文 章 信 息
通过三元聚合控制垂直相分离使伪平面异质结有机太阳能电池效率超过19%
第一作者:何旦,周吉祥,朱余凡
通讯作者:赵富稳*
单位:中南大学
研 究 背 景
逐层处理(LBL)伪平面异质结(PPHJ)有机太阳能电池(OSCs)由于具有良好的垂直组分分布、高效的电荷传输和提取、可独立控制给受体层薄膜厚度和结晶度以及与规模化生产相兼容等优点,近年来受到了广泛的关注。LbL处理是一种利用聚合物在正交/半正交溶剂上的溶胀效应,使受体分子扩散到底层聚合物给体层的技术。因此,它可以沿着活性层的垂直方向形成伪双层(p-i-n)结构,中间部分具有部分给体/受体混合相的体异质结形态。这种结构有利于在电极处提取电荷载流子,但与传统的体异质结结构相比,不可避免地牺牲了激子解离所需的给体/受体(D/A)界面区域。另一方面,高性能有机半导体在OSCs中的激子扩散长度有限(一般为10-20 nm),远短于活性层的光吸收长度(~50 nm)。因此,D/A界面的减少将限制激子解离和PPHJ OSCs的能量转换效率(PCE)。因此,在PPHJ OSCs中控制垂直相分离以增加D/A界面,实现高效激子解离和电荷输运是至关重要的。PPHJ OSCs的垂直相分离主要取决于聚合物给体在第二层旋涂过程中的渗透程度,这与聚合物给体在第二层加工溶剂中的溶解度、与受体的混溶性、结晶度等固有性质密切相关。通过器件工艺优化,包括溶剂选择,保护溶剂,添加剂策略,热退火,纳米压印光刻等技术可以优化PPHJ型OSCs的垂直分量分布。然而,如何通过设计聚合物给体来控制PPHJ OSCs中的垂直相分离目前还很少有报道。
文 章 简 介
近日,来自中南大学的赵富稳教授,在国际知名期刊Advanced Materials上发表题为“Manipulating Vertical Phase Separation Enables Pseudo-Planar Heterojunction Organic Solar Cells Over 19% Efficiency via Ternary Polymerization”的文章。作者采用三元聚合策略制备了一系列聚合物给体DL1-DL4,并对其溶解度、分子聚集、分子取向和相容性进行调控,从而有效地控制了PPHJ OSCs中的垂直相分离,其中,DL1不仅提高了溶解度,抑制了分子聚集,并实现了部分edge-on取向,有利于受体分子Y6渗透到聚合物层中,增加了给体/受体界面,而且保持了高结晶度和与Y6的适当混溶性,获得了有序的分子堆积,从而实现了理想的垂直相分离,很好地兼顾了PPHJ器件中的激子解离和电荷输运。因此,基于DL1/Y6的PPHJ OSCs获得了最佳的激子解离效率,最高的载流子迁移率和最低的电荷复合,从而获得了19.10%的PCE,这是目前三元共聚物给体的最高效率值。该工作表明三元聚合是优化PPHJ OSCs垂直相分离的有效方法。
图1. 随着三元聚合物中DTP含量增加,给体性质以及聚合物/Y6受体PPHJ共混膜垂直相分离的变化规律。分子堆积示意图(a)D18,(b)DL1,(c)L2;PPHJ共混膜垂直相分离示意图(d)D18/Y6,(e) DL1/Y6, (f) L2/Y6. 图中蓝色区域为聚合物给体,红色区域为受体Y6。
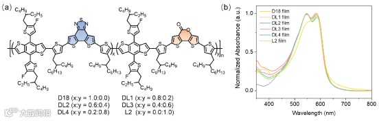
图2.(a) D18、DL1、DL2、DL3、DL4和L2的分子结构;(b) D18、DL1、DL2、DL3、DL4和L2纯膜的紫外-可见吸收光谱。
图3. (a) D18, (b) DL1, (c) DL2, (d) DL3, (e) DL4和(f) L2纯膜的2D GIWAXS图。(g)对应的沿面外(OOP)和面内(IP)方向的GIWAXS强度分布图。
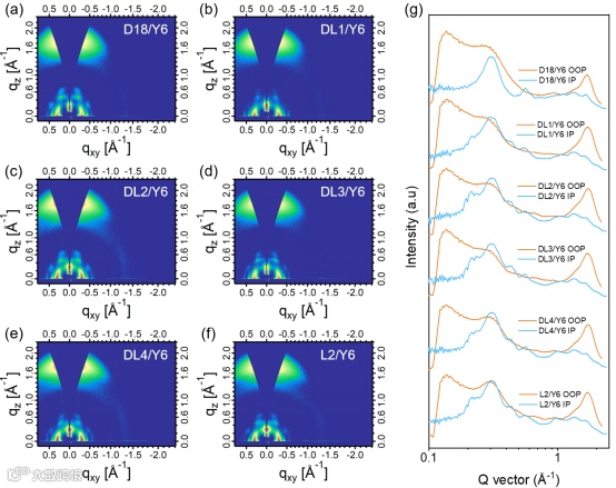
图4. (a) D18/Y6,(b) DL1/Y6, (c) DL2/Y6, (d) DL3/Y6, (e) DL4/Y6和(f) L2/Y6 PPHJ共混膜的二维GIWAXS图。(g)沿OOP和IP方向对应的GIWAXS强度分布图。
图5 (a) 聚合物/Y6 PPHJ共混膜在垂直方向不同深度处的聚合物(实线)和Y6(虚线)质量比。(b)基于聚合物/Y6 PPHJ共混膜的纯空穴器件的J- V曲线。(c)聚合物/Y6基PPHJ OSCs的J- V曲线和(d) EQE谱。(e)聚合物/Y6基PPHJ OSCs光电流密度与有效电压曲线。(f)聚合物/Y6基PPHJ器件VOC对光强的依赖性。
文 章 链 接
Manipulating Vertical Phase Separation Enables Pseudo-Planar Heterojunction Organic Solar Cells Over 19% Efficiency via Ternary Polymerization. Advanced Materials, 2023, https://onlinelibrary.wiley.com/doi/10.1002/adma.202308909
通 讯 作 者 简 介
赵富稳 教授简介:赵富稳,中南大学特聘教授,2017年6月在中国科学院化学研究所获得博士学位;随后在“博士后创新人才支持计划”以及欧盟“玛丽居里学者”奖学金的资助下,进行博士后研究。研究方向为半导体材料的开发及其在能量转换与催化方面的应用。目前发表论文30余篇,一作及通讯18篇,包括Adv. Mater. (7篇),Adv. Energy Mater. (5篇), Adv. Funct. Mater. (1篇)等高影响力文章。其中,6篇入选ESI高被引论文 (Highly Cited Paper),2篇入选2017年度中国百篇最具影响国际学术论文,他引4000余次,H因子16。主持国家自然科学基金2项,湖南省优秀青年基金1项,湖湘青年英才创新项目1项,参与国家重点基金1项。目前担任Advanced Materials, Advanced Energy Materials, Chemistry of Materials等期刊审稿人。
添加官方微信 进群交流
SCI二氧化碳互助群
SCI催化材料交流群
SCI钠离子电池交流群
SCI离子交换膜经验交流群
SCI燃料电池交流群
SCI超级电容器交流群
SCI水系锌电池交流群
SCI水电解互助群
SCI气体扩散层经验交流群
备注【姓名-机构-研究方向】
投稿请联系contact@scimaterials.cn
点分享
点赞支持
点在看


