文 章 信 息
锂硫电池中硫宿主或中间层对中空骨架的依赖性
第一作者:陈绮蓝
通讯作者:李俊豪*,闵永刚*,刘全兵*
单位:广东工业大学
研 究 背 景
锂硫电池因其极高的理论比容量和能量密度而被公认为最有前景的下一代高比能二次电池,然而,其商业应用受到一系列问题的极大限制,包括无序的迁移行为、缓慢的氧化还原动力学以及多硫化锂严重的穿梭效应。前期的大部分研究表明,物理限制穿梭效应的有效方法之一是合理设计空心骨架作为硫宿主。然而,中空结构对中间层的影响尚未被明确报道。本研究分别设计了具有空心和实心骨架的Mo2C/C催化剂,以探究中间层和硫宿主对空心骨架的依赖性。该工作重新审视了不同电池组件中催化剂框架的设计要求和原理。
文 章 简 介
近日,来自广东工业大学的闵永刚教授和刘全兵教授团队在国际知名期刊Small上发表题为“Dependence of Interlayer or Sulfur Host on Hollow Framework of Lithium–Sulfur battery”的观点文章。该文章设计了具有空心(H-Mo2C/C)和实心(S-Mo2C/C)骨架的催化剂,以探究中间层和硫宿主对空心骨架的依赖性。结果表明,与空心骨架作为硫宿主时的物理限域作用相反,中间层的空心结构抑制了锂离子的扩散,导致在高电流密度下电化学性能较差。基于各种框架的优势,组装了H-Mo2C/C@S | S-Mo2C/C@PP | Li电池,并显示出优异的电化学性能。
图 锂硫电池中硫宿主或中间层对中空骨架的依赖性
本 文 要 点
要点一:空心/实心催化剂的设计
图1 (a) H-Mo2C/C的制备阶段示意图。微观结构表征:(b) H-Mo2C/C和(f) S-Mo2C/C的SEM图像;(c) H-Mo2C/C和(g) S-Mo2C/C透射电镜图像;(d) H-Mo2C/C和(h) S-Mo2C/C HRTEM图像;(e) H-Mo2C/C和(i) S-Mo2C/C能谱图。
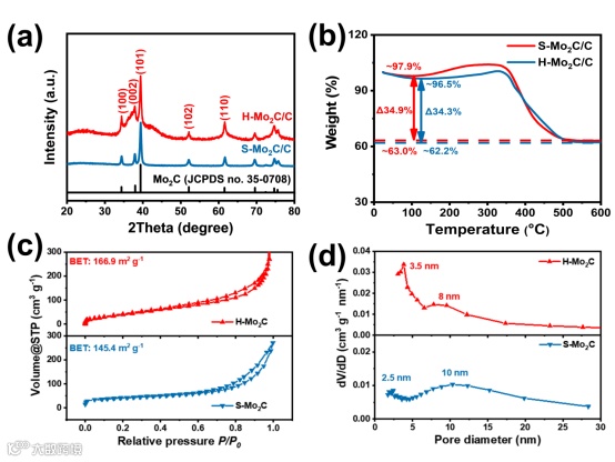
图2两种催化剂的(a) XRD谱图;(b) 热重分析;(c) N2吸附等温线及计算的比表面积;(d) 孔径分布。
除了内部结构不同外,两种催化剂的物理特性几乎相同,这有助于探究空心骨架对硫宿主和中间层的依赖性。
要点二:催化剂电催化性能
图3 催化剂的电化学动力学。(a-b) Li2S6 | Li2S6对称电池CV曲线以及相应的(c) Nyquist图;(d-e) 催化剂作用下Li | Li2S8电池以及相应的(f) Li2S成核模型。
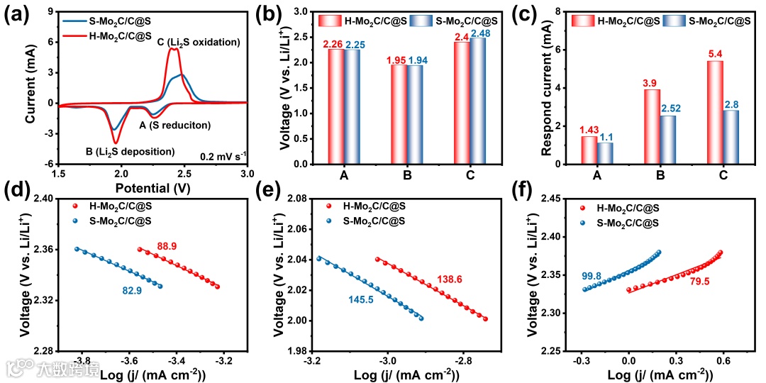
图4 催化剂作为硫宿主时的:(a) Li | S电池的CV曲线;(b-c) 峰值电压和峰值电压响应电流的对比。(d-f) 三个过程的Tafel图。
图5 催化剂应用于中间层时的:(a) CV曲线;(b-c) 在不同扫描速率下的CV曲线;(d) S8还原为Li2Sx (A峰),(e) Li2Sx还原为Li2S (B峰),(f) Li2S 氧化为Li2Sx(C峰)的CV峰值电流图。
S-Mo2C/C和H-Mo2C/C表现出相似的电催化性能,包括多硫化物转化动力学、Li2S 沉积能力、成核和生长速率、途径,以及相似的电子转移速度。这有利于更可靠地研究中间层和硫宿主对空心骨架的依赖关系。作为硫宿主时,H-Mo2C/C@S具有较强的Li2S 沉积和分解动力学;而作为中间层时,空心层间框架对锂的扩散有不利影响。
要点三:催化剂应用在不同组件处的电化学性能
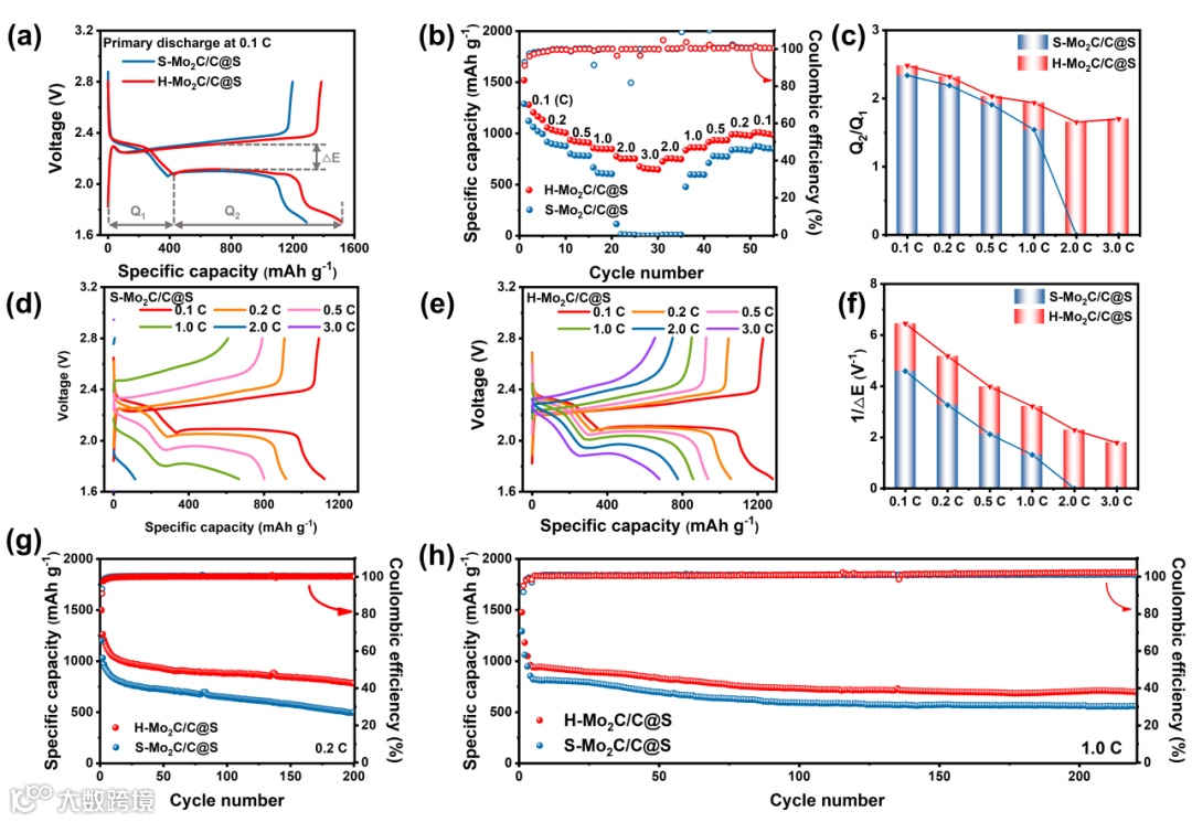
图6 催化剂作为硫宿主时的电化学性能。(a) 0.1 C时的恒流充放电曲线;(b) 倍率性能;(c) Q2/Q1;(d-e) 不同电流密度下的恒流充放电曲线;(f) 极化电压;(g) 0.2 C时的长循环性能;(h) 1.0 C时的循环性能。
图7 催化剂应用于中间层时的电化学性能。(a) 0.1 C时的恒流充放电曲线;(b) 极化电压;(c) Q2/Q1;(d)不同倍率下循环性能;(e) 1.0 C下的循环性能。
上述结果显示,中空结构的催化剂是硫宿主的最优解之一,但应用在中间层时,空心框架对锂扩散的消极影响会导致电池的电化学性能较差。
要点四:总结
图8 作为中间层的各种催化框架示意图:(a) 固体结构和(b) 空心结构。(c) 多硫化物与不同吸附剂之间的结合能;(d) Li2S4在不同吸附剂上吸附的电荷密度差。
图9 (a) 原位拉曼光谱表征电池示意图。不同中间层放电过程的原位拉曼光谱:(b) PP和(c) S-Mo2C/C@PP。(d) H-Mo2C/C@S | S-Mo2C/C@PP | Li电池,硫载量为3 mg cm−2在0.2 C下的恒流充放电曲线及(e) 循环性能。
DFT计算结果以及原位拉曼测试结果显示,Mo2C/C催化剂兼具Mo2C和氮掺杂碳的优点,使其与多硫化物的成键方式更多样化,提高了对多硫化物的整体导电性和吸附性,有效缓解“穿梭效应”。因空心骨架的层间依赖性不同于硫主体,作为中间层,具有中空结构的催化剂阻碍了离子的扩散,基于上述优势,以H-Mo2C/C@S为正极,S-Mo2C/C@PP为中间层,锂金属为负极组装电池,在高硫负荷、低液/硫比的条件下展现出较好的电化学性能。
文 章 链 接
Dependence of Interlayer or Sulfur Host on Hollow Framework of Lithium–Sulfur Battery
https://onlinelibrary.wiley.com/doi/10.1002/smll.202401153
通 讯 作 者 简 介
李俊豪,博士,毕业于广东工业大学,目前在华南理工大学梁振兴课题组从事博士后工作。研究方向为锂离子/锂硫电池,迄今第一/通讯作者在Adv. Energy Mater., J. Energy Chem., Renewables, Small, Green chemistry等期刊发表论文10多篇。
闵永刚,特聘教授,博士生导师,聚酰亚胺及高分子先进材料领域国际知名科学家。博士毕业于美国宾夕法尼亚大学功能高分子专业,师从诺贝尔化学奖获得者Alan G. MacDiarmid教授。曾先后在美国IBM公司、杜邦公司、英国ICI公司等国际知名企业任高级研发经理,技术总监等职务,担任美国俄亥俄州立大学高级研究员和纳米研究中心首席科学家,2005年获批“国家杰出青年科学基金”,2014年入选海外引才计划特聘教授,2017年入选广东省“珠江人才计划”引进创新创业团队(项目带头人),2022年当选俄罗斯工程院外籍院士。已发表研究论文200余篇、国际会议邀请报告100余次,已申请国内外发明专利300多件,获发明专利授权60多件。在高性能聚酰亚胺工业化生产“卡脖子”技术,高性能聚合物材料开发及其在电子信息显示、半导体电子封装、新能源等领域取得突出成绩。
刘全兵,博士,教授,博士生导师,广东省“珠江学者”,广州市“珠江科技新星”。具有较丰富的锂离子电池工程开发经验,近年来围绕新能源化工研究方向,重点开展电化学能源存储和转换方面的研究,主要涉及锂/锂离子电池、电催化/燃料电池等。主持开发了多种型号锂离子电池产品,并得到实际应用,获得广东省科学进步二等奖(排名第一)。迄今为止,在Nat. Commun., Angew. Chem., Adv. Mater., AIChE J., Adv. Energy Mater., Adv. Funct. Mater., Chem. Eng. Sci., Appl. Cata. B, Renewables, Chem. Eng. J., Small等国际知名发表SCI学术论文110多篇,授权发明专利14项,承担了包括国防预研重点项目在内的多项国家级项目。详细见个人主页:https://qghgxy.gdut.edu.cn/info/1066/20176.htm
添加官方微信 进群交流
SCI二氧化碳互助群
SCI催化材料交流群
SCI钠离子电池交流群
SCI离子交换膜经验交流群
SCI燃料电池交流群
SCI超级电容器交流群
SCI水系锌电池交流群
SCI水电解互助群
SCI气体扩散层经验交流群
备注【姓名-机构-研究方向】
投稿请联系contact@scimaterials.cn
点分享
点赞支持
点在看

