文 章 信 息
第一作者:刘希
通讯作者:李运勇教授
通讯单位:广东工业大学
研 究 背 景
2D-Sb因为循环稳定性差和2D-Bi因为容量低限制了它们在高容量、长稳定性钾/锂离子电池(PIBs/LIBs)中的实际应用。因此,结合Sb的高容量和Bi的高稳定性,其相互协同来构造2D二元合金是一项有趣且具有挑战性的工作。本文采用简单的一步共取代法制备了一系列具有不同原子比的新型2D-SbBi合金。在这些合金中,2D-Sb0.6Bi0.4负极极具有高容量和长稳定的储钾/锂性能。
特别是,2D-Sb0.6Bi0.4负极在0.2 A g-1电流下循环500次后仍然保持381.1 mAh g−1的高稳定容量(约87.8%的容量保持率),并且在1.0 A g−1大电流下经历1000次循环后,每周期仅衰减0.037%的优异表现。此外,通过动力学分析、原位/非原位表征技术和DFT理论计算揭示了优异的储钾/锂机制。与纯的2D-Bi和2D-Sb相比,主要源于2D二元合金内部的结构稳定性和协同作用,显著缓解了电极体积膨胀,提高了K+吸附能,降低了K+扩散能垒。这项研究验证了一种新的可扩展设计策略,用于构造2D二元(甚至三元)合金,为其在可充电电池中的基本机制提供了有价值的见解。
文 章 简 介
近日,广东工业大学李运勇教授课题组等人通过一步取代法精准调控出新型超稳定的二维SbBi合金结构,实现长寿命的储钾和储锂性能;详细地通过动力学分析、原位/非原位表征技术和DFT理论计算揭示了优异的储钾/锂机制。因2D二元合金内部的结构稳定性和协同作用,显著缓解了电极体积膨胀,提高了K+吸附能和降低了K+扩散能垒,从而实现优异的储钾/锂性能。这项研究验证了一种新的可扩展设计策略,用于构造2D二元(甚至三元)合金,为其在可充电电池中的基本机制提供了有价值的见解。该文章发表在国际顶级期刊Adv. Mater.上。硕士研究生刘希为该论文的第一作者,该工作也得到了武汉大学王建波教授组和华南理工大学刘军教授组的大力支持。
本 文 要 点
要点一:2D-Sb0.6Bi0.4合金的合成、微观结构及PIBs结构稳定性和协同机制的研究
本文采用简单的一步共取代法,制备了厚度约为15.0 nm的新型2D SbBi合金纳米片。通过XRD、Raman、SEM、TEM、XPS和BET测试揭示了一系列具有不同比例的2D SbBi合金材料的形貌、结构和物相演变,并证明了该方法可以成功合成二元2D-SbBi合金。
图1. 2D-Sb0.6Bi0.4合金的合成,表征和钾储存机制。a)合成方案,b)2D-SbBi合金的可扩展合成产物的数字照片。c)2D-Sb0.6Bi0.4合金的出色K+吸附和扩散能垒。d)在钾化/脱钾化过程中2D-Sb0.6Bi0.4的结构演变。2D-Sb0.6Bi0.4的e,f)SEM图像,g-i)TEM图像,j)HAADF-STEM图像,j1)Sb和j2)Bi元素分布,k)TEM和k1,k2)高分辨率TEM图像和l) SAED图谱。
图2 2D-Sb、2D-Bi和2D-SbxBiy的合成机理和物相表征图. a)2D-Sb、2D-Bi 和2D-SbxBiy的XRD图谱;b) 2D-SbxBiy的XRD图;c) 2D-Sb、2D-Bi 和2D-SbxBiy的拉曼光谱。f) 2D-Sb、2D-Bi 和2D-SbxBiy的N2吸附-脱吸附等温线和BET表面积比较。
要点二:2D-Sb0.6Bi0.4负极的储钾性能
2D-Sb0.6Bi0.4负极结构稳定,在不与碳材料复合的情况下,具有较好的储钾性能。具体来说,2D-Sb0.6Bi0.4负极在0.2 A g−1电流下循环500次后保持381.1 mAh g−1的高稳定比容量(约87.8%的容量保留率),在1.0 A g−1电流下循环1000次 (60%的容量保留率和每循环平均衰减率仅为0.037%) 的超长循环稳定性。同时在0.2 A g−1电流下2D-Sb0.6Bi0.4//PTCDA全电池也表现出良好的稳定性。
图3. 2D-Sb0.6Bi0.4负极的电化学性能及全电池的储钾性能。a)在扫速为0.1 mV S-1时的CV。b)比容量电压曲线(GCD),c)循环性能和在0.2 A g-1时的循环性能和库仑效率。d)2D-Sb,2D-Bi和2D-SbxBiy的倍率性能,e)2D-Sb0.6Bi0.4负极在不同电流密度下的GCD曲线。2D-Sb0.6Bi0.4在f)1.0 A g-1和g)2.0 A g-1电流下的长循环稳定性。2D-Sb0.6Bi0.4//PTCDA全电池h)工作机理的示意图,i)在0.1 mV s-1处的CV曲线, j)在0.1 A g-1电流下的循环稳定性。
要点三:2D-Sb0.6Bi0.4负极的储钾机理及动力学分析
通过原位XRD测试揭示了2D-Sb0.6Bi0.4负极的储钾机制如下:
钾化过程:
脱钾化:
此外,通过电化学阻抗谱(EIS)、恒流间歇滴定技术(GITT)和CV,比较了2D-Sb、2D-Bi和2D-SbxBiy负极在PIBs中不同扫描速率下的动力学行为。结果显示,纯Sb中的K+扩散速率明显快于纯Bi。进一步分析表明,在Sb、Sb0.8Bi0.2和Sb0.6Bi0.4的K+扩散速率明显快于在Sb0.4Bi0.6、Sb0.2Bi0.8和Bi中的扩散速率。
图4 2D-Sb、2D-Bi和2D-SbxBiy的储钾机理及动力学分析,2D-Sb、2D-Bi和2D-SbxBiy负极在PIBs中的钾储存机理及动力学分析。a) 2D-Sb0.6Bi0.4负极在0.1 A g-1电流下第二次循环过程的XRD等高线图和钾化/脱钾化过程示意图。b) GITT曲线,c)离子扩散计算值,d) Nyquist图(频率范围:100 kHz-0.01 Hz), e)电荷转移电阻(Rct), f) Zre与ω-1/2的关系图,g) Sb、Bi和Sb0.6Bi0.4负极钾离子归一化扩散系数。h)不同扫描速率下的CV曲线,i)峰值电流与扫描速率的关系,2D-Sb0.6Bi0.4电极j) 在1.0 mV s-1时的电容贡献,k)在不同扫描速率下的电容贡献。
要点四:2D-Sb0.6Bi0.4负极储钾DFT计算分析:
此外,通过DFT理论计算进一步证实了2D-Sb0.6Bi0.4负极优异的钾储存机理,主要归因于原子结构相似的Sb和Bi的引入促进了二元合金纳米片的形成,使合金材料具有结构稳定性和均匀性; 2D-Sb0.6Bi0.4比单个Bi或Sb纳米片具有更高的K+吸附能和更低的扩散能垒,这归因于Sb: Bi原子比的精确调节; 2D合金纳米薄片的大表面积、薄纳米片结构和坚固的结构稳定性可以提供更多的吸附位点,缩短K+的扩散距离,减轻循环时的体积膨胀。因此,该研究为设计二维二元甚至三元合金金属材料提供了一种新的潜在可扩展策略,并为合金阳极的电化学储能应用提供了详细的见解。
图5 2D-Sb、2D-Bi和2D-SbxBiy负极在PIB中的DFT计算。a)Sb、Bi和SbxBiy的K+在表面和内层的吸附能比较,以及相应的吸附模型和电荷密度差。b)比较计算得出的K+在Sb、Bi和SbxBiy表面(表面扩散)和内层(嵌入扩散)的扩散能垒,以及原子结构模型中相应的扩散路径。c)比较钾离子在 Sb、Bi和SbxBiy中的表面原子扩散能垒和d)嵌入原子扩散能垒。
要点五:2D-Sb0.6Bi0.4负极的储锂性能和机理研究
2D-Sb0.6Bi0.4负极结构稳定,在不与碳材料复合的情况下,同样具有较好的储锂性能。具体来说,在0.1 A g-1电流下经历200次循环后,比容量高达502.6 mAh g−1(约81.5%的容量保持率),在0.5 A g-1电流下循环400次后具有66%的容量保持率,以及在5.0 A g-1大电流下高达425.5 mAh g−1的突出倍率性能。
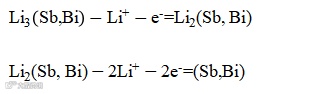
通过非原位XRD测试揭示了2D-Sb0.6Bi0.4负极的储锂机制如下:
锂化:
脱锂化:
此外,以2D-Sb0.6Bi0.4为例,通过原位TEM测试表征了其在锂化/脱锂化过程中的2D结构的实时演变图,揭示了2D-Sb0.6Bi0.4负极具有优异的结构稳定性和高的储锂可逆性。
图6 2D-Sb0.6Bi0.4的储锂性能和机理分析。a) 2D-Sb0.6Bi0.4在0.1 mV s-1(0.01-2.0 V范围)的CV曲线;b) GCD曲线;c) 0.2 A g-1电流下的循环性能和库仑效率;d) 不同电流密度下的速率性能;e) 0.5 A g-1 电流下的长循环稳定性。d)不同电流密度下的倍率性能,以及e) 0.5 A g-1 时的长期循环稳定性。f) 2D-Sb0.6Bi0.4负极在第5个循环时不同电压下的GCD曲线和相应的XRD图。
图7 原位TEM探究2D-Sb0.6Bi0.4的储锂机理2D-Sb0.6Bi0.4的a) 原位TEM测试装置模型。b-h) 延时 TEM图像,以及 i)第一次嵌钾/脱钾过程的体积膨胀率。j1) 2D-Sb0.6Bi0.4的初始状态、k1¬l1) SAED 图、m-s) 延时 TEM 图像和 t) 第二次嵌钾/脱钾过程的体积膨胀率。u) 2D-Sb0.6Bi0.4负极储锂机制结构示意图。
要点六:总结与展望
本文采用简单的一步共取代法,在2D尺度上合成了一系列不同原子比的新型2D二元金属合金,并对合金材料的结构演变和稳定性进行了研究。其中,2D-Sb0.6Bi0.4负极具有较好的钾锂存储性能。在0.2 A g−1下循环500次后,保持高达381.1 mAh g−1的(约87.8%的容量保留率)储钾性能。值得注意的是,在200次循环后几乎没有容量下降。在1 A g−1下循环1000次后,2D-Sb0.6Bi0.4负极也表现出60%的高保留率(平均衰减率仅为0.037%)。
当2D-Sb0.6Bi0.4负极应用于锂离子电池时,在0.1 A g−1下循环200次后,其比容量仍然高达502.6 mAh g−1(容量保留率为81.5%),在5.0 A g−1的高电流密度下,其倍率性能高达425.5 mAh g−1。这种超稳定的锂和钾通过动力学分析、原位TEM、XRD、非原位SEM和DFT理论计算,揭示了2D-Sb0.6Bi0.4负极的储存机理和来源。优异的负极性能主要归功于二维二元合金较强的二维结构稳定性、高度可逆的合金化/脱合金过程、优越的K+ /Li+储存动力学以及比单个二维Bi或Sb更低的K+/Li+吸附和扩散能垒。因此,本工作为二维二元甚至三元合金材料的制备提供了一种新的可扩展策略。并对合金阳极在电化学储能中的应用机理进行了深入的探讨。
文 章 链 接
Novel ultra-stable two-dimensional SbBi alloy structure with precise regulation ratio enables long-stable potassium/lithium ion storage. Adv. Mater. 2023, 2308447.
https://doi.org/10.1002/adma.202308447
通 讯 作 者 简 介
李运勇 教授 广东工业大学材料与能源学院 教授/博士生导师, 广东省电化学储能电池和太阳能转换与储存材料工程技术研究中心主任, 曾获广东省杰出青年科学基金和青年珠江学者。课题组主要围绕新型石墨烯和MXene等二维复合能源材料的微纳结构设计、电子结构调控、合成机制研究及其在高效的超级电容器、锂/钠离子电池、锂硫电池等电化学储能和电催化领域开展基础和应用研究,在eScience, J. Energy Chem., Adv. Mater., Energy Environ. Sci., Nano Lett., ACS Nano, Adv. Funct. Mater. Adv Sci., Nano Energy, Appl. Catalysis B-Environ.等国际权威期刊发表学术文章80余篇,其中IF>10的近50篇,1篇被《Nature》作专题报道, 单篇最高引用超700余次,申请和授权发明专利30余项。主持和合作主持过10余项国家及省部级等课题,担任科技部、国家和多个省的科技评审专家、广东省材料研究学会青年委员会副秘书长、《SusMat》、《Rare Metals》、《Battery Energy》、《Eco Energy》的青年编委、《Nanomaterials》期刊(IF=5.719)的专刊客座编辑等学术兼职。课题组欢迎有材料、化学、高分子等专业背景的硕士或博士生加入课题组学习,也招聘博士后和青年教师加入课题组,共同奋斗。
第 一 作 者 简 介
刘希,广东工业大学2020级硕士研究生,导师:李运勇教授。主要研究方向为碱金属电池负极材料研究。以第一/共同第一作者在Adv. Mater. Adv. Funct. Mater. Small, Nano Energy, eScience期刊上发表SCI论文5篇
添加官方微信 进群交流
SCI二氧化碳互助群
SCI催化材料交流群
SCI钠离子电池交流群
SCI离子交换膜经验交流群
SCI燃料电池交流群
SCI超级电容器交流群
SCI水系锌电池交流群
SCI水电解互助群
SCI气体扩散层经验交流群
备注【姓名-机构-研究方向】
投稿请联系contact@scimaterials.cn
点分享
点赞支持
点在看

