文 章 信 息
用于超稳定碱离子电池存储的超薄氢键有机框架(HOF)纳米片
第一作者:汤佳龙
通讯作者:武开鹏*,杨龙*
单位:西南科技大学,四川大学
研 究 背 景
清洁能源的快速发展引发了对大规模储能设备的迫切需求。有机电极碱金属离子电池因其环保、成本低、高理论比容量等特性备受期待,被认为有潜力成为下一代广泛应用的能源储存装置。为了解决低成本的有机电极目前普遍存在的高介电常数和不稳定性等问题,西南科技大学环境友好能源材料国家重点实验室(环境与能源催化课题组)杨龙副教授与四川大学材料科学与工程学院合作,采用苝基HOF(Hydrogen-Organic-Framework) 有机纳米片作为碱金属离子电池的正极材料,获得超稳定的有机电极材料,并进行了深入的实验和理论研究,获得了清晰的构校关系及能量存储机理,该成果也为未来有机电极材料的设计提供了新的思路。
文 章 简 介
近日,来自西南科技大学的杨龙副教授与四川大学的武开鹏副教授合作,在国际知名期刊Small上发表题为“Ultra-Thin Hydrogen-Organic-Framework (HOF) Nanosheets for Ultra-Stable Alkali Ions Battery Storage”的文章。该文章通过构氢键有机骨架,显著的提升了有机电极材料的电子/离子传输速率与稳定性,同时在机理层面上进一步探究了内在原因。
本 文 要 点
要点一:苝基HOF(Hydrogen-Organic-Framework) 有机纳米片构建
基于PTCDA的大苝环,我们引入了二氢二氨(DCD),通过一步水热合成法成功构建了具有氢键有机骨架结构(HOF)的P-DCD。这一设计策略在提升材料的物理/化学稳定性方面发挥了关键作用。P-DCD纳米片具备极为光滑的表面和二维结构,这有助于电解质的扩散,并促进与氧化还原位点-羰基的反应。
图1. P-DCD合成示意图(a)、堆叠方式(b)、电池示意图(c)和粉末图像(d)
图 2. P-DCD HOF 纳米片的结构特征。(a) FT-IR光谱,(b)拉曼光谱,c)固态13 C CP/MAS NMR光谱,(d)TEM图像,(e)AFM图像和(f)P-DCD的测试&模拟高度。
要点二:P-DCD的电化学性能
通过采用强𝜋-𝜋堆叠、氢键有机骨架以及富氮基团的理性设计理念,构建了适用于正极材料的二维结构。合理的结构设计使得P-DCD在碱金属(Li、Na、K)半电池中均展现了卓越的倍率性能与循环稳定性。对于锂离子半电池(图2g),在2,000 A g−1的放电倍率下,循环5,000次后,放电容量保持稳定,甚至从103 mAh g−1略有增加到108 mAh g−1;在钠离子半电池中(图2f),经过10,000次循环后,放电容量仍保持在93.68 mAh g−1,容量保持率高达90.71%。
图3 用于碱金属离子存储的 P-DCD 纳米片的电化学性能。
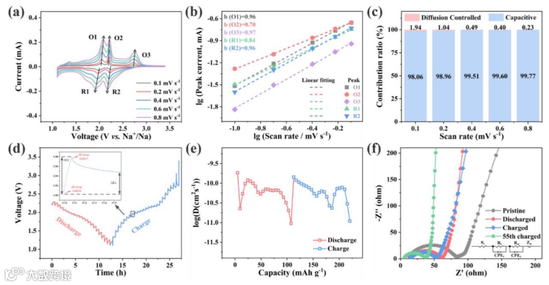
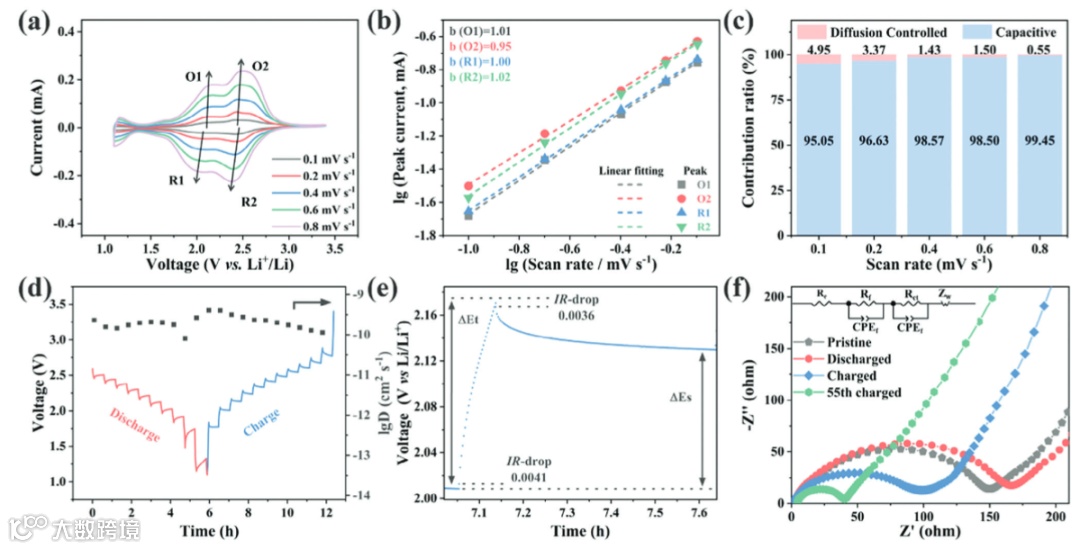
要点三:P-DCD电化学动力学
P-DCD电极峰值电流与扫描速率的平方根不成线性关系,表面氧化还原反应动力学同时存在法拉第过程和非法拉第过程。在不同扫描速率下,P-DCD电极均展现了极高的赝电容贡献,有利于锂离子/钠离子快速扩散。同时,高的离子扩散系数与低的阻抗表明电极材料具有优异的电化学动力学性能。这些是P-DCD电极材料优异的循环性能和倍率性能的关键。
图4. P-DCD在锂离子半电池中的动力学研究
图5. P-DCD在钠离子半电池中的动力学研究
要点四:通过Ex/in situ测试, DFT计算机理研究
通过对不同充放电状态下的红外光谱进行分析,确认了C=O基团参与了锂的脱嵌反应,并验证了P-DCD表现出良好的反应可逆性。此外,通过对经过10000次循环后的P-DCD红外光谱的研究,我们也证实了其卓越的稳定性。此外,通过N元素谱也表明富氮基团也参与了锂的脱嵌过程。In-situ XRD进一步验证了P-DCD电极的卓越稳定性。通过密度泛函理论计算(DFT),我们深入研究了锂化/去锂机理。我们通过模拟𝜋-𝜋 stacking和氢键连接两种特征堆叠模式,每种堆积模式提出9个配位位点,并得到扩散能垒分别为3.5 eV和2.9 eV。这一结果强调了含氮富电子基团在锂的扩散和配位中的重要性,为P-DCD在电池应用中的出色性能提供了理论支持。
图6.不同状态下P-DCD的非原位红外 、拉曼 、XPS N 1s 和 XPS O 1s 光谱。
图7. 第一次充放电过程的原位XRD。
图 8. 通过 𝜋-𝜋 堆叠和氢键堆叠的P-DCD 分子的ESP 电荷分布可视化,以及锂离子扩散路径和相应活化能分布的示意图。
文 章 链 接
Ultra-Thin Hydrogen-Organic-Framework (HOF) Nanosheets for Ultra-Stable Alkali Ions Battery Storage
https://doi.org/10.1002/smll.202307827
通 讯 作 者 简 介
杨龙 副教授简介:西南科技大学环境友好能源材料国家重点实验室研究人员。长期致力于光|/电能源催化、转化与存储研究。2008年和2011年毕业于重庆大学化学工程与技术专业,分别获工学学士和硕士学位(导师:高放教授),2016年毕业于四川大学高分子材料工程国家重点实验室、高分子研究所(导师:淡宜教授),获高分子科学与工程专业工学博士学位。2011-2013年就职于爱斯特(成都)医药技术有限公司,任有机合成课题研究员和项目组长。2016-2018年在中国工程物理研究院总体工程研究所从事博士后研究(合作导师邱勇研究员)。韩国西江大学和韩国能源技术研究所Brain Pool项目高级研究员,韩国人工光合成研究中心高级研究员。先后主持和参加中国博士后科学基金1项,国家自然科学基金青年项目1项,四川省科学基金1项,面上项目2项,韩国国家研究基金Brain Pool(BP Project)1项,高分子材料工程国家重点实验室(四川大学)开放课题2项,总体工程研究所创新与发展基金1项。在Chemical Society Review、Journal of Materials Chemistry A、Small、The Journal of Physical Chemistry C 、The Journal of Physical Chemistry A、ACS Catalysis、Polymer Chemistry、High Performance Polymers、Chemistry-An Asian Journal、Applied Surface Science、RSC Advances、Nanomaterials等SCI杂志发表研究论文45余篇,授权发明专利1项。获得教育部颁发的博士生国家奖学金1项(2015年)。
武开鹏 副研究员:男,甘肃张掖人,四川大学副研究员,硕士研究生导师,新能源材料与器件教学科研中心副主任,入选四川省引进海内外高层次人才计划,被授予四川省特聘专家称号。本科毕业于吉林大学金属材料工程专业;硕士、博士分别毕业于中南大学冶金工程和材料冶金专业(导师:胡国荣教授);现作为骨干成员聚集在四川大学—储能与动力电池材料创新团队(团队负责人:张云教授)。主要从事材料化冶金与电化学储能材料应用研究(属于湿法冶金、材料化学和纳米能源的交叉领域)。迄今以第一/通讯作者在Advanced Energy Materials、Inorganic Chemistry、Small、Green Chemistry、Journal of Materials Chemistry A、Carbon、Separation and Purification Technology等期刊发表SCI论文20余篇,申请和授权发明专利10余项(含美、日、韩、德等外国专利5项)。主持国家自然科学青年基金、四川省重点研发计划重大项目、四川省应用基础研究计划重点项目、四川省教育厅科研项目等10余项。
第 一 作 者 简 介
汤佳龙,硕士就读于西南科技大学。
添加官方微信 进群交流
SCI二氧化碳互助群
SCI催化材料交流群
SCI钠离子电池交流群
SCI离子交换膜经验交流群
SCI燃料电池交流群
SCI超级电容器交流群
SCI水系锌电池交流群
SCI水电解互助群
SCI气体扩散层经验交流群
备注【姓名-机构-研究方向】
投稿请联系contact@scimaterials.cn
点分享
点赞支持
点在看

