文 章 信 息
四吡啶基卟啉电化学催化剂电压下调控多硫化锂氧化还原转化机理研究
第一作者:周鹏
通讯作者:舒洪波*,刘泓*,王先友*
研 究 背 景
锂硫电池因具有高理论能量密度等特点,在近几十年来赢得了广泛的关注。然而,界/相面间电荷转移速度慢、多硫化物氧化还原反应动力学迟缓等因素严重影响了硫化锂基锂硫电池的能量输出,延缓了锂硫电池的进一步应用。电化学催化剂与多硫化锂的结合关系决定了其催化多硫化锂氧化还原转化的调控能力。但是二者的结合关系在电压下的调控作用机理仍需进一步阐明。因此,研究电化学催化剂在电压下调控多硫化锂的氧化还原转化机理为未来高性能锂硫电池正极材料的设计和产业化提供了助力。
文 章 简 介
本研究引入含有长孤对电子氮原子以及π-共轭芳香结构的四吡啶基卟啉(T4PP)作为电化学催化剂至锂硫电池正极中,旨在加速多硫化锂氧化还原反应动力学,抑制多硫化锂的“穿梭效应”。研究结合泛密度函理论和实验结果证明电压下的四吡啶基卟啉与多硫化锂的化学键合效应增强,有利于二者间的接触和电荷传输。此外,研究通过对固-液模型的分子动力学模拟实验表明,四吡啶基卟啉增加了锂离子和长链多硫根离子键合的可能性,促进了多硫化锂从电解液中的析出和聚集,有利于材料与多硫化锂之间的电荷传输以及材料对多硫化锂的限域作用。研究实验结果亦表明引入四吡啶基卟啉的硫化锂基锂硫电池正极具有较好的放电比容量和循环稳定性。
Figure 1. The chemical binding between pyridyl porphyrin and lithium polysulfides is beefed up under higher voltage, which facilitates the charge transfer; the presence of pyridyl porphyrin increases the binding chances between Li+ and polysulfides and forms clusters rather than dissolving in electrolyte, which is good for charge transfer and polysulfides localization/conversion.
本 文 要 点
1. 正极材料物理化学表征
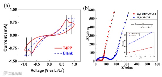
首先对正极材料进行了物理化学表征。根据SEM、TEM图可知,四吡啶基卟啉(T4PP)呈光滑的叠片结构。而复合后的正极材料Li2S-T4PP-GO-CNT则形成了表面粗糙且较为致密的结构,有利于电子传输。研究通过XPS、红外光谱、核磁共振、紫外可见吸收光谱以及飞行时间质谱等实验对四吡啶基卟啉进行了结构表征,通过氮气吸/脱附实验证实了加了T4PP的Li2S-T4PP-GO-CNT相比对照组具有更小的比表面积和总孔体积。本文通过对称电池实验发现T4PP催化长链多硫化物的氧化还原转化作用明显。电化学阻抗实验证明加了T4PP的Li2S-T4PP-GO-CNT相比对照组电荷传输电阻明显减小,锂离子扩散速率明显增强。
Figure 2. SEM images of the a) T4PP, b, c) as-prepared Li2S-T4PP-GO-CNT material and d, e) Li2S-GO-CNT composite; TEM image f), HAADF g), and the corresponding elemental mappings h-j) of Li2S-T4PP-GO-CNT composite.
Figure 3. a) XPS survey spectra of Li2S-GO-CNT (red) and Li2S-T4PP-GO-CNT (black) and high-resolution spectra of Li2S-T4PP-GO-CNT composite at b) N 1s, c) C 1s, d) Li 1s and e) S 2p core levels; f) FT-IR spectra of Li2S-T4PP-GO-CNT composite.
Figure 4. 1H NMR spectrum a) and 13C NMR spectra b) of T4PP; c) curves and d) MALDI-TOF mass spectrum of T4PP; pore size distribution curve and the nitrogen adsorption-desorption isotherms (inset) of Li2S-T4PP-GO-CNT e) and Li2S-GO-CNT f).
Figure 5. a) CV of symmetric cells of Li2S-T4PP-GO-CNT sample (red) and Li2S-GO-CNT sample (blue) electrodes with Li2S6 as the electrolyte; b) EIS Nyquist plots, equivalent circuit diagram (inset) and Z′ versus the inverse of the square root of lower angular frequency (ω-0.5) (inset) of the Li2S-T4PP-GO-CNT sample (red) and Li2S-GO-CNT sample (blue) after first several cycles.
2、DFT理论计算和分子动力学模拟研究硫的氧化还原动力学
DFT理论计算外加电场下四吡啶基卟啉与多硫化锂相互作用,可以看到高电压下二者的结合能力更强,有利于相互间的电荷传输和加速硫活性物质的氧化还原反应动力学。通过分子动力学模拟发现四吡啶基卟啉有助于锂离子在正极内的扩散和传输,同时也有利于增加锂离子与多硫根离子形成团簇的可能性,促进了硫活性物质的转化,减少了多硫化锂的溶解与穿梭。
Figure 6. a) Binding energies and b) charge transfer between sulfur species and T4PP at the electric field of −0.01Z, −0.005Z, Zero, 0.005Z, and 0.01Z; c) HOMO and LUMO levels and bandgap centers of sulfur species with respect to vacuum energy and d) distributions of Li2S6-T4PP nanocluster at the electric field of −0.01Z, Zero, and 0.01Z, respectively.
Figure 7. a) MD solid-liquid model with T4PP-GO-CNT and GO-CNT; b) components of model with T4PP-GO-CNT and GO-CNT; c) self-diffusion coefficient of Li+ with T4PP-GO-CNT and GO-CNT; d) RDF and CN of Li+-S82-, Li+-S62- and Li+-S42- cluster with T4PP-GO-CNT and GO-CNT; e) RDF and CN of Li+-O with Li2S8, Li2S6 and Li2S4 cluster in T4PP-GO-CNT and GO-CNT; f) normalized CN change of Li+-Sx2- and Li+-O with Li2S8, Li2S6 and Li2S4 cluster in T4PP-GO-CNT and GO-CNT.
3、电化学性能分析
通过将T4PP与碳纳米管和氧化石墨烯混合得到的硫化锂基锂硫电池正极Li2S-T4PP-GO-CNT相比没有T4PP的对照组表现了较高的初始比容量、倍率性能及循环稳定性。根据CV曲线和tafel斜率计算得出硫活性物质的氧化还原反应动力学明显加快。电池在0.1 C下的首次放电比容量达到996 mAh g-1,倍率性能和2 C下循环性能也得到了明显的改善。
Figure 8. Electrochemical performance analysis of different samples. First three CV curves of a) Li2S-T4PP-GO-CNT sample and b) Li2S-GO-CNT sample; c-e) tafel slope of CV curves of anodic peak 1 and cathodic peak 2, 3 of Li2S-T4PP-GO-CNT and Li2S-GO-CNT in the first CV sweep; f) Galvanostatic charge-discharge (GCD) profiles of Li2S-T4PP-GO-CNT sample and Li2S-GO-CNT sample; g) rate capacity of Li2S-T4PP-GO-CNT and Li2S-GO-CNT; h) long-cycling features of two samples at 2 C.
4、小结
研究结合泛密度函理论和实验结果证明电压下的四吡啶基卟啉与多硫化锂的化学键合效应增强,有利于二者间的接触和电荷传输。此外,研究通过对固-液模型的分子动力学模拟实验表明,四吡啶基卟啉增加了锂离子和长链多硫根离子键合的可能性,促进了多硫化锂从电解液中的析出和聚集,有利于材料与多硫化锂之间的电荷传输以及材料对多硫化锂的限域作用。研究实验结果亦表明引入四吡啶基卟啉的硫化锂基锂硫电池正极具有较好的电化学性能,为探究锂硫电池存在的问题及其解决之道并最终实现产业化提供助力。
文 章 链 接
Pyridyl Porphyrin as Electrocatalyst: Regulating the Redox Conversion of Lithium Polysulfides under Voltage
https://doi.org/10.1002/adfm.202311257
通 讯 作 者 简 介
王先友 简介:俄罗斯工程院外籍院士,英国皇家化学会会士,湘潭大学教授、博士生导师, “新能源装备及储能材料与器件”国家国际科技合作基地主任,“新型储能电池关键材料制备技术”国家地方联合工程实验室主任。长期从事电化学能源储存与转换及先进储能材料领域的前沿研究与成果转化,获第十二届中国发明专利优秀奖、湖南省技术发明二等奖等省部级科技奖励10余项。
刘泓 简介:湘潭大学化学学院教师,主要从事新能源材料以及二次电池体系研究。以第一作者在Chemical Engineering Journal、ACS Sustainable Chemistry & Engineering、Electrochimica Acta、Journal of Alloys and Compounds等国际重要期刊发表多篇科研论文并参与发表论文20余篇。主持/参与多个国家级/省级科研项目研发,与企业广泛开展产学研合作。曾在美国佐治亚理工学院(Georgia Institute of Technology)、美国代顿大学(University of Dayton)和美国油井华高公司(NOV)学习和工作。
舒洪波 简介:湘潭大学化学学院教授,湖南省青年骨干教师,湖南省新材料产业协会专家委员会委员,湖南电池协会专家委员会委员,湖南省知识产权维权专家。主要从事锂离子电池方面的研究。主持了国家自然科学基金青年项目、中国博士后科学基金面上资助项目、湖南省自然科学基金项目等项目。获国防科学技术进步奖三等奖、高等教育省级教学成果奖二等奖等奖励。
课 题 组 介 绍
课题组网站:https://nem.xtu.edu.cn/
添加官方微信 进群交流
SCI二氧化碳互助群
SCI催化材料交流群
SCI钠离子电池交流群
SCI离子交换膜经验交流群
SCI燃料电池交流群
SCI超级电容器交流群
SCI水系锌电池交流群
SCI水电解互助群
SCI气体扩散层经验交流群
备注【姓名-机构-研究方向】
投稿请联系contact@scimaterials.cn
点分享
点赞支持
点在看

