文 章 信 息
第一作者:拱义淇
通讯作者:刘玉龙*,孙学良*,谢海明*
文 章 简 介
近日,东北师范大学谢海明教授/刘玉龙副教授课题组与加拿大西安大略大学的孙学良教授合作,在国际知名期刊Nano Energy (影响因子:17.6) 上发表题为“ltra-Thin and High-Voltage-Stable Bi-phasic Solid Polymer Electrolytes for High-Energy-Density Li Metal Batteries”的研究工作。
该工作设计了一种通过原位聚合制备一种新型聚合物快速离子导体。采用氧硅烷单体聚乙二醇甲醚丙烯酸酯(PEGMEA)与锂离子结合,采用聚合诱导相分离(PIPS)机理将聚合物晶体电解质和弹性体聚合物电解质混合。通过控制导电畴的大小,形成三维互联的导电通道,发展了界面上的相分离现象和锂离子导电现象。该电解质在室温下的离子电导率为1.9 mS cm-1,高氧化电位为4.9 V(vs Li/Li+),锂离子转移数(tLi+)为0.56。当与LiNi0.8Co0.1Mn0.1O2(NCM 811)阴极耦合时,固态锂金属电池(SSLMBs)表现出长期循环稳定性(250次循环后容量保留>92%)、优异的速率性能(在2 C时126 mAh.g-1和高压稳定性(在4.5 V时208 mA hg-1)。
图1. 新型电解质的作用机理以及界面高稳定性的原因
本 文 要 点
要点一: 新型CA-PEGMEA-SN电解质的电性能
通过简单的共融合成了新型电解质,并将其融入PE基隔膜中,进行加热聚合。通过一系列的测试手段表征了CA-PEGMEA-SN 和CA-PEGMEA电解质的特性,其中CA-PEGMEA-SN电解质的室温电导率0.19 mS cm-1,氧化电位为4.9 V。锂离子转移数(tLi+)为0.56。
图2. CA-PEGMEA-SN 和CA-PEGMEA电解质的电性能
要点二: 锂对称电池长循环稳定性
其次,本文结果证明了0.1 Ah cm-1的条件下,锂对称电池仍然能保持1600 h的长循定性,表明CA-PEGMEA-SN基电解质对锂金属的稳定性好。
图3. CA-PEGMEA-SN 和CA-PEGMEA电解质的对称电池测试性能
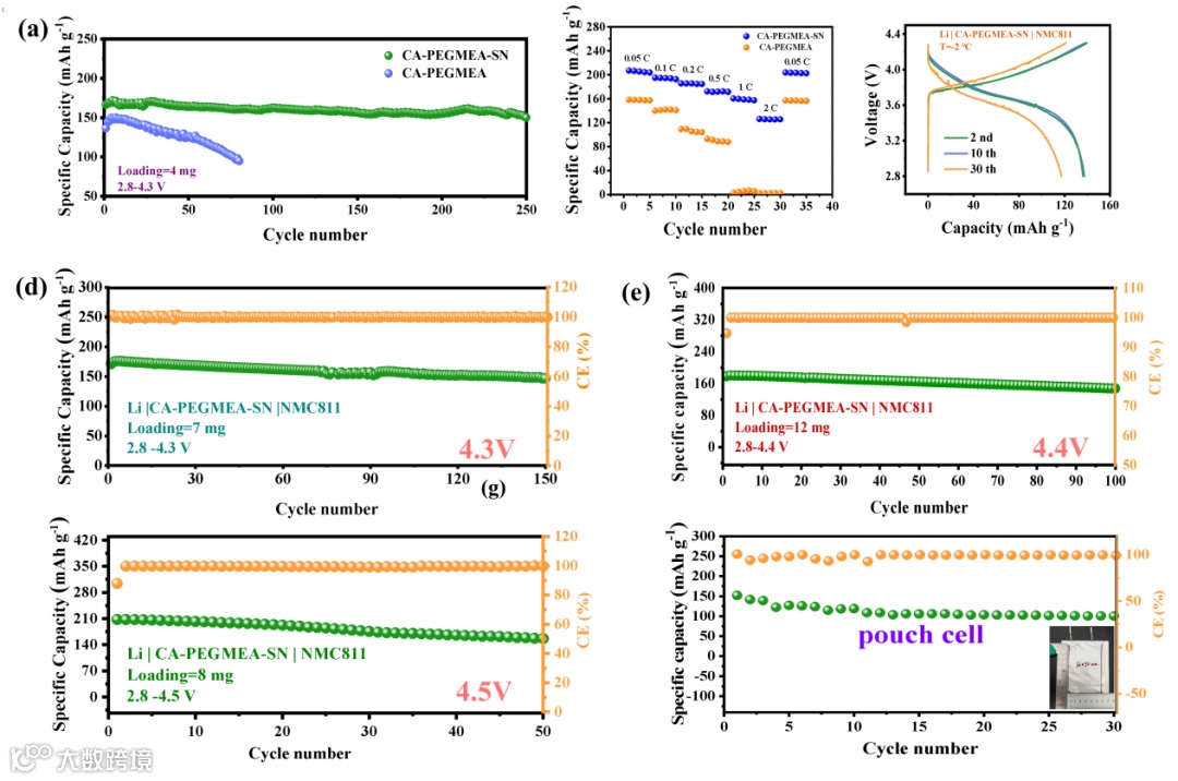
要点三:Li-NMC811全电池电化学性能
使用这种电解质组装 Li || NMC 811电池即使正极使用高面载量也表现出优异的循环稳定性。固态锂金属电池(SSLMBs)表现出长期循环稳定性(250次循环后容量保留>92%)、优异的速率性能(在2C时126mAh.g-1和高压稳定性(在4.5V时208 mA hg-1)。
图4. CA-PEGMEA-SN 和CA-PEGMEA电解质的全电池测试性能
要点四:Li/CA-PEGMEA-SN 和 CA-PEGMEA-SN/NMC 811 的界面组分分析
界面组分分析表明,优异的电化学性能来源于高稳定性的CEI膜和SEI膜的形成。在金属锂上形成富含无机(氟化锂、氮化锂)的SEI,可以与锂金属电解质有效分离进行进一步反应。在NCM 811阴极上获得了高含量的C- =N-C薄膜,并且在阴极上也存在较高含量的氟化锂(这限制了聚合物电解质的氧化)。
图5. Li/CA-PEGMEA-SN 和CA-PEGMEA/NMC 811 的界面组分分析
文 章 结 论
本文成功开发出双相固体电解质,表现出显着的室温离子电导率 (1.9 mS cm-1)和独特的形状记忆特性。这种增强的电导率归因于纳米级相分离和界面锂离子传导。CA-PEGMEA-SN具有强大的粘合性能,可形成紧密结合的锂阳极/电解质界面,锂沉积在 0.1 mA cm-2 下,1600 小时内持续稳定。当与 NMC 811阴极结合使用时,这种 11 μm 双相电解质在 4.5 V 截止电压下实现了 208 mA h g-1的显著放电容量。此外NMC 811 // 锂电池在很宽的温度范围内表现出卓越的稳定性,阴极表面形成薄而致密的CEI膜。
文 章 链 接
PEO based Polymer in Plastic Crystal Electrolytes for Room Temperature High-Voltage Lithium Metal Batteries
https://doi.org/10.1016/j.nanoen.2021.106205
第 一 作 者 简 介
拱义淇,硕士研究生
目前就读于东北师范大学化学学院。隶属于东北师范大学动力电池国家地方联合工程实验室,主要从事耐高压固态金属锂离子电池的研究。
通 讯 作 者 简 介
刘玉龙,副教授,硕士生导师
目前就职于东北师范大学化学学院。隶属于东北师范大学动力电池国家地方联合工程实验室,主要从事锂离子电池和固态锂电池的研究。2013年获得中南大学硕士学位后进入加拿大西安大略大学孙学良院士课题组从事锂电池相关研究。2018年博士毕业后,留组继续从事博士后研究工作。研究合作单位包括加拿大庄信万丰公司(前著名的Phostech公司,具有LiFePO4化学结构和碳包覆的全球专利所有权)和中国国联动力电池研究中心(隶属于北京有色金属研究总院,动力电池国家队), 以及加拿大唯一固态电池研发初创公司(GLABAT Solid-state Battery Inc.,由孙学良院士领衔的科学技术团队)。目前已经在Nature communication,Adv. Mater.,Nano Energy,AEM, ESM, ACS energy letters等高水平期刊发表专业论文多篇。
孙学良 教授
加拿大皇家科学院院士,加拿大工程院院士,加拿大纳米能源材料首席科学家(Tier I),加拿大西安大略大学终身教授。孙教授于1999年在英国曼彻斯特大学获得博士学位,1999-2001于加拿大哥伦比亚大学从事博士后研究,2001-2004在魁北克科学与工程研究院从事助理研究员工作;现任国际能源科学院的副主席,Electrochemical Energy Review(EER)的主编和Frontier of Energy Storage的副主编。孙院士的主要研究方向是纳米能源结构材料在能源储存和转化,重点从事燃料电池和全固态锂电池,锂离子电池的研究和应用。已发表超过540篇SCI科学论文,其中包括Nat. Energy, Nat. Comm., Adv. Mater., J. Am. Chem. Soc., Angew. Chem., Accounts Chem. Res., Energy Environ. Sci., 等高水平杂志。
谢海明,现任东北师范大学化学学院功能材料化学研究所教授动力电池国家地方联合工程实验室主任。
十三五国家重点研发计划新能源车专家组专家;物理化学学科带头人PI;化学学院教授委员会委员;吉林省长白山学者,教育部新世纪优秀人才,吉林省首批学科领军教授,首批东师仿吾青年学者,首批东师学者,全国优秀博士毕业学位论文提名奖,获得2014年吉林省战略性新兴产业先进集体,2011年长春市五一劳动奖状,2011年吉林省最佳经济技术创新能手称号。多年来潜心研究锂离子电池、锂硫电池、锂空电池以及各类电池新型材料,包括磷酸亚铁锂材料、磷酸钒锂、钛酸锂、耐高温隔膜、不燃电解液、磷酸铁锂动力电池、超低温锂离子动力电池等;近年来同加拿大魁北克水电研究院、法国巴黎第六大学等科学家合作开发高安全高能量密度的全固态锂电池,在锂离子动力电池及其材料领域具有较深的研究;多年来一直以产学研方式同企业紧密合作,先后建立了“辽源市鸿图锂电隔膜科技股份有限公司”、“吉林中聚新能源股份有限公司”、“营口航盛科技实业有限公司”、 “长春劲能科技集团股份有限公司”,带动了我国新能源车的快速发展。近年来在Adv. Mater.,Adv. Energy Mater., Mater. Sci. Eng. R, Nano Energy,Energy Storage Mater., J. Mater. Chem. A, ACS Appl. Mater. Interfaces, J. Power Sources等期刊发表论文五十余篇、申请专利二十余项,申请科研项目经费三千余万元。
添加官方微信 进群交流
SCI二氧化碳互助群
SCI催化材料交流群
SCI钠离子电池交流群
SCI离子交换膜经验交流群
SCI燃料电池交流群
SCI超级电容器交流群
SCI水系锌电池交流群
SCI水电解互助群
SCI气体扩散层经验交流群
备注【姓名-机构-研究方向】
投稿请联系contact@scimaterials.cn
点分享
点赞支持
点在看


