文 章 信 息
第一作者:潘浩然,张晨(共一)
通讯作者:陈星星,窦金孝,李怀光
研 究 背 景
在众多新型储能装置中,可充电锌空气电池(ZABs)因其高能量密度、安全性、稳定性和低成本而越来越受到关注。实现高性能ZABs的实现需要具有优异活性和耐用性的双功能氧反应电催化剂。静电纺丝技术作为一种简单的策略被广泛应用于制备具有优异的柔韧性和机械强度的无粘合剂膜电极。随着先进的自支撑电极材料的发展,在不损害其整体结构的基础上揭示膜电极材料的局部反应性能对原位电化学表征技术的要求越来越高。作为一种重要的原位电化学分析工具,扫描电化学显微镜(SECM)可以亚微米或纳米级的分辨率无损伤地评估膜电极的局部电化学性能。
文 章 简 介
近日,辽宁科技大学陈星星教授,窦金孝副教授与香港中文大学(深圳)李怀光助理教授合作,在国际知名期刊Chemical Engineering Journal上发表题为“Self-standing electrospun Co/Zn@N-doped carbon nanofiber electrode for highly stable liquid and solid-state rechargeable zinc-air batteries and performance evaluated by scanning electrochemical microscopy at various temperatures”的文章。一种自支撑的N掺杂Co/Zn碳纳米纤维膜(Co/Zn@NCF)具有卓越的电催化氧反应活性和耐久性。基于Co/Zn@NCF催化剂构筑的液态ZABs表现出超过666小时的优异充放电循环寿命,充电/放电电压差为0.64 V,电压效率为66%。用Co/Zn@NCF构筑的柔性固态ZAB能够在不同的弯曲角度下稳定地充电和放电。该工作同时利用温控扫描电化学显微镜(SECM)探究了Co/Zn@NCF膜电极在不同工作温度(15, 25,40oC)条件下的微区局部电催化氧反应活性和选择性。
本 文 要 点
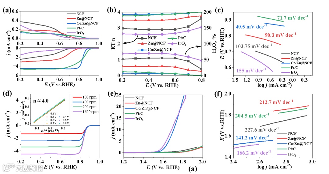
要点一:利用静电纺丝技术制备了具有柔性多孔结构的自支撑催化电极 (Co/Zn@NCF) 。ZIF-8的加入不仅使纺丝溶液的粘度可调优化了静电纺丝工艺,而且为膜状电极提供了更大的比表面积和更好的传质条件。Co-N-C,Co/Zn-N-C以及Co/Co3O4的形成同时作为活性中心提高氧反应电催化性能。独特的三维多孔结构和多种活性中心使得Co/Zn@NCF具有类似于商业Pt/C和ORR活性以及IrO2的OER活性。
图1. 柔性Co/Zn@NCF纳米纤维薄膜催化剂的合成方法及结构表征。
图2 在O2饱和的0.1 M KOH 电解液中下获得的(a-d) ORR和(e-f) OER性能。
要点二:温控SECM探究薄膜催化剂的微区电催化活性与选择性
利用温控SECM在亚微米尺度上直接对Co/Zn@NCF薄膜进行了不同温度下ORR的局部反应活性和选择性以及OER活性。SECM图像在不同位置的色差描述了样品微区的电化学性质变化,这是SECM相对于经典伏安法的一个突出优点。结果表明适当的提高温度可以提高催化剂的活性与选择性,为催化剂在实际环境下的应用提供理论依据。
图3. 温控SECM结构示意图及归一化的SECM图像。(a-b)不通电压下催化剂的原位ORR活性与选择性。(c-d)不同温度下催化剂薄膜催化剂的局部ORR活性与选择性。
图4. (a)不同电压和(b)温度下催化剂的局部OER活性.
要点三:实际应用-固/液态锌空气电池
使用Co/Zn@NCF制备的液态ZAB具有良好的稳定性,循环666 h后,充放电电压差为0.64V,电压效率为66%。组装的柔性ZAB即使被弯曲到90°也保持稳定的充电/放电性能。
图5. 可充电液态和固态ZAB的电化学性能。
要点四:前瞻
研究结果揭示了利用Co/Zn@NCF作为独立电极应用于锌空气电池和柔性电子器件的光明前景。同时,本研究也为电极,特别是自支撑膜状电极在不同操作温度下的原位分析提供了一种可操作的技术。
文 章 链 接
Self-standing electrospun Co/Zn@N-doped carbon nanofiber electrode for highly stable liquid and solid-state rechargeable zinc-air batteries and performance evaluated by scanning electrochemical microscopy at various temperatures
https://www.sciencedirect.com/science/article/abs/pii/S1385894723057534
通 讯 作 者 简 介
陈星星,辽宁科技大学教授、博士生导师、自然科学博士,辽宁省百千万人才工程-百人层次,鞍山市杰出科技工作者、鞍山市领军人才。本科和硕士分别毕业于湖南大学和丹麦技术大学,曾在德国柏林国家联邦环保总局水分析实验室工作, 2008年7月获德国波鸿鲁尔大学自然科学博士学位, 并继续留在德国波鸿鲁尔大学从事研究工作。2014年底回到家乡鞍山的辽宁科技大学任教。在德留学和工作期间,曾任留德华人化学化工学会副主席,北威州分会主席,现为留德华人化学化工学会荣誉理事。
主持在研或结题国家自然科学基金、辽宁省教育厅、辽宁省人社厅等项目;发表SCI科研论文70余篇,获批7项国家发明专利;荣获4次辽宁省自然科学学术成果奖(一等奖2次);指导学生参加各类国家A类和省级赛事并荣获辽宁省“优秀指导教师”称号2次,指导的研究生获国家奖学金4人次,辽宁省优秀硕士论文1人次,辽宁省优秀毕业生1人次。研究兴趣为新功能材料和高附加值煤基炭材料的设计和在电化学能源转换存储系统(金属空气电池、超级电容器,全水解系统等)中的应用,以及扫描电化学显微镜的基础和应用研究。
窦金孝,辽宁科技大学副教授、硕士生导师、工学博士,辽宁省“百千万人才工程”万人层次。主要从事煤和生物质清洁利用、煤转化过程中污染物控制、新型催化材料及工艺研究、固废资源化利用等。
5主持国家、省部级项目5项,企业科技攻关项目3项,教育部产学合作协同育人项目1项。获省级自然科学奖三等奖1项,省级自然科学成果二等奖1项。以第一作者或通讯作者在国内外期刊发表论文50余篇;申请和授权发明专利9项。辽宁省化工学会煤化工专业委员会委员、石油化工高等学校学报青年编委、低碳化学与化工青年编委。
李怀光,香港中文大学(深圳)理工学院助理教授,博士毕业于德国波鸿鲁尔大学,曾先后在波鸿鲁尔大学(RESOLV Fellow),剑桥大学开展博士后研究工作。
相关成果以第一作者/通讯作者身份发表在Chem, Nat. Commun., J. Am. Chem. Soc. Chem. Eng. J.等期刊。2023年作为高校团队负责人获得获深圳市海外高层次团队项目支持。主要致力于燃料电池,酶促反应和二氧化碳吸附等交叉领域研究。目前担任《Tungsten》海外青年编委。
第 一 作 者 简 介
潘浩然,博士研究生,导师为陈星星教授。主要研究方向为氧反应电催化材料制备、应用,以及高分辨率扫描电化学显微镜的学习和研究工作。
张晨,硕士研究生,导师为陈星星教授。主要研究方向为应用于固、液态锌空气电池的自支撑催化剂制备及性能研究。
添加官方微信 进群交流
SCI二氧化碳互助群
SCI催化材料交流群
SCI钠离子电池交流群
SCI离子交换膜经验交流群
SCI燃料电池交流群
SCI超级电容器交流群
SCI水系锌电池交流群
SCI水电解互助群
SCI气体扩散层经验交流群
备注【姓名-机构-研究方向】
投稿请联系contact@scimaterials.cn
点分享
点赞支持
点在看


