文 章 信 息
调节具有氧化还原活性多孔芳香框架电子的离域,实现具有空气自充电能力的低温水系Zn-K混合电池
第一作者:王俊豪
通讯作者:王恒国,朱广山
单位:东北师范大学
研 究 背 景
水系锌离子电池(AZIBs)因其理论容量大、环境友好、成本低等优点而成为一种新型大规模的储能装置。然而在偏远地区或恶劣的环境中,没有电网来实现充电过程,因此它们的应用受到限制。在这种情况下,一种有前景的方法是将AZIBs与环境响应模块(太阳能、风能、地热、空气等)相结合来制造自充电系统。由于空气普遍存在,不受自然条件的限制,使氧气的化学能成为一种无成本且随时可用的资源,利用空气开发自充电系统是一种很有前途的策略。因此,开发具有化学自充电能力的新水系电池充满挑战。除此之外,作为AZIBs最常见的载体,Zn2+具有较大的水合半径,在提取过程中必须克服较高的脱溶壁垒,导致具有较慢的反应动力学。此外,Zn负极不可控的枝晶生长和不可逆的副产物的形成导致其长循环稳定性不理想。相比之下,K+作为电荷载体,由于其电荷/半径比小、水合结构弱,可提高反应动力学和空气充电性。有趣的是,由K+结合形成的键很容易被O2氧化破坏,从而产生自充电性能。这些氧化还原反应发生在宿主材料和O2之间,迫切需要研究用于实现空气自充电电池系统的先进宿主材料。
文 章 简 介
近日,来自东北师范大学的王恒国/朱广山教授,在国际知名期刊Angewandte Chemie International Edition上发表题为“Tuning Electron Delocalization of Redox-Active Porous Aromatic Framework for Low-Temperature Aqueous Zn–K Hybrid Batteries with Air Self-Chargeability”的文章。
该工作合成了基于全共轭六氮杂萘(HATN)的多孔芳香框架(PAF-305),并首次证明了其作为AZKHBs正极材料的应用,甚至在宽温度范围内均具有化学自充电能力。PAF-305具有令人优异的电子导电性、氧化还原活性位点的高利用率以及因电子离域导致的快速氧化还原动力学。理论和实验数据证实AZKHB具有基于C=N和C-N-K之间的可逆转换的独特工作机制,即Zn2+在负极被沉积/剥离,K+在正极被插入/提取。有趣的是,O2的存在可使正极放电产物的N-K键由于氧化还原反应断裂,从而构建化学自充电AZKHBs,显示出优异的电化学性能。此外,还组装了柔性袋状AZKIB,以展示其应用潜力。
图1. 所设计的空气自充电电池可以实现以K+为离子载体、调节Zn2+溶剂化化学、全气候下空气自充电特性。
本 文 要 点
要点一:全共轭PAF-305结构的设计
电子离域结构改变了其电子分布,提高了PAF-305的固有电导率和氧化还原动力学,从而表现出优异的电化学性能。利用DFT计算确定了PAF-305单元活性位点位置。定域化轨道指示函数(LOL-π)证实PAF-305单元中π电子在整个结构内离域。此外,电子的离域影响了最高占据分子轨道(HOMO)和最低未占据分子轨道(LUMO)。与DPP (3.78 eV)和HATN (3.59 eV)相比,PAF-305具有较低的带隙(2.40 eV),具有较高的电子导电性。此外,最低的LUMO值表明PAF-305单元具有更负的电子亲和力和更高的氧化还原电位,意味着电化学性能得到改善。sign(λ2)ρ vs.约化密度梯度函数 (RGD) 的散点图在-0.02到0.00 a.u.处的绿色峰,表明PAF-305单元层间存在弱π-π相互作用。这允许面外相互作用和有效的界面电荷转移,导致PAF-305具有高效的氧化还原动力学。
图2. (a) PAF-305的合成和结构。(b) PAF-305单元静电势(ESP)图。(c) HATN、DPP和PAF-305单元的LOL-π图。(d) PAF-305单元的LOL-π着色图。(e) HATN、DPP和PAF-305单元的HOMO、LUMO和间隙能比较。(f). sign(λ2 )ρ vs. RDG的散点图。
要点二:Zn(OTF)2+KOTF混合电解液的选择
Zn(OTF)2+KOTF(Zn-K)混合离子电解液提供了电解液改性并引入了电荷载体。首先,KOTF的引入改善了电解液性能。分子动力学(MD)模拟揭示KOTF的加入会导致Zn2+的第一溶剂化层中的H2O分子数量减少,而OTF-占主导地位。此外DFT计算证实K更容易吸附在Zn表面,从而导致电场的均匀分布和随后的均匀Zn2+沉积过程。有限元模拟证实添加KOTF会显著降低Zn突起处的电场密度,使电场分布均匀,抑制尖端效应,形成无枝晶形态的均匀沉积过程。除此之外,Zn2+在锌箔沉积的原位光学显微镜也证实了上述结论。
图3. 通过MD模拟得到的 (a) Zn(OTF)2和(b) Zn-K混合离子电解液的三维快照(部分放大的Zn2+溶剂化结构)。不同电解液体系中(c) Zn2+-H2O和(d) Zn2+-OTF-的RDF。(e)Zn和K在Zn(101)晶面上的吸收能比较。(f) Zn(OTF)2和(g)Zn-K电解液在裸锌上的电场分布和相应的Zn2+浓度场分布。通过原位光学显微镜观察(h) Zn-K和 (i) Zn(OTF)2 电解液中Zn箔上的Zn沉积形态。
要点三 空气自充电电池机理的探究
图 4. (a) AZKHB的工作机理图。(b) 通过DFT计算得出的PAF-305单元与不同金属的结合能。(c) PAF-305与KOTF和Zn-K电解液的倍率对比。(d) PAF-305在GCD过程中N 1s的XPS能谱。(e) PAF-305单元和PAF-305-6K的静电电势(ESP)等值面图。(f) 计算的K+储存路线。
除了抑制尖端效应的形成外,KOTF的引入还能增加电荷载流子的数量。与K/K+相比,Zn/Zn2+表现出更高的热力学氧化还原电势,使Zn2+优先沉积/溶解在负极,而正极则由于Zn2+的价态更高且扩散倍率明显较慢而与K+结合。因此,AZKHB展示了一种独特的工作机制:K+在电池正极插入/提取,Zn2+在负极沉积/剥离。此外,DFT计算证实了K+载流子与正极材料的优先相互作用反应。与KOTF电解液相比,使用Zn-K电解液的电池表现出优异的倍率性能和更高的循环稳定性。同时通过非原位XPS能谱和傅立叶变换红外光谱确定PAF-305的存储机制。
要点四:宽温度范围下电池的电化学性能
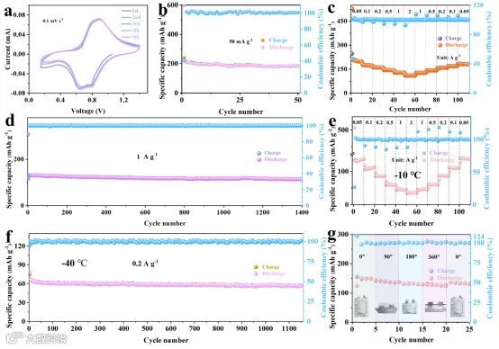
图 5. (a) PAF-305在0.1 mV s-1时的CV曲线。(b) PAF-305在0.05 A g-1时的循环性能。(d) PAF-305在1 A g-1时的循环性能。(e) PAF-305在-10 °C下的倍率性能。(f) PAF-305在-40 °C、0.2 A g-1下的循环性能。(g) 软包装AZKHB在不同弯曲状态下、0.05 A g-1下的循环性能。
PAF-305作为AZKHBs正极具有优异的电化学性能和循环稳定性。此外PAF-305在低温(-10 和-40 °C)和高温(40 °C)的苛刻条件也呈现不错的电池性能。随后,对柔性包装电池进行了研究,以证明为柔性电子设备供电的可行性。测试软包装电池的弯曲角度为 0°、90°、180° 和 360°,比容量分别为 150.9、139.2、132.4 和 128.4 mA h g-1,表明柔性器件的应用前景广阔。此外,该柔性器件还呈现不错的倍率性能。
要点五:宽温度范围下电池的空气自充电性能
图6.(a)(-)PAF-305-6K|PAF-305||H2O|O2|Pt(+)原电池。(b)不同空气自充电时间下的充电电压和相对应的放电容量。(c)空气自充电过程后不同倍率的放电容量。(d)AZKHBs的重复空气自充电/放电循环图。(e)由五个空气自充电电池供电下的三种不同状态的LED灯泡。
设计(-)PAF-305-6K|PAF-305||H2O|O2|Pt(+)的原电池来探究开放电池系统中AZKHB的空气自充电行为。在组装好的原电池上测得的电压为0.83 V,证实PAF-305-6K和O2之间自发地发生了氧化还原反应。此外,与目前报道的空气自充电水系电池相比,组装后的电池能产生更高的电压(0.83 V)。同时,DFT被用来确定K+电荷载体更容易实现空气自充电特性。PAF-305的空气自充电电压达到最大值1.15 V。AZKHBs在低温(-10 °C)和超低温(-40 °C)的苛刻条件下均能实现空气自充电特性。此外,整个电池装置的输出电压可以通过电池的串联和并联进行调节,以实现实际应用场景。将五块电池串联起来,为一个大型LED设备供电。电池耗尽后,将设备暴露在空气中可以再次点亮,这证明了空气自充电AZKHB的可行性。
文 章 链 接
Tuning Electron Delocalization of Redox-Active Porous Aromatic Framework for Low-Temperature Aqueous Zn–K Hybrid Batteries with Air Self-Chargeability
https://doi.org/10.1002/anie.202401559
添加官方微信 进群交流
SCI二氧化碳互助群
SCI催化材料交流群
SCI钠离子电池交流群
SCI离子交换膜经验交流群
SCI燃料电池交流群
SCI超级电容器交流群
SCI水系锌电池交流群
SCI水电解互助群
SCI气体扩散层经验交流群
备注【姓名-机构-研究方向】
投稿请联系contact@scimaterials.cn
点分享
点赞支持
点在看

