢阳离子,pyH+;四乙基铵阳离子,Et4N+和四甲基铵阳离子,Me4N+)插入到MnPS3层间。这一插层过程显著扩大了插层MnPS3材料的层间距;此外,有机阳离子取代了部分Mn2+阳离子,形成了Mn金属空位。这种方法不仅扩大了层间距,同时引入了Mn空位,共同增强了储钠动力学。最终实现了高比容量、高倍率和循环能力的有机阳离子插层MnPS3负极。
图1. Mn1−xPS3(Me4N+)2x 纳米片的合成路线图。
本 文 要 点
要点一:有机阳离子插层MnPS3的制备
有机阳离子由于较大的尺寸成为有效扩大主体材料层间距的理想客体材料。此外,有机阳离子具有抑制主体材料结构形变的特性,有助于维持主体材料的结构稳定性。更为重要的是,带正电荷的有机阳离子能够轻松地被引入具有负电性的MPS3层间。因此,通过将MnPS3粉末与三种有机盐溶液进行简单的搅拌反应,成功地实现了三种有机阳离子的插入到MnPS3层间,并取代了部分Mn位点,导致了Mn空位的形成。一系列的表征结果证实了有机阳离子的插入、Mn空位的引入以及插层后结构的稳定性。此外,插层MnPS3的润湿性和电导率也都显著提升。
图2. 纯MnPS3和插层MnPS3的XRD图谱对比。
图3. 纯MnPS3和Mn1−xPS3(Me4N+)2x 纳米片的(a) FTIR图谱,(b) Raman,(c) XPS全谱,(d)S 2p图谱和(e)P 2p图谱。(f) Mn1−xPS3(Me4N+)2x 纳米片的N 1s图谱。
要点二:插层MnPS3负极的储钠性能
相比于纯MnPS3纳米片材料,制备的Mn1−xPS3(Me4N+)2x负极表现出更优异的储钠性能,在0.1 A g-1和5 A g-1的电流密度下分别表现出890 mAh g-1和615 mAh g-1的高比容量;在1 A g-1的电流密度下循环700圈后,依然能够提供676 mAh g-1的放电比容量,容量保持率高达94%。由于更大的层间距和增强的电导率,相较于纯MnPS3,Mn1−xPS3(Me4N+)2x负极表现出较小的电荷转移电阻和更高的Na+扩散系数。此外,Mn1−xPS3(Me4N+)2x负极的储钠动力学主要由电容行为主导。
图4. (a) 纯MnPS3和(b) Mn1−xPS3(Me4N+)2x 电极的初始CV曲线。(b) MnPS3和Mn1−xPS3(Me4N+)2x负极的倍率能力。(d) 纯MnPS3和(e) Mn1−xPS3(Me4N+)2x电极在不同电流密度下的GCD曲线。(f, g) MnPS3和Mn1−xPS3(Me4N+)2x负极的循环性能。(h) MnPS3和Mn1−xPS3(Me4N+)2x负极的EIS图谱对比。
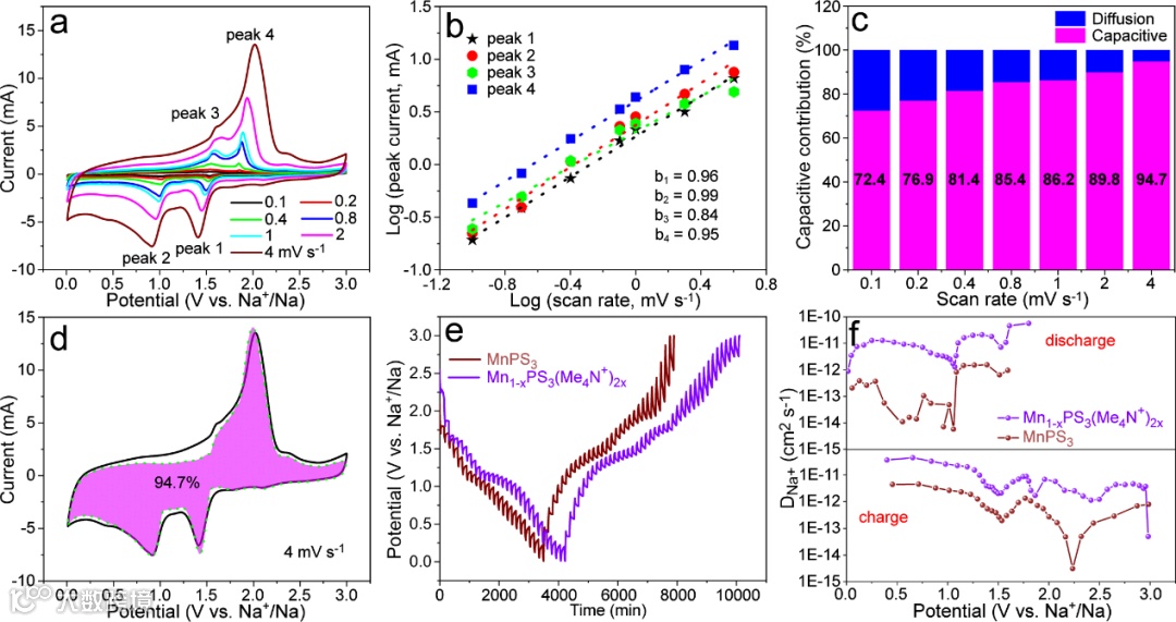
图5. Mn1−xPS3(Me4N+)2x负极的动力学分析:(a)不同扫速下的CV曲线;(b)不同扫速下的b值;(c)不同扫速下电容和扩散行为控制的容量贡献率;(d)在4 mV s-1扫速下的电容贡献的CV曲线示意图;(e) GITT图谱和(f) Na+扩散系数。
要点三:MnPS3储钠机理分析
通过对比MnPS3和插层MnPS3的CV曲线,可以观察到它们具有相似的氧化-还原峰,表明它们具有类似的储能机理。本研究以MnPS3负极为研究对象,通过非原位XRD分析了它们的储钠机理。研究结果表明,在首次放电过程中,微弱的P-S键发生了不可逆的断裂。在随后的充放电过程中, P和S共同参与与钠的可逆电化学反应,共同贡献了超高的可逆比容量。这一发现揭示了MnPS3负极在储钠过程中的电化学行为,为进一步优化和设计高性能钠离子电池提供了重要的参考。
图6. MnPS3负极在不同充放电电压下的XRD图谱。
文 章 链 接
Intercalation and Defect Engineering of Layered MnPS3 for Greatly Enhanced Capacity and Stability in Sodium-Ion Batteries
https://doi.org/10.1016/j.cej.2023.148370
通 讯 作 者 简 介
雷水金教授简介:博士,教授,博士生导师,入选江西省“井冈学者”特聘教授、江西省青年科学家、南昌大学“赣江特聘教授”。2006年毕业于中国科学技术大学化学与材料科学学院、合肥微尺度物质科学国家实验室。2013-2014年,作为中组部“西部之光”访问学者于中国科学技术大学从事研究工作。2015-2016年,于香港理工大学从事博士后研究工作。2006年入职南昌大学,主要研究兴趣聚焦于功能纳米材料与器件的制备及其性能研究。主持了国家自然科学基金、国家863项目子课题、教育部博士点基金、江西省青年科学家项目、江西省科技支撑计划重点项目、江西省自然科学基金重点项目、江西省自然科学基金项目等课题10余项。
相关研究成果已在《Nat. Commun.》、《Appl. Catal. B: Environ.》、《ACS Mater. Lett.》、《Chem. Mater.》、《Chem. Eng. J.》、《J. Mater. Chem. A》、《J. Energy Chem.》、《Carbon》等国外知名SCI刊物上发表学术论文130余篇,授权国家发明专利5项。
第 一 作 者 简 介
钟隆盛,男,南昌大学2022级博士研究生,研究方向为过渡金属磷硫化合物的改性及其电化学性能研究。
添加官方微信 进群交流
SCI二氧化碳互助群
SCI催化材料交流群
SCI钠离子电池交流群
SCI离子交换膜经验交流群
SCI燃料电池交流群
SCI超级电容器交流群
SCI水系锌电池交流群
SCI水电解互助群
SCI气体扩散层经验交流群
备注【姓名-机构-研究方向】
投稿请联系contact@scimaterials.cn
点分享
点赞支持
点在看

