研 究 背 景
卤化物电解质作为正极离子导添加剂具有离子电导率高、电化学稳定性好、且具有一定的韧性等优点,近年来受到广泛关注。但是,卤化物在正极中的稳定作用,特别是卤化物与活性材料的界面性能和微结构演变方面,还需要进一步研究。
关键词:钠离子卤化物;固体电解质;全固态钠电池;界面和界面相;高电压稳定性
文 章 简 介
近日,福建师范大学/燕山大学张隆教授等人开发了一种Zr掺杂的Na3YbCl6氯化物电解质(SEs)材料。优化后的材料具有高离子电导率和较宽的电化学氧化窗口。研究发现,对使用Na3-xYb1-xZrxCl6的正极,电池循环引起的体积形变对微结构的演变会产生正面效应:形成卤化物均匀包覆NaCrO2颗粒的核壳状结构。这种接触良好的核壳状结构形成均匀的离子传输,且缓冲了电化学机械应力。由其组装的全固态钠电池(ASSNB)的主要容量损失只发生在最初的几十次循环中,主要由NaCrO2中不可逆的O3→O’3相变所引起。具有柔软特性和高氧化稳定性的卤化物添加剂,为氧化物活性物质中提供高质量的界面,并维持优异的ASSNB循环稳定性。
本 文 要 点
1. 报道了一种Zr掺杂Na3-xYb1-xZrxCl6氯化物基固体电解质(SEs),该电解质具有高离子电导率和优异的(电)化学稳定性;
2. 发现正极循环时的体积变化起到正面作用,形成核壳状包覆结构,即软的卤化物均匀包裹在NaCrO2晶粒表面。这种特殊的结构可以促进离子的均匀传递,缓冲电化学-机械应力;
3. 容量损失主要发生在前几十圈次循环中,主要由NaCrO2的不可逆O3→O’3相变引起。
图 文 分 析
采用球磨法合成了Na3-xYb1-xZrxCl6电解质,Na3-xYb1-xZrxCl6的XRD谱图如图1b所示,Zr掺杂引起化学结构变化。图1d为Na3-xYb1-xZrxCl6的离子电导率,在0.5≤x≤1的范围内达到10-5 S cm-1以上。NaYbZrCl0.75的最大值为6.6 × 10-5 S cm-1。如图1e所示,测试NaYbZrCl0.75的氧化极限电压相较于Na3PS可以达4.1 V (vs. Na2Sn/Na+),确保了作为离子导体的NaYbZrCl0.75可匹配氧化物活性材料。
图1. (a) Na3-xYb1-xZrxCl6合成过程示意图。(b) Na3-xYb1-xZrxCl6的球磨XRD谱图。(c) NYbC的晶体结构。(d)离子电导率随Zr浓度变化关系。(e) NaYbZrCl0.75和Na3PS4电解质的循环伏安曲线。
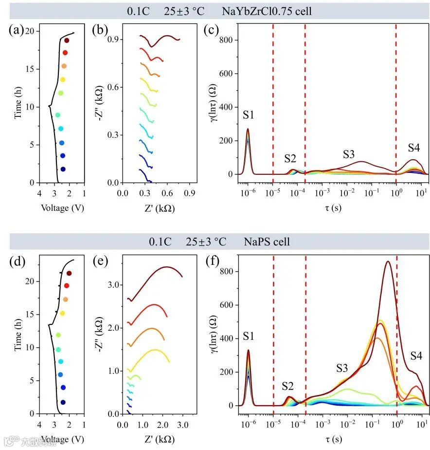
图2为添加了NaYbZrCl0.75和NaPS的充放电曲线,以及相应的原位GEIS和DRT分析。在第一个周期内,NaYbZrCl0.75电池的阻抗无明显变化(图2b),而NaPS电池的EIS变化明显(图2d)。利用半定量DRT对阻抗谱进行进一步分析,发现这两种电池的弛豫时间(τ)有四个范围,分别标记为S1, S2, S3和S4。在S1范围内,弛豫时间位于~10-6 s,几乎与充放电状态无关,这是由于NaPS电解质的晶粒/晶界响应。S2区域对应于SE/Na2Sn阳极界面的电荷输运。S3区域与离子在正极界面和正极内部的输运有关,位于10-4-100 s的弛豫时间范围内。在这项工作中,S3分布主要由复合正极中的Na+扩散控制。S4区域与电极的扩散阻抗有关。对于NaYbZrCl0.75电池(图2c),这四个DRT区域的峰值随弛豫时间变化不明显,表明该电池的正极和阳极在充放电过程中(电)化学稳定。相比之下,NaPS电池的DRT峰表现出明显的差异。
图2. NaYbZrCl0.75 (a-c)和NaPS (d-f)电池的原位阻抗分析。(a, d)时间-电压曲线。(b, e) GEIS的变化。(c, f) GEIS结果得到的DRT变换。
随后还通过dQ/dV曲线研究了NaCrO2活性材料的相变。在1.7-3.4 V电压窗口内,三种电池在循环过程中表现出相似的电化学过程,NaCrO2相变为O3→O'3→O'3E→P'3。在前几十次循环中,在2.8 ~ 3.0 V电压范围内的峰值强度减小。该电压范围对应于O3→O’3相变过程,表明相变是不可逆的。由于电化学极化较小,NaYbZrCl0.75电池(图3d和e)的dQ/dV曲线在峰值位置和强度上只有有限的变化。而NaPS电池在50次循环左右氧化还原峰消失(图3f)。这一结果进一步证实了NaYbZrCl0.75/NaCrO2具有良好的相容性。
图3. (a-c)为NaYbZrCl0.75和NaPS电池在部分循环下的充放电曲线,以及相应的微分容量曲线。
在全固态电池中,体积变化引起的(电)化学机械应力是严重的,因此循环过程中正极微观结构的完整性也是影响电池性能的关键因素。值得注意的是,复合正极的形貌有明显的不同。如图4a和b所示,循环前,部分NaCrO2和NaYbZrCl0.75团聚体/颗粒与碳纤维分离,没有很好的接触;循环后,孔隙/空隙消失,整个正极变得致密。然而,在NaPS正极中没有观察到这种情况。因此,含有NaYbZrCl0.75的正极形成了一种特殊的微观结构。如图4c和d所示,在NaCrO2晶粒表面有一个均匀的NaYbZrCl0.75包覆。形成这种包覆结构的先决条件是:NaYbZrCl0.75/NaCrO2良好的(电)化学稳定性,确保不会形成破坏物理接触的界面相。
图4. 循环前后的NaYbZrCl0.75电池复合正极。(a, b) SEM图像。(c)环形暗场模型下的STEM图像,(d)选定区域的EELS映射。(e)复合正极结构变化示意图。
考虑到NaYbZrCl0.75与NaCrO2之间高度稳定的界面,以及电化学循环过程中形成的核壳状结构(NaYbZrCl0.75@NaCrO2),我们减少了正极中NaYbZrCl0.75添加剂的用量,以提高活性物质的质量负载(4.6 mg cm-2活性物质,8 mg复合正极)。图5a和b分别显示了在0.2C(25±3 °C)和1C(60 °C)下循环的NaYbZrCl0.75电池(复合正极中NaCrO2的重量负载为60%,电压窗为1.4-3.5 V)的循环性能。这两种电池都表现出良好的比容量和良好的循环稳定性。
图5. (a) 0.2C和(b, c) 1C电流密度下NaYbZrCl0.75电池的电化学性能。(d)钠氯化物ASSNB文献的循环圈数和循环后容量。
总结与展望
综上所述,采用高能球磨法合成了Na3YbCl6基氯化物电解质。与Na2Sn/Na+相比,经Zr掺杂优化的NaYbZrCl0.75 SE具有6.6 × 10-5 S cm-1的高离子电导率和~4.1 V的电化学氧化极限电压。电池的电化学长循环和原位EIS/DRT分析表明,正极中的NaYbZrCl0.75添加剂与NaCrO2具有良好的相容性,是实现高性能ASSNB的关键因素。值得注意的是,正极的体积变化会产生正面作用。它诱导在NaCrO2晶粒表面形成一种特殊的核壳状结构,具有均匀的NaYbZrCl0.75包裹,这种柔软的亲密接触可以促进离子的均匀传输,减轻(电)化学机械应力。对于NaYbZrCl0.75 ASSNB,最初几十次循环时的容量损失主要是由NaCrO2中不可逆的O3→O’3相变引起的。在1.4 ~ 3.5 V电压范围内,添加了NaYbZrCl0.75添加剂的ASSNB具有良好的循环稳定性,在25±3 °C条件下,1000次循环容量保持率为74.1 %,在60 °C条件下,1900次循环容量保持率为83.0 %,是迄今为止最好的ASSNB之一。优化后钠离子氯化物具有柔韧性和高氧化稳定性,是应用于全固态电池良好电解质。
文 章 链 接
Lin Li, Jingming Yao, Ruonan Xu, Qiaoquan Lin, Xinlin Yan, Chuang Yu, Long Zhang*. Highly Stable and Encapsulation-Microstructural Cathode Derived by Self-Pressurization Behavior in Na-Halides-Based All-Solid-State Batteries, [J] Energy Storage Materials, 2023, 103016
DOI:10.1016/j.ensm.2023.103016
原文链接:https://doi.org/10.1016/j.ensm.2023.103016
添加官方微信 进群交流
SCI二氧化碳互助群
SCI催化材料交流群
SCI钠离子电池交流群
SCI离子交换膜经验交流群
SCI燃料电池交流群
SCI超级电容器交流群
SCI水系锌电池交流群
SCI水电解互助群
SCI气体扩散层经验交流群
备注【姓名-机构-研究方向】
投稿请联系contact@scimaterials.cn
点分享
点赞支持
点在看


